Номер 4.148, страница 232 - гдз по алгебре 9 класс учебник Арефьева, Пирютко

Алгебра, 9 класс Учебник, авторы: Арефьева Ирина Глебовна, Пирютко Ольга Николаевна, издательство Народная асвета, Минск, 2019, голубого цвета

Авторы: Арефьева И. Г., Пирютко О. Н.

Тип: Учебник

Издательство: Народная асвета

Год издания: 2019 - 2025

Цвет обложки: голубой, синий с графиком

ISBN: 978-985-03-3077-2

Допущено Министерством образования Республики Беларусь

Популярные ГДЗ в 9 классе

Глава 4. Прогрессии. Параграф 16. Формула суммы n первых членов арифметической прогрессии - номер 4.148, страница 232.

№4.148 (с. 232)
Условие. №4.148 (с. 232)
скриншот условия
Алгебра, 9 класс Учебник, авторы: Арефьева Ирина Глебовна, Пирютко Ольга Николаевна, издательство Народная асвета, Минск, 2019, голубого цвета, страница 232, номер 4.148, Условие

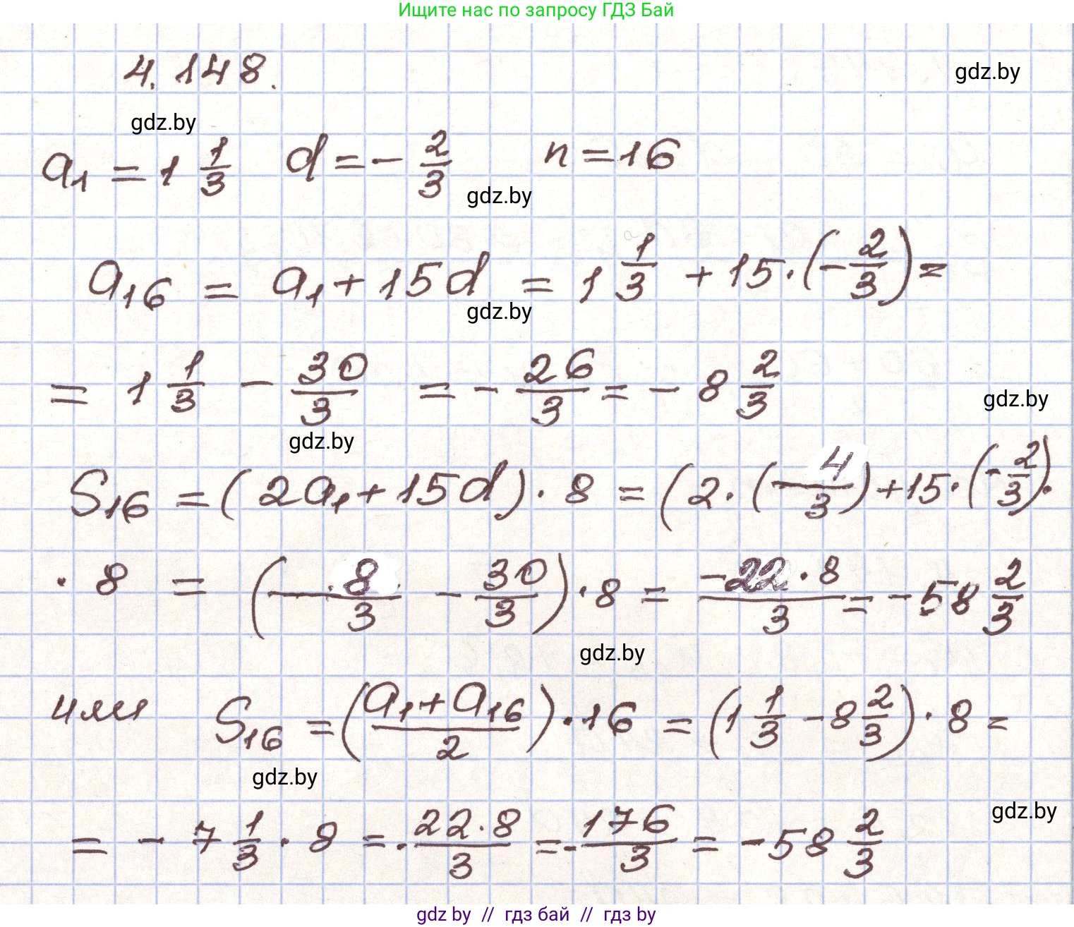
4.148. Найдите $a_n$ и воспользуйтесь полученным результатом, чтобы найти $S_n$ арифметической прогрессии, у которой $a_1 = 1\frac{1}{3}$; $d = -\frac{2}{3}$; $n = 16$.

