Номер 4.61, страница 219 - гдз по алгебре 9 класс учебник Арефьева, Пирютко

Алгебра, 9 класс Учебник, авторы: Арефьева Ирина Глебовна, Пирютко Ольга Николаевна, издательство Народная асвета, Минск, 2019, голубого цвета

Авторы: Арефьева И. Г., Пирютко О. Н.

Тип: Учебник

Издательство: Народная асвета

Год издания: 2019 - 2025

Цвет обложки: голубой, синий с графиком

ISBN: 978-985-03-3077-2

Допущено Министерством образования Республики Беларусь

Популярные ГДЗ в 9 классе

Глава 4. Прогрессии. Параграф 15. Арифметическая прогрессия - номер 4.61, страница 219.

№4.61 (с. 219)
Условие. №4.61 (с. 219)
скриншот условия
Алгебра, 9 класс Учебник, авторы: Арефьева Ирина Глебовна, Пирютко Ольга Николаевна, издательство Народная асвета, Минск, 2019, голубого цвета, страница 219, номер 4.61, Условие

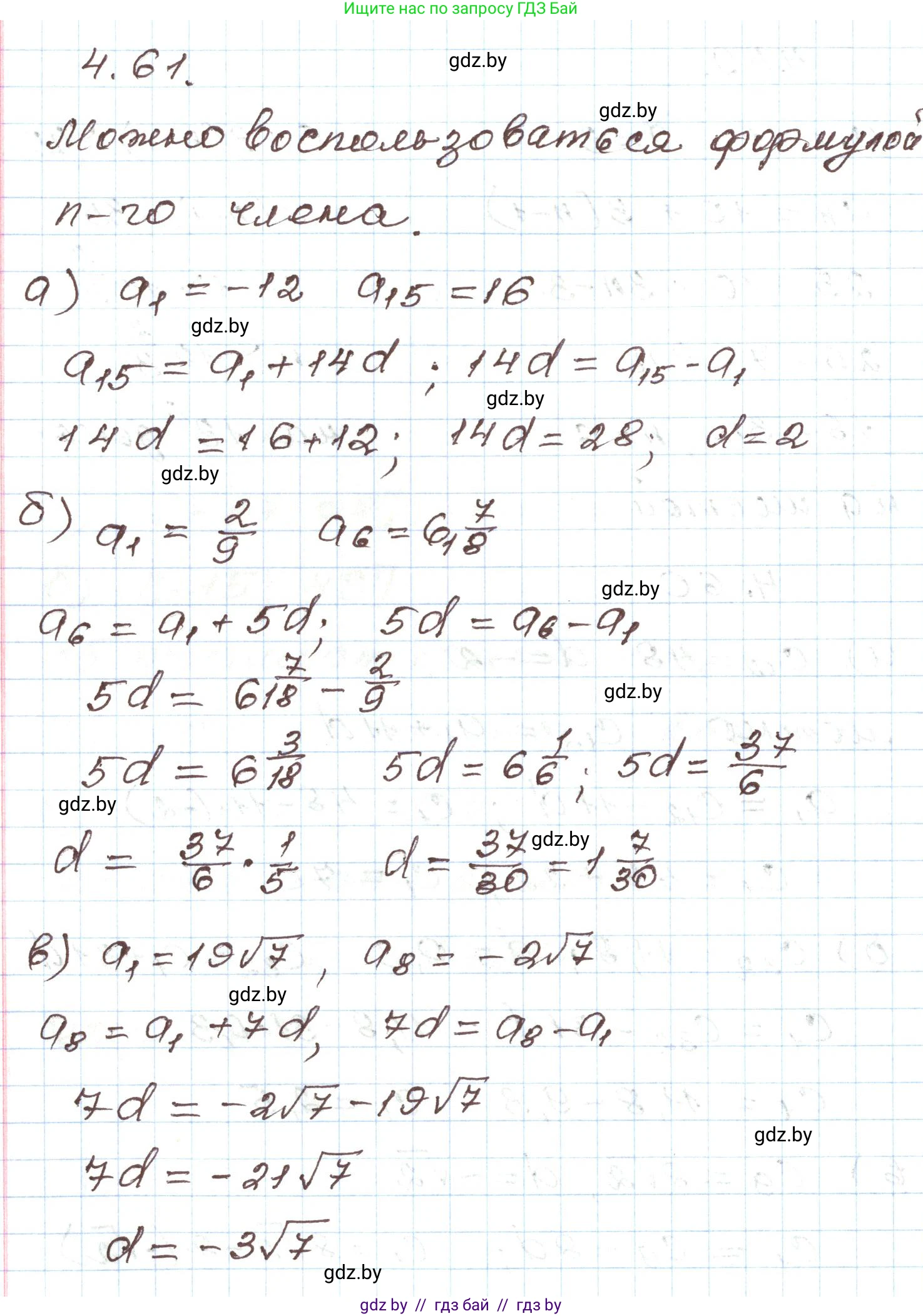
4.61. Какой формулой можно воспользоваться, чтобы найти разность арифметической прогрессии $(a_n)$, если известно, что:

