Номер 4.77, страница 221 - гдз по алгебре 9 класс учебник Арефьева, Пирютко

Алгебра, 9 класс Учебник, авторы: Арефьева Ирина Глебовна, Пирютко Ольга Николаевна, издательство Народная асвета, Минск, 2019, голубого цвета

Авторы: Арефьева И. Г., Пирютко О. Н.

Тип: Учебник

Издательство: Народная асвета

Год издания: 2019 - 2025

Цвет обложки: голубой, синий с графиком

ISBN: 978-985-03-3077-2

Допущено Министерством образования Республики Беларусь

Популярные ГДЗ в 9 классе

Глава 4. Прогрессии. Параграф 15. Арифметическая прогрессия - номер 4.77, страница 221.

№4.77 (с. 221)
Условие. №4.77 (с. 221)
скриншот условия
Алгебра, 9 класс Учебник, авторы: Арефьева Ирина Глебовна, Пирютко Ольга Николаевна, издательство Народная асвета, Минск, 2019, голубого цвета, страница 221, номер 4.77, Условие

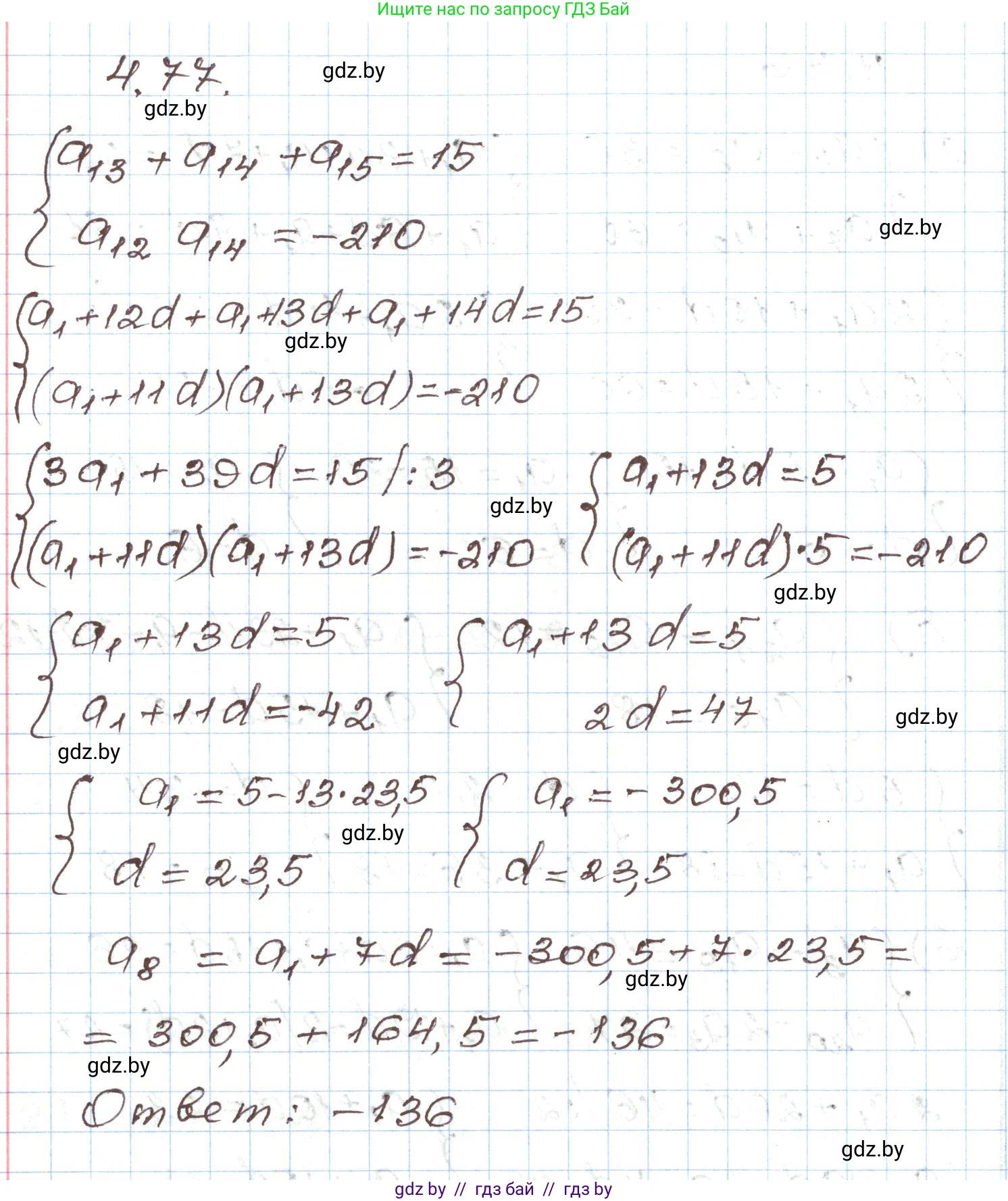
4.77*. Найдите восьмой член арифметической прогрессии $(a_n)$, если известно, что $a_{13} + a_{14} + a_{15} = 15$ и $a_{12}a_{14} = -210$.

