Номер 4.161, страница 233 - гдз по алгебре 9 класс учебник Арефьева, Пирютко

Алгебра, 9 класс Учебник, авторы: Арефьева Ирина Глебовна, Пирютко Ольга Николаевна, издательство Народная асвета, Минск, 2019, голубого цвета

Авторы: Арефьева И. Г., Пирютко О. Н.

Тип: Учебник

Издательство: Народная асвета

Год издания: 2019 - 2025

Цвет обложки: голубой, синий с графиком

ISBN: 978-985-03-3077-2

Допущено Министерством образования Республики Беларусь

Популярные ГДЗ в 9 классе

Глава 4. Прогрессии. Параграф 16. Формула суммы n первых членов арифметической прогрессии - номер 4.161, страница 233.

№4.161 (с. 233)
Условие. №4.161 (с. 233)
скриншот условия
Алгебра, 9 класс Учебник, авторы: Арефьева Ирина Глебовна, Пирютко Ольга Николаевна, издательство Народная асвета, Минск, 2019, голубого цвета, страница 233, номер 4.161, Условие

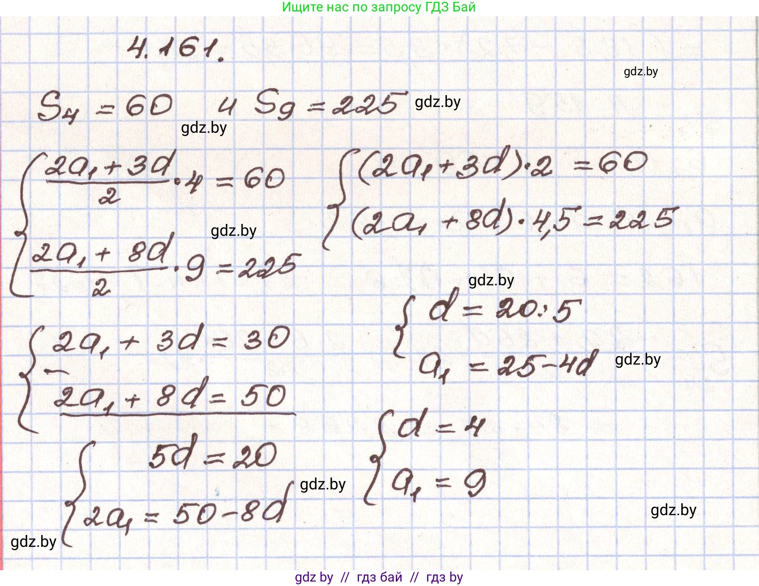
4.161*. Найдите первый член и разность арифметической прогрессии, если $S_4 = 60$ и $S_9 = 225$.

Решение. №4.161 (с. 233)
Алгебра, 9 класс Учебник, авторы: Арефьева Ирина Глебовна, Пирютко Ольга Николаевна, издательство Народная асвета, Минск, 2019, голубого цвета, страница 233, номер 4.161, Решение
Решение 2. №4.161 (с. 233)

Для нахождения первого члена $a_1$ и разности $d$ арифметической прогрессии воспользуемся формулой суммы ее первых $n$ членов:

$$ S_n = \frac{2a_1 + d(n-1)}{2} \cdot n $$

По условию задачи даны суммы для $n=4$ и $n=9$:

  • $S_4 = 60$
  • $S_9 = 225$

Подставим эти значения в формулу, чтобы составить систему из двух линейных уравнений с двумя неизвестными $a_1$ и $d$.

1. Для $S_4 = 60$:

$$ S_4 = \frac{2a_1 + d(4-1)}{2} \cdot 4 = 60 $$

Упростим выражение:

$$ (2a_1 + 3d) \cdot 2 = 60 $$

$$ 2a_1 + 3d = 30 $$

2. Для $S_9 = 225$:

$$ S_9 = \frac{2a_1 + d(9-1)}{2} \cdot 9 = 225 $$

Упростим выражение:

$$ \frac{2(a_1 + 4d)}{2} \cdot 9 = 225 $$

$$ (a_1 + 4d) \cdot 9 = 225 $$

$$ a_1 + 4d = 25 $$

Теперь у нас есть система уравнений:

$$ \begin{cases} 2a_1 + 3d = 30 \\ a_1 + 4d = 25 \end{cases} $$

Решим эту систему методом подстановки. Выразим $a_1$ из второго уравнения:

$$ a_1 = 25 - 4d $$

Подставим полученное выражение для $a_1$ в первое уравнение:

$$ 2(25 - 4d) + 3d = 30 $$

$$ 50 - 8d + 3d = 30 $$

$$ 50 - 5d = 30 $$

$$ -5d = 30 - 50 $$

$$ -5d = -20 $$

$$ d = \frac{-20}{-5} = 4 $$

Теперь, зная разность прогрессии $d=4$, найдем первый член $a_1$, подставив это значение в выражение $a_1 = 25 - 4d$:

$$ a_1 = 25 - 4 \cdot 4 = 25 - 16 = 9 $$

Таким образом, мы нашли искомые значения.

Первый член: Ответ: 9

Разность арифметической прогрессии: Ответ: 4

Помогло решение? Оставьте отзыв в комментариях ниже.

Присоединяйтесь к Телеграм-группе @gdz_by_belarus

Присоединиться

Мы подготовили для вас ответ c подробным объяснением домашего задания по алгебре за 9 класс, для упражнения номер 4.161 расположенного на странице 233 к учебнику 2019 года издания для учащихся школ и гимназий.

Теперь на нашем сайте ГДЗ.ТОП вы всегда легко и бесплатно найдёте условие с правильным ответом на вопрос «Как решить ДЗ» и «Как сделать» задание по алгебре к упражнению №4.161 (с. 233), авторов: Арефьева (Ирина Глебовна), Пирютко (Ольга Николаевна), учебного пособия издательства Народная асвета.