а) $a_1 = -12$, $a_{15} = 16$;

б) $a_1 = \frac{2}{9}$, $a_6 = 6\frac{7}{18}$;

в) $a_1 = 19\sqrt{7}$, $a_8 = -2\sqrt{7}$?

Решение. №4.61 (с. 219)
Алгебра, 9 класс Учебник, авторы: Арефьева Ирина Глебовна, Пирютко Ольга Николаевна, издательство Народная асвета, Минск, 2019, голубого цвета, страница 219, номер 4.61, Решение
Решение 2. №4.61 (с. 219)

Для нахождения разности арифметической прогрессии $d$, если известны два её члена $a_n$ и $a_k$, можно воспользоваться формулой, которая выводится из формулы n-го члена арифметической прогрессии. Формула n-го члена: $a_n = a_1 + (n-1)d$.

Если мы знаем два члена прогрессии, $a_n$ и $a_k$, то их разность равна:

$a_n - a_k = (a_1 + (n-1)d) - (a_1 + (k-1)d) = (n-k)d$.

Из этого соотношения получаем формулу для вычисления разности $d$:

$d = \frac{a_n - a_k}{n - k}$

Именно этой формулой мы и воспользуемся для решения задачи.

а) Дано: $a_1 = -12, a_{15} = 16$.

В данном случае $k=1$, $n=15$. Подставляем известные значения в формулу:

$d = \frac{a_{15} - a_1}{15 - 1} = \frac{16 - (-12)}{14} = \frac{16 + 12}{14} = \frac{28}{14} = 2$.

Ответ: 2.

б) Дано: $a_1 = \frac{2}{9}, a_6 = 6\frac{7}{18}$.

В данном случае $k=1$, $n=6$. Сначала преобразуем смешанное число $a_6$ в неправильную дробь:

$a_6 = 6\frac{7}{18} = \frac{6 \cdot 18 + 7}{18} = \frac{108 + 7}{18} = \frac{115}{18}$.

Теперь подставляем значения в формулу для $d$:

$d = \frac{a_6 - a_1}{6 - 1} = \frac{\frac{115}{18} - \frac{2}{9}}{5}$.

Приведем дроби в числителе к общему знаменателю 18:

$\frac{2}{9} = \frac{2 \cdot 2}{9 \cdot 2} = \frac{4}{18}$.

Выполним вычисления:

$d = \frac{\frac{115}{18} - \frac{4}{18}}{5} = \frac{\frac{111}{18}}{5} = \frac{111}{18 \cdot 5} = \frac{111}{90}$.

Сократим полученную дробь на 3:

$d = \frac{111 \div 3}{90 \div 3} = \frac{37}{30}$.

Так как это неправильная дробь, выделим из нее целую часть:

$d = 1\frac{7}{30}$.

Ответ: 1$\frac{7}{30}$.

в) Дано: $a_1 = 19\sqrt{7}, a_8 = -2\sqrt{7}$.

В данном случае $k=1$, $n=8$. Подставляем известные значения в формулу:

$d = \frac{a_8 - a_1}{8 - 1} = \frac{-2\sqrt{7} - 19\sqrt{7}}{7} = \frac{(-2 - 19)\sqrt{7}}{7} = \frac{-21\sqrt{7}}{7} = -3\sqrt{7}$.

Ответ: $-3\sqrt{7}$.

Помогло решение? Оставьте отзыв в комментариях ниже.

Присоединяйтесь к Телеграм-группе @gdz_by_belarus

Присоединиться

Мы подготовили для вас ответ c подробным объяснением домашего задания по алгебре за 9 класс, для упражнения номер 4.61 расположенного на странице 219 к учебнику 2019 года издания для учащихся школ и гимназий.

Теперь на нашем сайте ГДЗ.ТОП вы всегда легко и бесплатно найдёте условие с правильным ответом на вопрос «Как решить ДЗ» и «Как сделать» задание по алгебре к упражнению №4.61 (с. 219), авторов: Арефьева (Ирина Глебовна), Пирютко (Ольга Николаевна), учебного пособия издательства Народная асвета.