Номер 139, страница 277 - гдз по алгебре 9 класс учебник Арефьева, Пирютко

Алгебра, 9 класс Учебник, авторы: Арефьева Ирина Глебовна, Пирютко Ольга Николаевна, издательство Народная асвета, Минск, 2019, голубого цвета

Авторы: Арефьева И. Г., Пирютко О. Н.

Тип: Учебник

Издательство: Народная асвета

Год издания: 2019 - 2025

Цвет обложки: голубой, синий с графиком

ISBN: 978-985-03-3077-2

Допущено Министерством образования Республики Беларусь

Популярные ГДЗ в 9 классе

Итоговое повторение. Выражения и их преобразования - номер 139, страница 277.

№139 (с. 277)
Условие. №139 (с. 277)
скриншот условия
Алгебра, 9 класс Учебник, авторы: Арефьева Ирина Глебовна, Пирютко Ольга Николаевна, издательство Народная асвета, Минск, 2019, голубого цвета, страница 277, номер 139, Условие

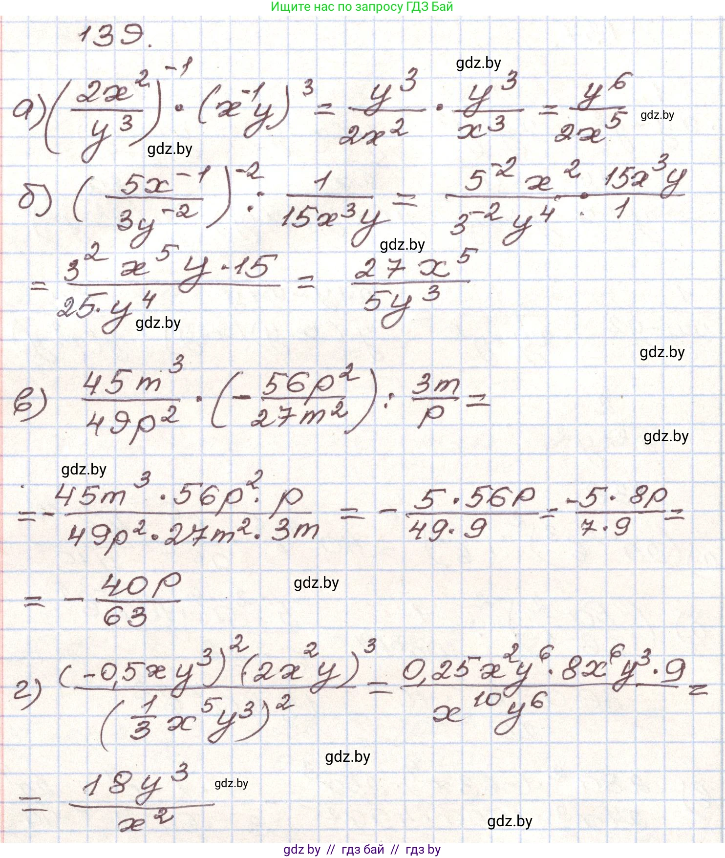
139. Представьте в виде дроби выражение:

а) $ \left(\frac{2x^2}{y^3}\right)^{-1} \cdot (x^{-1}y)^3; $

б) $ \left(\frac{5x^{-1}}{3y^{-2}}\right)^{-2} : \frac{1}{15x^3y}; $

в) $ \frac{45m^3}{49p^2} \cdot \left(-\frac{56p^2}{27m^2}\right) : \frac{3m}{p}; $

г) $ \frac{(-0,5xy^3)^2(2x^2y)^3}{\left(\frac{1}{3}x^5y^3\right)^2}. $

Решение. №139 (с. 277)
Алгебра, 9 класс Учебник, авторы: Арефьева Ирина Глебовна, Пирютко Ольга Николаевна, издательство Народная асвета, Минск, 2019, голубого цвета, страница 277, номер 139, Решение
Решение 2. №139 (с. 277)

а) Для упрощения данного выражения применим свойства степеней: $ (\frac{a}{b})^{-n} = (\frac{b}{a})^n $, $ (ab)^n = a^n b^n $, $ (a^m)^n = a^{mn} $ и $ a^m \cdot a^n = a^{m+n} $.

1. Преобразуем первый множитель, используя свойство степени с отрицательным показателем (переворачиваем дробь):
$ \left(\frac{2x^2}{y^3}\right)^{-1} = \frac{y^3}{2x^2} $

2. Преобразуем второй множитель, возводя каждый сомножитель в куб:
$ (x^{-1}y)^3 = (x^{-1})^3 \cdot y^3 = x^{-1 \cdot 3}y^3 = x^{-3}y^3 $

3. Теперь перемножим полученные выражения:
$ \frac{y^3}{2x^2} \cdot (x^{-3}y^3) = \frac{y^3 \cdot y^3 \cdot x^{-3}}{2x^2} = \frac{y^{3+3}}{2x^2 \cdot x^3} = \frac{y^6}{2x^{2+3}} = \frac{y^6}{2x^5} $

Ответ: $ \frac{y^6}{2x^5} $

б) Для решения данного примера будем использовать свойства степеней и правило деления дробей.

