Номер 4.151, страница 233 - гдз по алгебре 9 класс учебник Арефьева, Пирютко

Алгебра, 9 класс Учебник, авторы: Арефьева Ирина Глебовна, Пирютко Ольга Николаевна, издательство Народная асвета, Минск, 2019, голубого цвета

Авторы: Арефьева И. Г., Пирютко О. Н.

Тип: Учебник

Издательство: Народная асвета

Год издания: 2019 - 2025

Цвет обложки: голубой, синий с графиком

ISBN: 978-985-03-3077-2

Допущено Министерством образования Республики Беларусь

Популярные ГДЗ в 9 классе

Глава 4. Прогрессии. Параграф 16. Формула суммы n первых членов арифметической прогрессии - номер 4.151, страница 233.

№4.151 (с. 233)
Условие. №4.151 (с. 233)
скриншот условия
Алгебра, 9 класс Учебник, авторы: Арефьева Ирина Глебовна, Пирютко Ольга Николаевна, издательство Народная асвета, Минск, 2019, голубого цвета, страница 233, номер 4.151, Условие

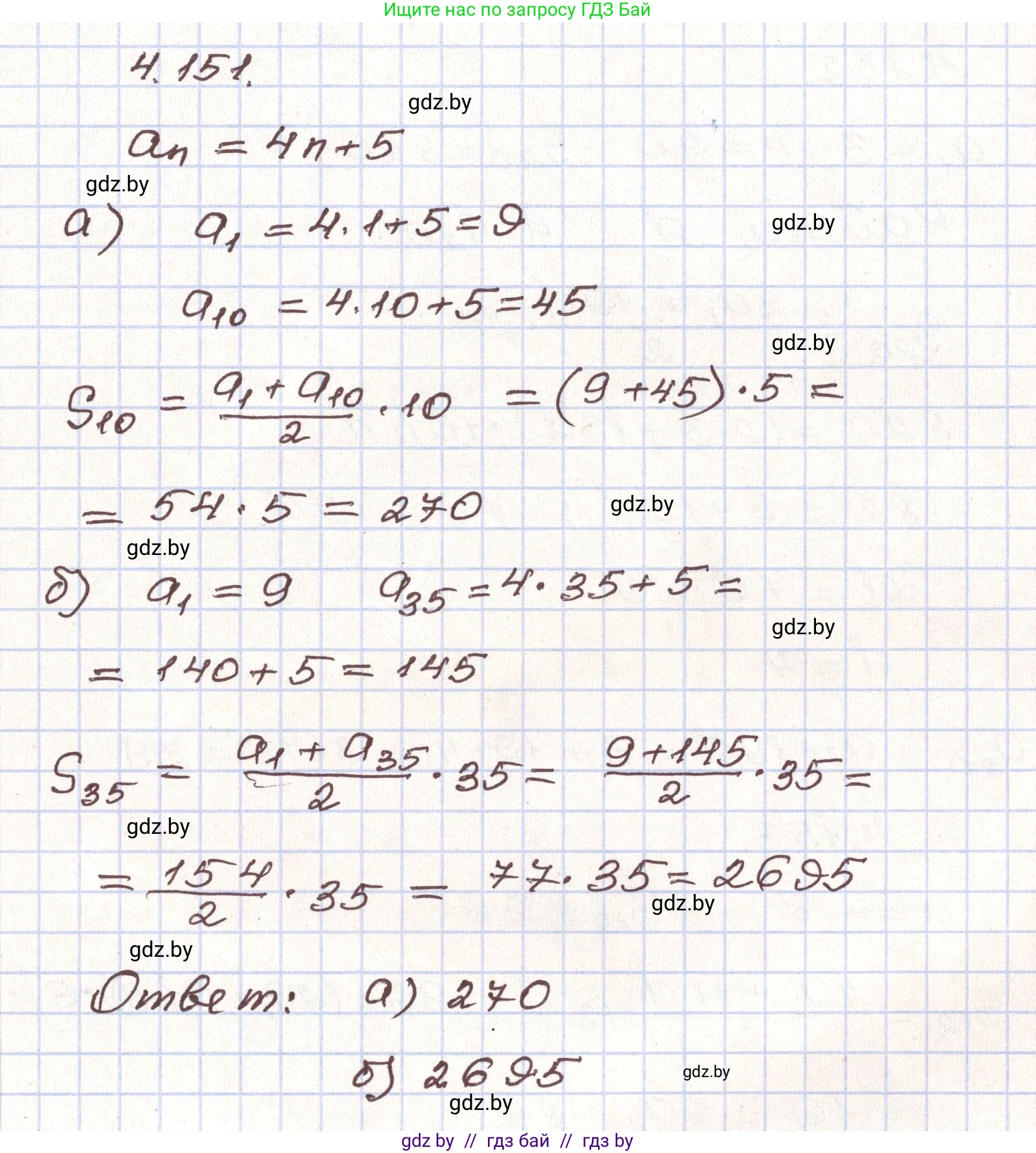
4.151. Арифметическая прогрессия задана формулой $a_n = 4n + 5$. Какие члены этой прогрессии нужно найти, чтобы вычислить:

а) $S_{10}$; б) $S_{35}$?

Вычислите эти суммы.

Решение. №4.151 (с. 233)
Алгебра, 9 класс Учебник, авторы: Арефьева Ирина Глебовна, Пирютко Ольга Николаевна, издательство Народная асвета, Минск, 2019, голубого цвета, страница 233, номер 4.151, Решение
Решение 2. №4.151 (с. 233)

Дана арифметическая прогрессия с формулой n-го члена $a_n = 4n + 5$.

Сумма первых n членов арифметической прогрессии вычисляется по формуле: $S_n = \frac{a_1 + a_n}{2} \cdot n$

Из этой формулы видно, что для вычисления суммы $S_n$ необходимо знать первый член прогрессии ($a_1$) и n-й член прогрессии ($a_n$).

а) S₁₀;
Для вычисления $S_{10}$ нужно найти первый ($a_1$) и десятый ($a_{10}$) члены прогрессии.
Найдем $a_1$, подставив $n=1$ в формулу:
$a_1 = 4(1) + 5 = 9$
Найдем $a_{10}$, подставив $n=10$:
$a_{10} = 4(10) + 5 = 40 + 5 = 45$
Теперь вычислим сумму $S_{10}$:
$S_{10} = \frac{a_1 + a_{10}}{2} \cdot 10 = \frac{9 + 45}{2} \cdot 10 = \frac{54}{2} \cdot 10 = 27 \cdot 10 = 270$
Ответ: 270

б) S₃₅?
Для вычисления $S_{35}$ нужно найти первый ($a_1$) и тридцать пятый ($a_{35}$) члены прогрессии.
Первый член $a_1$ мы уже нашли, он равен 9.
Найдем $a_{35}$, подставив $n=35$:
$a_{35} = 4(35) + 5 = 140 + 5 = 145$
Теперь вычислим сумму $S_{35}$:
$S_{35} = \frac{a_1 + a_{35}}{2} \cdot 35 = \frac{9 + 145}{2} \cdot 35 = \frac{154}{2} \cdot 35 = 77 \cdot 35 = 2695$
Ответ: 2695

Помогло решение? Оставьте отзыв в комментариях ниже.

Присоединяйтесь к Телеграм-группе @gdz_by_belarus

Присоединиться

Мы подготовили для вас ответ c подробным объяснением домашего задания по алгебре за 9 класс, для упражнения номер 4.151 расположенного на странице 233 к учебнику 2019 года издания для учащихся школ и гимназий.

Теперь на нашем сайте ГДЗ.ТОП вы всегда легко и бесплатно найдёте условие с правильным ответом на вопрос «Как решить ДЗ» и «Как сделать» задание по алгебре к упражнению №4.151 (с. 233), авторов: Арефьева (Ирина Глебовна), Пирютко (Ольга Николаевна), учебного пособия издательства Народная асвета.