Решение. №4.77 (с. 221)
Алгебра, 9 класс Учебник, авторы: Арефьева Ирина Глебовна, Пирютко Ольга Николаевна, издательство Народная асвета, Минск, 2019, голубого цвета, страница 221, номер 4.77, Решение
Решение 2. №4.77 (с. 221)

Пусть $(a_n)$ - заданная арифметическая прогрессия с разностью $d$.

Для решения задачи воспользуемся свойствами арифметической прогрессии. Для любых трех последовательных членов $a_{n-1}, a_n, a_{n+1}$ выполняется свойство, что средний член является средним арифметическим крайних: $a_n = \frac{a_{n-1} + a_{n+1}}{2}$ или $a_{n-1} + a_{n+1} = 2a_n$.

1. Используем первое условие: $a_{13} + a_{14} + a_{15} = 15$

Члены $a_{13}, a_{14}, a_{15}$ являются тремя последовательными членами прогрессии. Согласно свойству, $a_{13} + a_{15} = 2a_{14}$.

Подставим это выражение в первое уравнение:

$(a_{13} + a_{15}) + a_{14} = 15$

$2a_{14} + a_{14} = 15$

$3a_{14} = 15$

Отсюда находим четырнадцатый член прогрессии:

$a_{14} = \frac{15}{3} = 5$

2. Используем второе условие: $a_{12} \cdot a_{14} = -210$

Подставим в него найденное значение $a_{14} = 5$:

$a_{12} \cdot 5 = -210$

Отсюда находим двенадцатый член прогрессии:

$a_{12} = \frac{-210}{5} = -42$

3. Найдем разность прогрессии $d$

Зная два члена прогрессии, $a_{12}$ и $a_{14}$, мы можем найти ее разность $d$. Формула n-го члена арифметической прогрессии: $a_n = a_k + (n-k)d$.

Выразим $a_{14}$ через $a_{12}$:

$a_{14} = a_{12} + (14-12)d = a_{12} + 2d$

Подставим известные значения:

$5 = -42 + 2d$

$2d = 5 + 42$

$2d = 47$

$d = \frac{47}{2}$

4. Найдем восьмой член прогрессии $a_8$

Теперь, зная разность прогрессии и один из ее членов, мы можем найти любой другой член. Найдем $a_8$, выразив его через $a_{12}$:

$a_8 = a_{12} + (8-12)d = a_{12} - 4d$

Подставим значения $a_{12} = -42$ и $d = \frac{47}{2}$:

$a_8 = -42 - 4 \cdot \frac{47}{2} = -42 - 2 \cdot 47 = -42 - 94 = -136$

Найдите восьмой член арифметической прогрессии ($a_8$): Ответ: -136

Помогло решение? Оставьте отзыв в комментариях ниже.

Присоединяйтесь к Телеграм-группе @gdz_by_belarus

Присоединиться

Мы подготовили для вас ответ c подробным объяснением домашего задания по алгебре за 9 класс, для упражнения номер 4.77 расположенного на странице 221 к учебнику 2019 года издания для учащихся школ и гимназий.

Теперь на нашем сайте ГДЗ.ТОП вы всегда легко и бесплатно найдёте условие с правильным ответом на вопрос «Как решить ДЗ» и «Как сделать» задание по алгебре к упражнению №4.77 (с. 221), авторов: Арефьева (Ирина Глебовна), Пирютко (Ольга Николаевна), учебного пособия издательства Народная асвета.