Номер 4.24, страница 210 - гдз по алгебре 9 класс учебник Арефьева, Пирютко

Алгебра, 9 класс Учебник, авторы: Арефьева Ирина Глебовна, Пирютко Ольга Николаевна, издательство Народная асвета, Минск, 2019, голубого цвета

Авторы: Арефьева И. Г., Пирютко О. Н.

Тип: Учебник

Издательство: Народная асвета

Год издания: 2019 - 2025

Цвет обложки: голубой, синий с графиком

ISBN: 978-985-03-3077-2

Допущено Министерством образования Республики Беларусь

Популярные ГДЗ в 9 классе

Глава 4. Прогрессии. Параграф 14. Числовая последовательность - номер 4.24, страница 210.

№4.24 (с. 210)
Условие. №4.24 (с. 210)
скриншот условия
Алгебра, 9 класс Учебник, авторы: Арефьева Ирина Глебовна, Пирютко Ольга Николаевна, издательство Народная асвета, Минск, 2019, голубого цвета, страница 210, номер 4.24, Условие

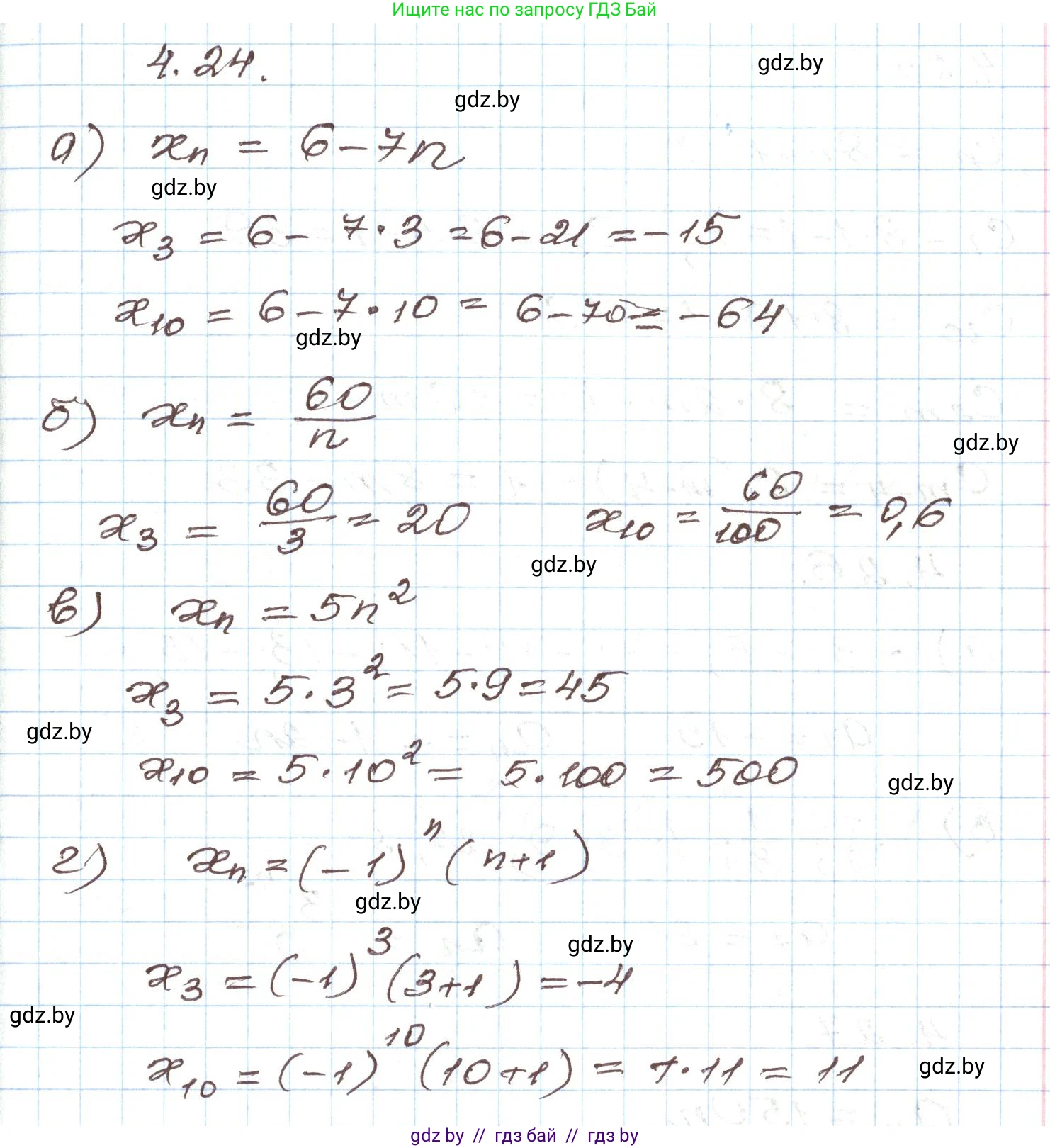
4.24. Найдите третий и десятый члены последовательности $(x_n)$, заданной формулой $n$-го члена:

