Номер 4.13, страница 208 - гдз по алгебре 9 класс учебник Арефьева, Пирютко

Алгебра, 9 класс Учебник, авторы: Арефьева Ирина Глебовна, Пирютко Ольга Николаевна, издательство Народная асвета, Минск, 2019, голубого цвета

Авторы: Арефьева И. Г., Пирютко О. Н.

Тип: Учебник

Издательство: Народная асвета

Год издания: 2019 - 2025

Цвет обложки: голубой, синий с графиком

ISBN: 978-985-03-3077-2

Допущено Министерством образования Республики Беларусь

Популярные ГДЗ в 9 классе

Глава 4. Прогрессии. Параграф 14. Числовая последовательность - номер 4.13, страница 208.

№4.13 (с. 208)
Условие. №4.13 (с. 208)
скриншот условия
Алгебра, 9 класс Учебник, авторы: Арефьева Ирина Глебовна, Пирютко Ольга Николаевна, издательство Народная асвета, Минск, 2019, голубого цвета, страница 208, номер 4.13, Условие

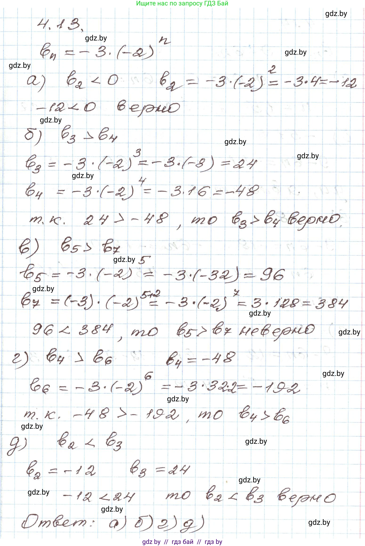
4.13. Для последовательности $(b_n)$, заданной формулой n-го члена $b_n = -3 \cdot (-2)^n$, из следующих неравенств выберите все верные неравенства:

а) $b_2 < 0$;

б) $b_3 > b_4$;

в) $b_5 > b_7$;

г) $b_4 > b_6$;

д) $b_2 < b_3$.

Решение. №4.13 (с. 208)
Алгебра, 9 класс Учебник, авторы: Арефьева Ирина Глебовна, Пирютко Ольга Николаевна, издательство Народная асвета, Минск, 2019, голубого цвета, страница 208, номер 4.13, Решение
Решение 2. №4.13 (с. 208)

Для последовательности $(b_n)$, заданной формулой n-го члена $b_n = -3 \cdot (-2)^n$, проверим каждое из предложенных неравенств, предварительно вычислив необходимые члены последовательности.

а) $b_2 < 0$
Найдем значение $b_2$, подставив $n=2$ в формулу последовательности:
$b_2 = -3 \cdot (-2)^2 = -3 \cdot 4 = -12$.
Проверим неравенство: $-12 < 0$. Неравенство является верным.
Ответ: неравенство верно.

б) $b_3 > b_4$
Найдем значения $b_3$ и $b_4$:
$b_3 = -3 \cdot (-2)^3 = -3 \cdot (-8) = 24$.
$b_4 = -3 \cdot (-2)^4 = -3 \cdot 16 = -48$.
Проверим неравенство: $24 > -48$. Неравенство является верным, так как положительное число всегда больше отрицательного.
Ответ: неравенство верно.

в) $b_5 > b_7$
Найдем значения $b_5$ и $b_7$:
$b_5 = -3 \cdot (-2)^5 = -3 \cdot (-32) = 96$.
$b_7 = -3 \cdot (-2)^7 = -3 \cdot (-128) = 384$.
Проверим неравенство: $96 > 384$. Неравенство является неверным.
Ответ: неравенство неверно.

г) $b_4 > b_6$
Найдем значение $b_6$ (значение $b_4 = -48$ было найдено ранее):
$b_6 = -3 \cdot (-2)^6 = -3 \cdot 64 = -192$.
Проверим неравенство: $-48 > -192$. Неравенство является верным.
Ответ: неравенство верно.

д) $b_2 < b_3$
Значения $b_2 = -12$ и $b_3 = 24$ были найдены ранее.
Проверим неравенство: $-12 < 24$. Неравенство является верным.
Ответ: неравенство верно.

Помогло решение? Оставьте отзыв в комментариях ниже.

Присоединяйтесь к Телеграм-группе @gdz_by_belarus

Присоединиться

Мы подготовили для вас ответ c подробным объяснением домашего задания по алгебре за 9 класс, для упражнения номер 4.13 расположенного на странице 208 к учебнику 2019 года издания для учащихся школ и гимназий.

Теперь на нашем сайте ГДЗ.ТОП вы всегда легко и бесплатно найдёте условие с правильным ответом на вопрос «Как решить ДЗ» и «Как сделать» задание по алгебре к упражнению №4.13 (с. 208), авторов: Арефьева (Ирина Глебовна), Пирютко (Ольга Николаевна), учебного пособия издательства Народная асвета.