Номер 4.10, страница 208 - гдз по алгебре 9 класс учебник Арефьева, Пирютко

Алгебра, 9 класс Учебник, авторы: Арефьева Ирина Глебовна, Пирютко Ольга Николаевна, издательство Народная асвета, Минск, 2019, голубого цвета

Авторы: Арефьева И. Г., Пирютко О. Н.

Тип: Учебник

Издательство: Народная асвета

Год издания: 2019 - 2025

Цвет обложки: голубой, синий с графиком

ISBN: 978-985-03-3077-2

Допущено Министерством образования Республики Беларусь

Популярные ГДЗ в 9 классе

Глава 4. Прогрессии. Параграф 14. Числовая последовательность - номер 4.10, страница 208.

№4.10 (с. 208)
Условие. №4.10 (с. 208)
скриншот условия
Алгебра, 9 класс Учебник, авторы: Арефьева Ирина Глебовна, Пирютко Ольга Николаевна, издательство Народная асвета, Минск, 2019, голубого цвета, страница 208, номер 4.10, Условие

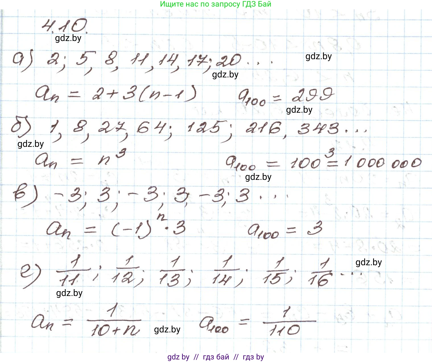
4.10. Найдите закономерность и продолжите последовательность чисел:

а) 2; 5; 8; 11; ...;

б) 1; 8; 27; 64; ...;

в) -3; 3; -3; 3; ...;

г) $\frac{1}{11}; \frac{1}{12}; \frac{1}{13}; \frac{1}{14}; ...$

Запишите формулу n-го члена последовательности, первыми членами которой являются данные числа. Для каждой из последовательностей найдите ее сотый член.

Решение. №4.10 (с. 208)
Алгебра, 9 класс Учебник, авторы: Арефьева Ирина Глебовна, Пирютко Ольга Николаевна, издательство Народная асвета, Минск, 2019, голубого цвета, страница 208, номер 4.10, Решение
Решение 2. №4.10 (с. 208)

а) 2; 5; 8; 11; ...

Закономерность: каждый следующий член последовательности больше предыдущего на 3. Это арифметическая прогрессия с первым членом $a_1 = 2$ и разностью $d = 3$.
Продолжение последовательности: 2; 5; 8; 11; 14; ...

Формула n-го члена выводится из общей формулы для арифметической прогрессии $a_n = a_1 + (n-1)d$:
$a_n = 2 + (n-1) \cdot 3 = 2 + 3n - 3 = 3n - 1$.
Итак, формула: $a_n = 3n - 1$.

Сотый член последовательности (при $n=100$):
$a_{100} = 3 \cdot 100 - 1 = 299$.

Ответ: сотый член последовательности равен 299.

б) 1; 8; 27; 64; ...

Закономерность: каждый член последовательности является кубом его порядкового номера.
$1 = 1^3$, $8 = 2^3$, $27 = 3^3$, $64 = 4^3$.
Продолжение последовательности: 1; 8; 27; 64; 125; ... (так как $5^3=125$).

Формула n-го члена: $a_n = n^3$.

Сотый член последовательности (при $n=100$):
$a_{100} = 100^3 = 1\;000\;000$.

Ответ: сотый член последовательности равен 1 000 000.

в) –3; 3; –3; 3; ...

Закономерность: это знакочередующаяся последовательность, члены которой по модулю равны 3. Члены на нечетных местах равны –3, а на четных местах равны 3.
Продолжение последовательности: –3; 3; –3; 3; –3; ...

Формула n-го члена может быть записана с использованием множителя $(-1)^n$, который обеспечивает чередование знака:
$a_n = 3 \cdot (-1)^n$.

Сотый член последовательности (при $n=100$):
Поскольку 100 — четное число, $(-1)^{100} = 1$.
$a_{100} = 3 \cdot (-1)^{100} = 3 \cdot 1 = 3$.

Ответ: сотый член последовательности равен 3.

г) $\frac{1}{11}; \frac{1}{12}; \frac{1}{13}; \frac{1}{14}; \dots$

Закономерность: это последовательность дробей, числитель которых равен 1, а знаменатели образуют арифметическую прогрессию 11, 12, 13, 14, ...
Продолжение последовательности: $\frac{1}{11}; \frac{1}{12}; \frac{1}{13}; \frac{1}{14}; \frac{1}{15}; \dots$

Формула n-го члена. Сначала найдем формулу для знаменателя $z_n$. Это арифметическая прогрессия с первым членом $z_1 = 11$ и разностью $d = 1$.
$z_n = z_1 + (n-1)d = 11 + (n-1) \cdot 1 = 11 + n - 1 = n + 10$.
Следовательно, формула для n-го члена исходной последовательности: $a_n = \frac{1}{n+10}$.

Сотый член последовательности (при $n=100$):
$a_{100} = \frac{1}{100+10} = \frac{1}{110}$.

Ответ: сотый член последовательности равен $\frac{1}{110}$.

Помогло решение? Оставьте отзыв в комментариях ниже.

Присоединяйтесь к Телеграм-группе @gdz_by_belarus

Присоединиться

Мы подготовили для вас ответ c подробным объяснением домашего задания по алгебре за 9 класс, для упражнения номер 4.10 расположенного на странице 208 к учебнику 2019 года издания для учащихся школ и гимназий.

Теперь на нашем сайте ГДЗ.ТОП вы всегда легко и бесплатно найдёте условие с правильным ответом на вопрос «Как решить ДЗ» и «Как сделать» задание по алгебре к упражнению №4.10 (с. 208), авторов: Арефьева (Ирина Глебовна), Пирютко (Ольга Николаевна), учебного пособия издательства Народная асвета.