Номер 4.68, страница 220 - гдз по алгебре 9 класс учебник Арефьева, Пирютко

Алгебра, 9 класс Учебник, авторы: Арефьева Ирина Глебовна, Пирютко Ольга Николаевна, издательство Народная асвета, Минск, 2019, голубого цвета

Авторы: Арефьева И. Г., Пирютко О. Н.

Тип: Учебник

Издательство: Народная асвета

Год издания: 2019 - 2025

Цвет обложки: голубой, синий с графиком

ISBN: 978-985-03-3077-2

Допущено Министерством образования Республики Беларусь

Популярные ГДЗ в 9 классе

Глава 4. Прогрессии. Параграф 15. Арифметическая прогрессия - номер 4.68, страница 220.

№4.68 (с. 220)
Условие. №4.68 (с. 220)
скриншот условия
Алгебра, 9 класс Учебник, авторы: Арефьева Ирина Глебовна, Пирютко Ольга Николаевна, издательство Народная асвета, Минск, 2019, голубого цвета, страница 220, номер 4.68, Условие

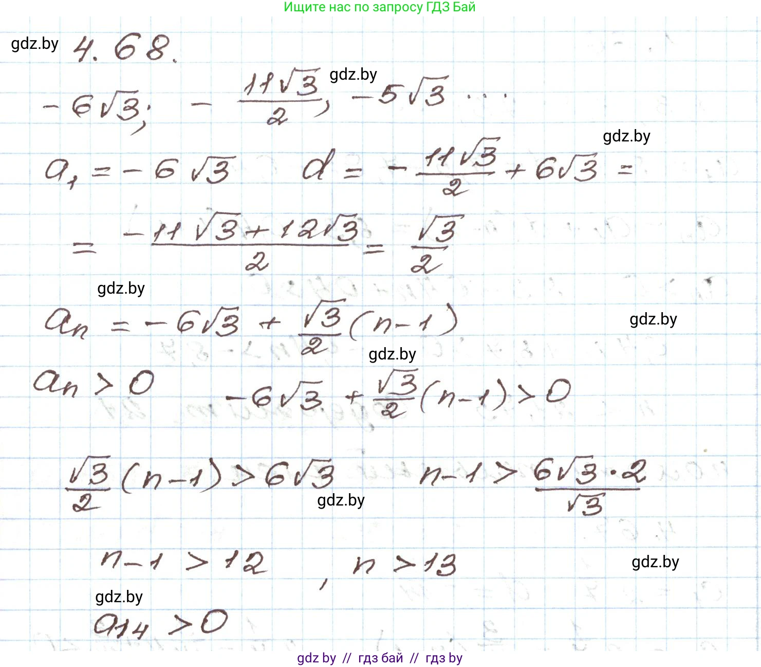
4.68. Найдите первый положительный член арифметической прогрессии $-6\sqrt{3}; -\frac{11\sqrt{3}}{2}; -5\sqrt{3}; \dots$

Решение. №4.68 (с. 220)
Алгебра, 9 класс Учебник, авторы: Арефьева Ирина Глебовна, Пирютко Ольга Николаевна, издательство Народная асвета, Минск, 2019, голубого цвета, страница 220, номер 4.68, Решение
Решение 2. №4.68 (с. 220)

Для решения задачи сначала найдем разность арифметической прогрессии, затем определим номер первого положительного члена и, наконец, вычислим его значение.

1. Нахождение разности арифметической прогрессии.

Даны члены прогрессии: $a_1 = -6\sqrt{3}$ и $a_2 = -\frac{11\sqrt{3}}{2}$.
Разность $d$ вычисляется по формуле $d = a_2 - a_1$.

$d = -\frac{11\sqrt{3}}{2} - (-6\sqrt{3}) = -\frac{11\sqrt{3}}{2} + 6\sqrt{3} = -\frac{11\sqrt{3}}{2} + \frac{12\sqrt{3}}{2} = \frac{\sqrt{3}}{2}$.

Ответ: Разность прогрессии равна $\frac{\sqrt{3}}{2}$.

2. Нахождение номера первого положительного члена.

Первый положительный член $a_n$ должен удовлетворять неравенству $a_n > 0$.
Используем формулу n-го члена: $a_n = a_1 + (n-1)d$.

Подставляем известные значения и решаем неравенство: $-6\sqrt{3} + (n-1)\frac{\sqrt{3}}{2} > 0$

Делим обе части на $\sqrt{3}$ (знак неравенства сохраняется, так как $\sqrt{3} > 0$): $-6 + \frac{n-1}{2} > 0$

$\frac{n-1}{2} > 6 \implies n-1 > 12 \implies n > 13$.

Поскольку номер члена прогрессии $n$ должен быть целым числом, наименьшее значение $n$, удовлетворяющее этому условию, равно 14.

Ответ: Номер первого положительного члена равен 14.

3. Вычисление первого положительного члена.

Теперь вычислим значение 14-го члена прогрессии ($a_{14}$): $a_{14} = a_1 + (14-1)d = a_1 + 13d$.

$a_{14} = -6\sqrt{3} + 13 \cdot \frac{\sqrt{3}}{2} = -\frac{12\sqrt{3}}{2} + \frac{13\sqrt{3}}{2} = \frac{\sqrt{3}}{2}$.

Ответ: Первый положительный член прогрессии равен $\frac{\sqrt{3}}{2}$.

Помогло решение? Оставьте отзыв в комментариях ниже.

Присоединяйтесь к Телеграм-группе @gdz_by_belarus

Присоединиться

Мы подготовили для вас ответ c подробным объяснением домашего задания по алгебре за 9 класс, для упражнения номер 4.68 расположенного на странице 220 к учебнику 2019 года издания для учащихся школ и гимназий.

Теперь на нашем сайте ГДЗ.ТОП вы всегда легко и бесплатно найдёте условие с правильным ответом на вопрос «Как решить ДЗ» и «Как сделать» задание по алгебре к упражнению №4.68 (с. 220), авторов: Арефьева (Ирина Глебовна), Пирютко (Ольга Николаевна), учебного пособия издательства Народная асвета.