a) $x_n = 6 - 7n;$

б) $x_n = \frac{60}{n};$

в) $x_n = 5n^2;$

г) $x_n = (-1)^n \cdot (n+1).$

Решение. №4.24 (с. 210)
Алгебра, 9 класс Учебник, авторы: Арефьева Ирина Глебовна, Пирютко Ольга Николаевна, издательство Народная асвета, Минск, 2019, голубого цвета, страница 210, номер 4.24, Решение
Решение 2. №4.24 (с. 210)

а) Последовательность задана формулой $x_n = 6 - 7n$.
Чтобы найти третий член последовательности ($x_3$), подставим в формулу $n = 3$:
$x_3 = 6 - 7 \cdot 3 = 6 - 21 = -15$.
Чтобы найти десятый член последовательности ($x_{10}$), подставим в формулу $n = 10$:
$x_{10} = 6 - 7 \cdot 10 = 6 - 70 = -64$.
Ответ: $x_3 = -15$; $x_{10} = -64$.

б) Последовательность задана формулой $x_n = \frac{60}{n}$.
Чтобы найти третий член последовательности ($x_3$), подставим в формулу $n = 3$:
$x_3 = \frac{60}{3} = 20$.
Чтобы найти десятый член последовательности ($x_{10}$), подставим в формулу $n = 10$:
$x_{10} = \frac{60}{10} = 6$.
Ответ: $x_3 = 20$; $x_{10} = 6$.

в) Последовательность задана формулой $x_n = 5n^2$.
Чтобы найти третий член последовательности ($x_3$), подставим в формулу $n = 3$:
$x_3 = 5 \cdot 3^2 = 5 \cdot 9 = 45$.
Чтобы найти десятый член последовательности ($x_{10}$), подставим в формулу $n = 10$:
$x_{10} = 5 \cdot 10^2 = 5 \cdot 100 = 500$.
Ответ: $x_3 = 45$; $x_{10} = 500$.

г) Последовательность задана формулой $x_n = (-1)^n \cdot (n+1)$.
Чтобы найти третий член последовательности ($x_3$), подставим в формулу $n = 3$:
$x_3 = (-1)^3 \cdot (3+1) = -1 \cdot 4 = -4$.
Чтобы найти десятый член последовательности ($x_{10}$), подставим в формулу $n = 10$:
$x_{10} = (-1)^{10} \cdot (10+1) = 1 \cdot 11 = 11$.
Ответ: $x_3 = -4$; $x_{10} = 11$.

Помогло решение? Оставьте отзыв в комментариях ниже.

Присоединяйтесь к Телеграм-группе @gdz_by_belarus

Присоединиться

Мы подготовили для вас ответ c подробным объяснением домашего задания по алгебре за 9 класс, для упражнения номер 4.24 расположенного на странице 210 к учебнику 2019 года издания для учащихся школ и гимназий.

Теперь на нашем сайте ГДЗ.ТОП вы всегда легко и бесплатно найдёте условие с правильным ответом на вопрос «Как решить ДЗ» и «Как сделать» задание по алгебре к упражнению №4.24 (с. 210), авторов: Арефьева (Ирина Глебовна), Пирютко (Ольга Николаевна), учебного пособия издательства Народная асвета.