Решение. №4.148 (с. 232)
Алгебра, 9 класс Учебник, авторы: Арефьева Ирина Глебовна, Пирютко Ольга Николаевна, издательство Народная асвета, Минск, 2019, голубого цвета, страница 232, номер 4.148, Решение
Решение 2. №4.148 (с. 232)

Данная задача состоит из двух частей: найти n-й член арифметической прогрессии ($a_n$) и затем, используя этот результат, найти сумму первых n членов ($S_n$).

Исходные данные:

  • Первый член прогрессии: $a_1 = 1\frac{1}{3}$
  • Разность прогрессии: $d = -\frac{2}{3}$
  • Количество членов: $n = 16$

Нахождение an

Для нахождения n-го члена арифметической прогрессии используется формула:

$a_n = a_1 + (n - 1)d$

Сначала представим первый член $a_1$ в виде неправильной дроби:

$a_1 = 1\frac{1}{3} = \frac{1 \cdot 3 + 1}{3} = \frac{4}{3}$

Теперь подставим известные значения в формулу для нахождения $a_{16}$:

$a_{16} = \frac{4}{3} + (16 - 1) \cdot \left(-\frac{2}{3}\right)$

$a_{16} = \frac{4}{3} + 15 \cdot \left(-\frac{2}{3}\right)$

$a_{16} = \frac{4}{3} - \frac{15 \cdot 2}{3}$

$a_{16} = \frac{4}{3} - \frac{30}{3}$

$a_{16} = \frac{4 - 30}{3} = -\frac{26}{3}$

Чтобы выделить целую часть, преобразуем неправильную дробь в смешанное число:

$-\frac{26}{3} = -8\frac{2}{3}$

Ответ: -8$\frac{2}{3}$

Нахождение Sn

Для нахождения суммы первых n членов арифметической прогрессии воспользуемся формулой, которая использует первый и n-й члены:

$S_n = \frac{a_1 + a_n}{2} \cdot n$

Подставим в эту формулу найденное значение $a_{16} = -\frac{26}{3}$, а также $a_1 = \frac{4}{3}$ и $n = 16$:

$S_{16} = \frac{\frac{4}{3} + \left(-\frac{26}{3}\right)}{2} \cdot 16$

$S_{16} = \frac{\frac{4 - 26}{3}}{2} \cdot 16$

$S_{16} = \frac{-\frac{22}{3}}{2} \cdot 16$

$S_{16} = -\frac{22}{3 \cdot 2} \cdot 16$

$S_{16} = -\frac{11}{3} \cdot 16 = -\frac{176}{3}$

Преобразуем результат в смешанное число для выделения целой части:

$-\frac{176}{3} = -58\frac{2}{3}$

Ответ: -58$\frac{2}{3}$

Помогло решение? Оставьте отзыв в комментариях ниже.

Присоединяйтесь к Телеграм-группе @gdz_by_belarus

Присоединиться

Мы подготовили для вас ответ c подробным объяснением домашего задания по алгебре за 9 класс, для упражнения номер 4.148 расположенного на странице 232 к учебнику 2019 года издания для учащихся школ и гимназий.

Теперь на нашем сайте ГДЗ.ТОП вы всегда легко и бесплатно найдёте условие с правильным ответом на вопрос «Как решить ДЗ» и «Как сделать» задание по алгебре к упражнению №4.148 (с. 232), авторов: Арефьева (Ирина Глебовна), Пирютко (Ольга Николаевна), учебного пособия издательства Народная асвета.