Номер 4.16, страница 209 - гдз по алгебре 9 класс учебник Арефьева, Пирютко

Алгебра, 9 класс Учебник, авторы: Арефьева Ирина Глебовна, Пирютко Ольга Николаевна, издательство Народная асвета, Минск, 2019, голубого цвета

Авторы: Арефьева И. Г., Пирютко О. Н.

Тип: Учебник

Издательство: Народная асвета

Год издания: 2019 - 2025

Цвет обложки: голубой, синий с графиком

ISBN: 978-985-03-3077-2

Допущено Министерством образования Республики Беларусь

Популярные ГДЗ в 9 классе

Глава 4. Прогрессии. Параграф 14. Числовая последовательность - номер 4.16, страница 209.

№4.16 (с. 209)
Условие. №4.16 (с. 209)
скриншот условия
Алгебра, 9 класс Учебник, авторы: Арефьева Ирина Глебовна, Пирютко Ольга Николаевна, издательство Народная асвета, Минск, 2019, голубого цвета, страница 209, номер 4.16, Условие

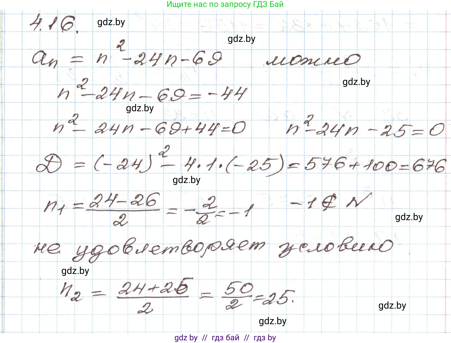
4.16. Можно ли определить, является ли число -44 членом последовательности, заданной формулой $a_n = n^2 - 24n - 69$? Определите, если это возможно.

Решение. №4.16 (с. 209)
Алгебра, 9 класс Учебник, авторы: Арефьева Ирина Глебовна, Пирютко Ольга Николаевна, издательство Народная асвета, Минск, 2019, голубого цвета, страница 209, номер 4.16, Решение
Решение 2. №4.16 (с. 209)

Для того чтобы определить, является ли число -44 членом последовательности, заданной формулой $a_n = n^2 - 24n - 69$, необходимо проверить, существует ли такое натуральное число $n$ (номер члена последовательности), для которого будет выполняться равенство $a_n = -44$.

Приравняем формулу члена последовательности к заданному числу и решим полученное уравнение относительно $n$:

$n^2 - 24n - 69 = -44$

Перенесем все слагаемые в левую часть, чтобы получить стандартное квадратное уравнение вида $an^2 + bn + c = 0$:

$n^2 - 24n - 69 + 44 = 0$

$n^2 - 24n - 25 = 0$

Решим это уравнение с помощью дискриминанта. Формула дискриминанта: $D = b^2 - 4ac$.

В нашем случае коэффициенты: $a = 1$, $b = -24$, $c = -25$.

Вычисляем дискриминант:

$D = (-24)^2 - 4 \cdot 1 \cdot (-25) = 576 + 100 = 676$

Так как $D > 0$, уравнение имеет два различных корня. Найдем их по формуле $n_{1,2} = \frac{-b \pm \sqrt{D}}{2a}$.

$\sqrt{D} = \sqrt{676} = 26$

Вычисляем корни:

$n_1 = \frac{-(-24) + 26}{2 \cdot 1} = \frac{24 + 26}{2} = \frac{50}{2} = 25$

$n_2 = \frac{-(-24) - 26}{2 \cdot 1} = \frac{24 - 26}{2} = \frac{-2}{2} = -1$

Номер члена последовательности $n$ по определению должен быть натуральным числом (т.е. $n \in \{1, 2, 3, ...\}$). Из двух найденных корней только $n_1 = 25$ удовлетворяет этому условию. Корень $n_2 = -1$ не является натуральным числом, поэтому он не может быть номером члена последовательности.

Следовательно, существует член последовательности, равный -44, и его номер равен 25.

Определите, если это возможно. Ответ: Да, определить возможно. Число -44 является 25-м членом данной последовательности.

Помогло решение? Оставьте отзыв в комментариях ниже.

Присоединяйтесь к Телеграм-группе @gdz_by_belarus

Присоединиться

Мы подготовили для вас ответ c подробным объяснением домашего задания по алгебре за 9 класс, для упражнения номер 4.16 расположенного на странице 209 к учебнику 2019 года издания для учащихся школ и гимназий.

Теперь на нашем сайте ГДЗ.ТОП вы всегда легко и бесплатно найдёте условие с правильным ответом на вопрос «Как решить ДЗ» и «Как сделать» задание по алгебре к упражнению №4.16 (с. 209), авторов: Арефьева (Ирина Глебовна), Пирютко (Ольга Николаевна), учебного пособия издательства Народная асвета.