Номер 4.60, страница 219 - гдз по алгебре 9 класс учебник Арефьева, Пирютко

Алгебра, 9 класс Учебник, авторы: Арефьева Ирина Глебовна, Пирютко Ольга Николаевна, издательство Народная асвета, Минск, 2019, голубого цвета

Авторы: Арефьева И. Г., Пирютко О. Н.

Тип: Учебник

Издательство: Народная асвета

Год издания: 2019 - 2025

Цвет обложки: голубой, синий с графиком

ISBN: 978-985-03-3077-2

Допущено Министерством образования Республики Беларусь

Популярные ГДЗ в 9 классе

Глава 4. Прогрессии. Параграф 15. Арифметическая прогрессия - номер 4.60, страница 219.

№4.60 (с. 219)
Условие. №4.60 (с. 219)
скриншот условия
Алгебра, 9 класс Учебник, авторы: Арефьева Ирина Глебовна, Пирютко Ольга Николаевна, издательство Народная асвета, Минск, 2019, голубого цвета, страница 219, номер 4.60, Условие

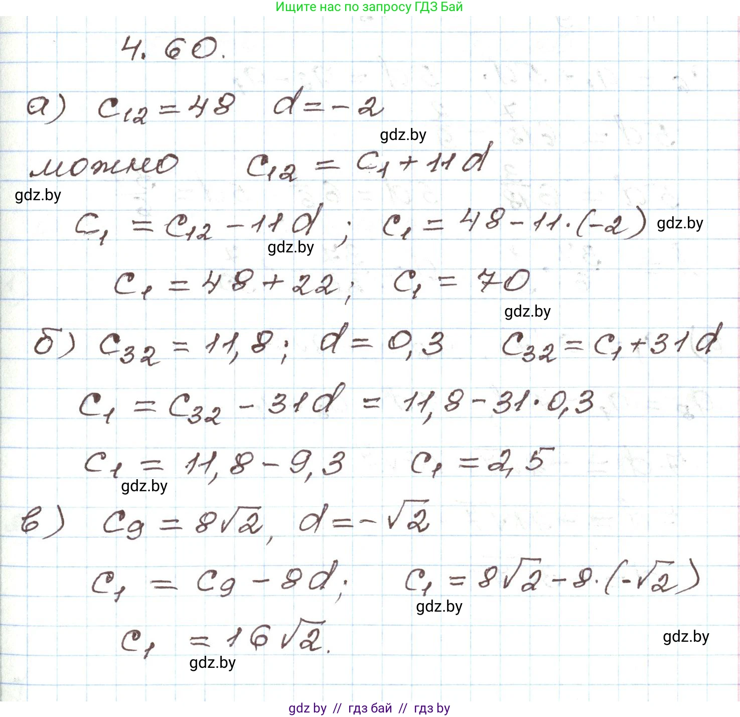
4.60. Можно ли найти первый член арифметической прогрессии ($c_n$), если:

а) $c_{12} = 48, d = -2$;

б) $c_{32} = 11,8, d = 0,3$;

в) $c_9 = 8\sqrt{2}, d = -\sqrt{2}$?

По результатам вычислений сделайте обобщение.

Решение. №4.60 (с. 219)
Алгебра, 9 класс Учебник, авторы: Арефьева Ирина Глебовна, Пирютко Ольга Николаевна, издательство Народная асвета, Минск, 2019, голубого цвета, страница 219, номер 4.60, Решение
Решение 2. №4.60 (с. 219)

а) Да, первый член прогрессии найти можно. Для этого используется формула n-го члена арифметической прогрессии $c_n = c_1 + (n-1)d$. Выразим из нее первый член $c_1$:
$c_1 = c_n - (n-1)d$.
Подставим известные значения из условия: $c_{12} = 48$, $d = -2$ (соответственно, $n = 12$):
$c_1 = 48 - (12 - 1) \cdot (-2) = 48 - 11 \cdot (-2) = 48 - (-22) = 48 + 22 = 70$.
Ответ: 70.

б) Да, найти первый член можно по той же формуле.
Подставим известные значения: $c_{32} = 11,8$, $d = 0,3$ (соответственно, $n = 32$):
$c_1 = 11,8 - (32 - 1) \cdot 0,3 = 11,8 - 31 \cdot 0,3 = 11,8 - 9,3 = 2,5$.
Результат $2,5$ является десятичной дробью. Представим ее в виде неправильной дроби: $2,5 = \frac{25}{10} = \frac{5}{2}$. Выделим из неправильной дроби целую часть: $\frac{5}{2} = 2\frac{1}{2}$.
Ответ: 2$\frac{1}{2}$.

в) Да, найти первый член можно аналогичным образом.
Подставим известные значения: $c_9 = 8\sqrt{2}$, $d = -\sqrt{2}$ (соответственно, $n = 9$):
$c_1 = 8\sqrt{2} - (9 - 1) \cdot (-\sqrt{2}) = 8\sqrt{2} - 8 \cdot (-\sqrt{2}) = 8\sqrt{2} + 8\sqrt{2} = 16\sqrt{2}$.
Ответ: $16\sqrt{2}$.

Обобщение:
На основании проведенных вычислений можно сделать вывод, что первый член арифметической прогрессии ($c_1$) всегда можно найти, если известен любой другой её член ($c_n$ для любого $n>1$) и разность прогрессии ($d$). Это следует из формулы $c_1 = c_n - (n-1)d$, которая позволяет однозначно вычислить $c_1$ при известных $c_n$, $n$ и $d$.

Помогло решение? Оставьте отзыв в комментариях ниже.

Присоединяйтесь к Телеграм-группе @gdz_by_belarus

Присоединиться

Мы подготовили для вас ответ c подробным объяснением домашего задания по алгебре за 9 класс, для упражнения номер 4.60 расположенного на странице 219 к учебнику 2019 года издания для учащихся школ и гимназий.

Теперь на нашем сайте ГДЗ.ТОП вы всегда легко и бесплатно найдёте условие с правильным ответом на вопрос «Как решить ДЗ» и «Как сделать» задание по алгебре к упражнению №4.60 (с. 219), авторов: Арефьева (Ирина Глебовна), Пирютко (Ольга Николаевна), учебного пособия издательства Народная асвета.