1. Сначала упростим выражение в скобках, избавившись от отрицательных степеней:
$ \frac{5x^{-1}}{3y^{-2}} = \frac{5/x}{3/y^2} = \frac{5}{x} \cdot \frac{y^2}{3} = \frac{5y^2}{3x} $

2. Теперь возведем полученную дробь в степень -2. Для этого перевернем дробь и возведем в квадрат:
$ \left(\frac{5y^2}{3x}\right)^{-2} = \left(\frac{3x}{5y^2}\right)^2 = \frac{(3x)^2}{(5y^2)^2} = \frac{9x^2}{25y^4} $

3. Выполним деление. Деление на дробь равносильно умножению на обратную (перевернутую) дробь:
$ \frac{9x^2}{25y^4} : \frac{1}{15x^3y} = \frac{9x^2}{25y^4} \cdot \frac{15x^3y}{1} $

4. Перемножим дроби и произведем сокращение:
$ \frac{9x^2 \cdot 15x^3y}{25y^4} = \frac{(9 \cdot 15) \cdot (x^2 \cdot x^3) \cdot y}{25 \cdot y^4} = \frac{135 x^5 y}{25 y^4} $
Сократим числовой коэффициент: $ \frac{135}{25} = \frac{27 \cdot 5}{5 \cdot 5} = \frac{27}{5} $
Сократим переменные: $ \frac{x^5y}{y^4} = \frac{x^5}{y^{4-1}} = \frac{x^5}{y^3} $
В результате получаем дробь: $ \frac{27x^5}{5y^3} $

5. Коэффициент $ \frac{27}{5} $ является неправильной дробью. Согласно условию, выделим из него целую часть: $ \frac{27}{5} = 5\frac{2}{5} $.

Ответ: 5$\frac{2}{5}\frac{x^5}{y^3}$

в) Упростим выражение, выполняя действия по порядку.

1. Выполним умножение дробей, сокращая коэффициенты и переменные:
$ \frac{45m^3}{49p^2} \cdot \left(-\frac{56p^2}{27m^2}\right) = -\frac{45m^3 \cdot 56p^2}{49p^2 \cdot 27m^2} $
Сокращаем числа: $ 45=5 \cdot 9; 56=7 \cdot 8; 49=7 \cdot 7; 27=3 \cdot 9 $.
$ -\frac{(5 \cdot 9) \cdot (7 \cdot 8)}{(7 \cdot 7) \cdot (3 \cdot 9)} = -\frac{5 \cdot 8}{7 \cdot 3} = -\frac{40}{21} $
Сокращаем переменные: $ \frac{m^3p^2}{p^2m^2} = m^{3-2}p^{2-2} = m $
Результат умножения: $ -\frac{40m}{21} $

2. Теперь выполним деление, заменив его на умножение на обратную дробь:
$ \left(-\frac{40m}{21}\right) : \frac{3m}{p} = -\frac{40m}{21} \cdot \frac{p}{3m} = -\frac{40m \cdot p}{21 \cdot 3m} $
Сократим $m$ в числителе и знаменателе:
$ -\frac{40p}{63} $

Ответ: $ -\frac{40p}{63} $

г) Для упрощения данного выражения сначала преобразуем числитель и знаменатель по отдельности.

1. Упростим числитель. Возведем каждый множитель в соответствующую степень:
$ (-0,5xy^3)^2 = (-0,5)^2 \cdot x^2 \cdot (y^3)^2 = 0,25x^2y^6 $
$ (2x^2y)^3 = 2^3 \cdot (x^2)^3 \cdot y^3 = 8x^6y^3 $
Теперь перемножим полученные выражения:
$ (0,25x^2y^6) \cdot (8x^6y^3) = (0,25 \cdot 8) \cdot (x^2 \cdot x^6) \cdot (y^6 \cdot y^3) = 2x^8y^9 $

2. Упростим знаменатель:
$ \left(\frac{1}{3}x^5y^3\right)^2 = \left(\frac{1}{3}\right)^2 \cdot (x^5)^2 \cdot (y^3)^2 = \frac{1}{9}x^{10}y^6 $

3. Разделим упрощенный числитель на упрощенный знаменатель:
$ \frac{2x^8y^9}{\frac{1}{9}x^{10}y^6} = \frac{2 \cdot 9 \cdot x^8 y^9}{x^{10} y^6} = 18 \cdot \frac{x^8}{x^{10}} \cdot \frac{y^9}{y^6} = 18 \cdot x^{8-10} \cdot y^{9-6} = 18x^{-2}y^3 $

4. Запишем результат в виде дроби без отрицательных степеней:
$ 18x^{-2}y^3 = \frac{18y^3}{x^2} $

Ответ: $ \frac{18y^3}{x^2} $

Помогло решение? Оставьте отзыв в комментариях ниже.

Присоединяйтесь к Телеграм-группе @gdz_by_belarus

Присоединиться

Мы подготовили для вас ответ c подробным объяснением домашего задания по алгебре за 9 класс, для упражнения номер 139 расположенного на странице 277 к учебнику 2019 года издания для учащихся школ и гимназий.

Теперь на нашем сайте ГДЗ.ТОП вы всегда легко и бесплатно найдёте условие с правильным ответом на вопрос «Как решить ДЗ» и «Как сделать» задание по алгебре к упражнению №139 (с. 277), авторов: Арефьева (Ирина Глебовна), Пирютко (Ольга Николаевна), учебного пособия издательства Народная асвета.