Номер 4.165, страница 234 - гдз по алгебре 9 класс учебник Арефьева, Пирютко

Алгебра, 9 класс Учебник, авторы: Арефьева Ирина Глебовна, Пирютко Ольга Николаевна, издательство Народная асвета, Минск, 2019, голубого цвета

Авторы: Арефьева И. Г., Пирютко О. Н.

Тип: Учебник

Издательство: Народная асвета

Год издания: 2019 - 2025

Цвет обложки: голубой, синий с графиком

ISBN: 978-985-03-3077-2

Допущено Министерством образования Республики Беларусь

Популярные ГДЗ в 9 классе

Глава 4. Прогрессии. Параграф 16. Формула суммы n первых членов арифметической прогрессии - номер 4.165, страница 234.

№4.165 (с. 234)
Условие. №4.165 (с. 234)
скриншот условия
Алгебра, 9 класс Учебник, авторы: Арефьева Ирина Глебовна, Пирютко Ольга Николаевна, издательство Народная асвета, Минск, 2019, голубого цвета, страница 234, номер 4.165, Условие

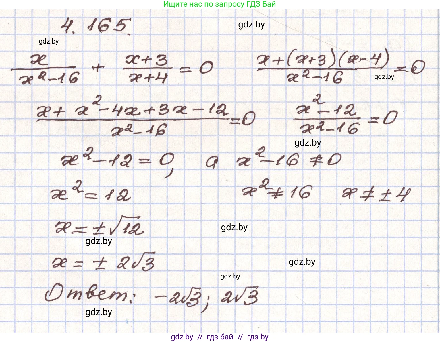
4.165. Решите уравнение $\frac{x}{x^2 - 16} + \frac{x+3}{x+4} = 0$.

Решение. №4.165 (с. 234)
Алгебра, 9 класс Учебник, авторы: Арефьева Ирина Глебовна, Пирютко Ольга Николаевна, издательство Народная асвета, Минск, 2019, голубого цвета, страница 234, номер 4.165, Решение
Решение 2. №4.165 (с. 234)

Для решения данного дробно-рационального уравнения необходимо сначала найти область допустимых значений (ОДЗ), затем привести дроби к общему знаменателю, решить полученное уравнение для числителя и проверить найденные корни на соответствие ОДЗ.

1. Нахождение области допустимых значений (ОДЗ)

Знаменатели дробей в уравнении не могут быть равны нулю. Поэтому установим ограничения для переменной $x$:

$x^2 - 16 \neq 0 \Rightarrow (x-4)(x+4) \neq 0 \Rightarrow x \neq 4$ и $x \neq -4$.

$x + 4 \neq 0 \Rightarrow x \neq -4$.

Таким образом, ОДЗ уравнения: $x$ может быть любым числом, кроме $4$ и $-4$.

2. Преобразование уравнения

Приведём дроби к общему знаменателю. Для этого разложим знаменатель первой дроби на множители по формуле разности квадратов: $x^2 - 16 = (x-4)(x+4)$.

Исходное уравнение: $\frac{x}{(x-4)(x+4)} + \frac{x+3}{x+4} = 0$.

Общий знаменатель — $(x-4)(x+4)$. Домножим числитель и знаменатель второй дроби на множитель $(x-4)$:

$\frac{x}{(x-4)(x+4)} + \frac{(x+3)(x-4)}{(x+4)(x-4)} = 0$

Теперь можно сложить дроби:

$\frac{x + (x+3)(x-4)}{(x-4)(x+4)} = 0$

3. Решение уравнения для числителя

Дробь равна нулю тогда и только тогда, когда её числитель равен нулю, а знаменатель не равен нулю. Условие на знаменатель мы уже учли в ОДЗ. Приравняем числитель к нулю:

$x + (x+3)(x-4) = 0$

Раскроем скобки, перемножив двучлены:

$x + (x^2 - 4x + 3x - 12) = 0$

Приведём подобные слагаемые в скобках:

$x + (x^2 - x - 12) = 0$

Раскроем скобки и снова приведём подобные слагаемые:

$x^2 + x - x - 12 = 0$

$x^2 - 12 = 0$

Это неполное квадратное уравнение. Перенесём 12 в правую часть:

$x^2 = 12$

Извлечём квадратный корень из обеих частей:

$x = \pm\sqrt{12}$

Упростим корень, вынеся множитель:

$x = \pm\sqrt{4 \cdot 3} = \pm 2\sqrt{3}$

4. Проверка корней

Получили два корня: $x_1 = 2\sqrt{3}$ и $x_2 = -2\sqrt{3}$.

Проверим, удовлетворяют ли они ОДЗ ($x \neq 4, x \neq -4$).

Поскольку $(2\sqrt{3})^2 = 12$, а $4^2=16$, то $2\sqrt{3} \neq 4$. Аналогично, $-2\sqrt{3} \neq -4$.

Оба корня входят в область допустимых значений, следовательно, являются решениями уравнения.

Ответ: $x = \pm 2\sqrt{3}$.

Помогло решение? Оставьте отзыв в комментариях ниже.

Присоединяйтесь к Телеграм-группе @gdz_by_belarus

Присоединиться

Мы подготовили для вас ответ c подробным объяснением домашего задания по алгебре за 9 класс, для упражнения номер 4.165 расположенного на странице 234 к учебнику 2019 года издания для учащихся школ и гимназий.

Теперь на нашем сайте ГДЗ.ТОП вы всегда легко и бесплатно найдёте условие с правильным ответом на вопрос «Как решить ДЗ» и «Как сделать» задание по алгебре к упражнению №4.165 (с. 234), авторов: Арефьева (Ирина Глебовна), Пирютко (Ольга Николаевна), учебного пособия издательства Народная асвета.