Номер 4.21, страница 209 - гдз по алгебре 9 класс учебник Арефьева, Пирютко

Алгебра, 9 класс Учебник, авторы: Арефьева Ирина Глебовна, Пирютко Ольга Николаевна, издательство Народная асвета, Минск, 2019, голубого цвета

Авторы: Арефьева И. Г., Пирютко О. Н.

Тип: Учебник

Издательство: Народная асвета

Год издания: 2019 - 2025

Цвет обложки: голубой, синий с графиком

ISBN: 978-985-03-3077-2

Допущено Министерством образования Республики Беларусь

Популярные ГДЗ в 9 классе

Глава 4. Прогрессии. Параграф 14. Числовая последовательность - номер 4.21, страница 209.

№4.21 (с. 209)
Условие. №4.21 (с. 209)
скриншот условия
Алгебра, 9 класс Учебник, авторы: Арефьева Ирина Глебовна, Пирютко Ольга Николаевна, издательство Народная асвета, Минск, 2019, голубого цвета, страница 209, номер 4.21, Условие

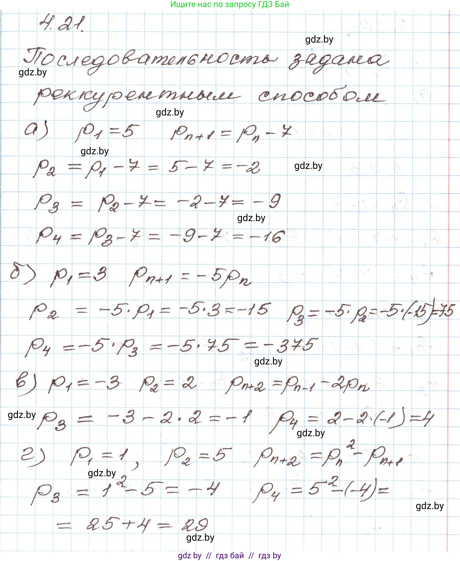
4.21*. Каким способом задана последовательность $(p_n)$? Запишите 4 первых члена последовательности $(p_n)$:

а) $p_1 = 5$; $p_{n+1} = p_n - 7$;

б) $p_1 = 3$; $p_{n+1} = -5p_n$;

в) $p_1 = -3$; $p_2 = 2$; $p_{n+2} = p_{n+1} - 2p_n$;

г) $p_1 = 1$; $p_2 = 5$; $p_{n+2} = p_n^2 - p_{n+1}$.

Решение. №4.21 (с. 209)
Алгебра, 9 класс Учебник, авторы: Арефьева Ирина Глебовна, Пирютко Ольга Николаевна, издательство Народная асвета, Минск, 2019, голубого цвета, страница 209, номер 4.21, Решение
Решение 2. №4.21 (с. 209)

Все представленные последовательности ($p_n$) заданы рекуррентным способом. Это способ задания последовательности, при котором указывается правило (рекуррентная формула), позволяющее вычислить n-й член последовательности, если известны её предыдущие члены.

а) Дана последовательность, где $p_1 = 5$ и рекуррентная формула $p_{n+1} = p_n - 7$.
Эта последовательность является арифметической прогрессией с первым членом $p_1=5$ и разностью $d=-7$.
Найдем первые 4 члена последовательности:
$p_1 = 5$
$p_2 = p_1 - 7 = 5 - 7 = -2$
$p_3 = p_2 - 7 = -2 - 7 = -9$
$p_4 = p_3 - 7 = -9 - 7 = -16$
Ответ: 5, -2, -9, -16.

б) Дана последовательность, где $p_1 = 3$ и рекуррентная формула $p_{n+1} = -5p_n$.
Эта последовательность является геометрической прогрессией с первым членом $p_1=3$ и знаменателем $q=-5$.
Найдем первые 4 члена последовательности:
$p_1 = 3$
$p_2 = -5 \cdot p_1 = -5 \cdot 3 = -15$
$p_3 = -5 \cdot p_2 = -5 \cdot (-15) = 75$
$p_4 = -5 \cdot p_3 = -5 \cdot 75 = -375$
Ответ: 3, -15, 75, -375.

в) Дана последовательность, где $p_1 = -3$, $p_2 = 2$ и рекуррентная формула $p_{n+2} = p_{n+1} - 2p_n$.
Здесь каждый член, начиная с третьего, вычисляется через два предыдущих.
Найдем первые 4 члена последовательности:
$p_1 = -3$ (задан)
$p_2 = 2$ (задан)
$p_3 = p_2 - 2 \cdot p_1 = 2 - 2 \cdot (-3) = 2 + 6 = 8$
$p_4 = p_3 - 2 \cdot p_2 = 8 - 2 \cdot 2 = 8 - 4 = 4$
Ответ: -3, 2, 8, 4.

г) Дана последовательность, где $p_1 = 1$, $p_2 = 5$ и рекуррентная формула $p_{n+2} = p_n^2 - p_{n+1}$.
Здесь также каждый член, начиная с третьего, вычисляется через два предыдущих.
Найдем первые 4 члена последовательности:
$p_1 = 1$ (задан)
$p_2 = 5$ (задан)
$p_3 = p_1^2 - p_2 = 1^2 - 5 = 1 - 5 = -4$
$p_4 = p_2^2 - p_3 = 5^2 - (-4) = 25 + 4 = 29$
Ответ: 1, 5, -4, 29.

Помогло решение? Оставьте отзыв в комментариях ниже.

Присоединяйтесь к Телеграм-группе @gdz_by_belarus

Присоединиться

Мы подготовили для вас ответ c подробным объяснением домашего задания по алгебре за 9 класс, для упражнения номер 4.21 расположенного на странице 209 к учебнику 2019 года издания для учащихся школ и гимназий.

Теперь на нашем сайте ГДЗ.ТОП вы всегда легко и бесплатно найдёте условие с правильным ответом на вопрос «Как решить ДЗ» и «Как сделать» задание по алгебре к упражнению №4.21 (с. 209), авторов: Арефьева (Ирина Глебовна), Пирютко (Ольга Николаевна), учебного пособия издательства Народная асвета.