Номер 142, страница 278 - гдз по алгебре 9 класс учебник Арефьева, Пирютко

Алгебра, 9 класс Учебник, авторы: Арефьева Ирина Глебовна, Пирютко Ольга Николаевна, издательство Народная асвета, Минск, 2019, голубого цвета

Авторы: Арефьева И. Г., Пирютко О. Н.

Тип: Учебник

Издательство: Народная асвета

Год издания: 2019 - 2025

Цвет обложки: голубой, синий с графиком

ISBN: 978-985-03-3077-2

Допущено Министерством образования Республики Беларусь

Популярные ГДЗ в 9 классе

Итоговое повторение. Выражения и их преобразования - номер 142, страница 278.

№142 (с. 278)
Условие. №142 (с. 278)
скриншот условия
Алгебра, 9 класс Учебник, авторы: Арефьева Ирина Глебовна, Пирютко Ольга Николаевна, издательство Народная асвета, Минск, 2019, голубого цвета, страница 278, номер 142, Условие

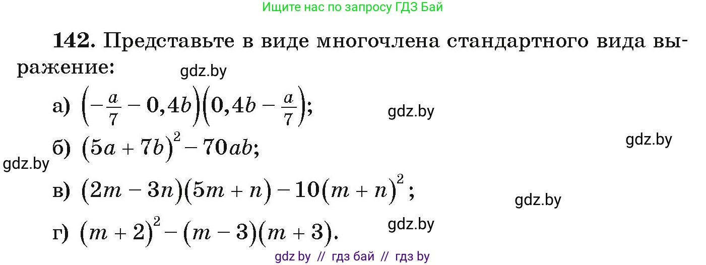
142. Представьте в виде многочлена стандартного вида выражение:

а) $ (-\frac{a}{7} - 0,4b)(0,4b - \frac{a}{7}) $

б) $ (5a + 7b)^2 - 70ab $

в) $ (2m - 3n)(5m + n) - 10(m + n)^2 $

г) $ (m + 2)^2 - (m - 3)(m + 3) $.

Решение. №142 (с. 278)
Алгебра, 9 класс Учебник, авторы: Арефьева Ирина Глебовна, Пирютко Ольга Николаевна, издательство Народная асвета, Минск, 2019, голубого цвета, страница 278, номер 142, Решение
Решение 2. №142 (с. 278)

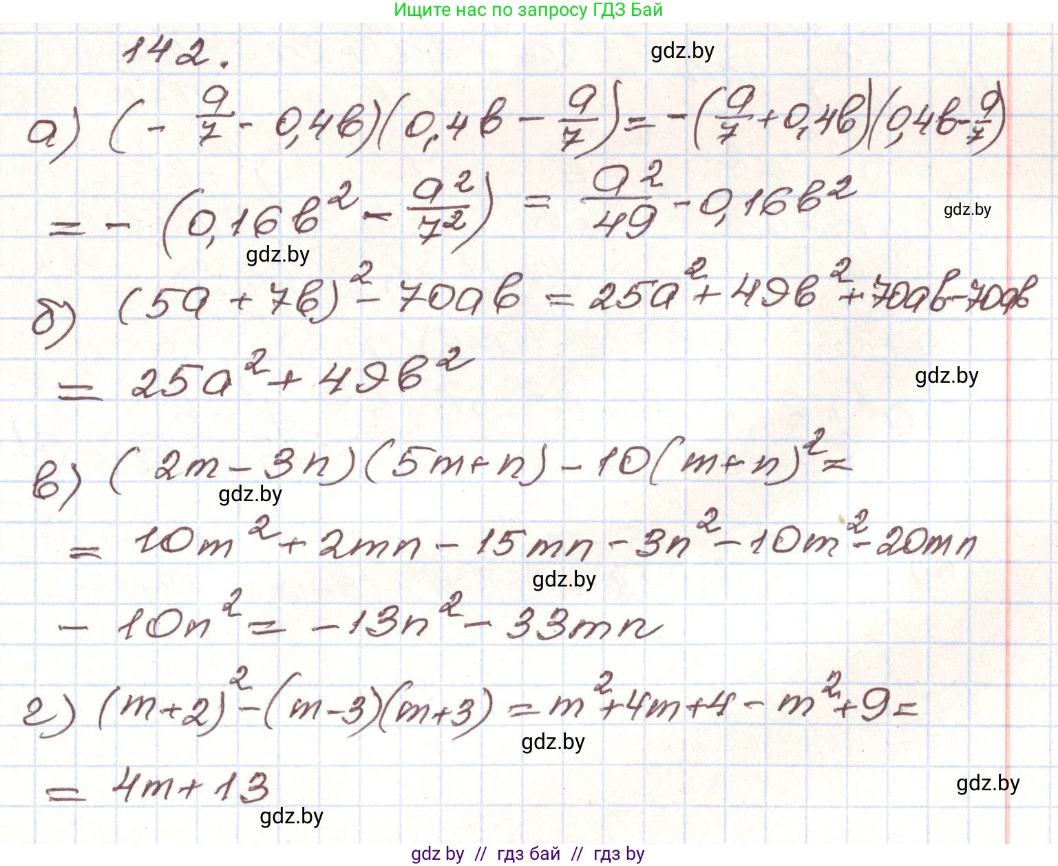
а) Чтобы представить выражение $(-\frac{a}{7} - 0,4b)(0,4b - \frac{a}{7})$ в виде многочлена стандартного вида, заметим, что оно похоже на формулу разности квадратов. Для этого преобразуем его.
Вынесем минус за скобки в первом множителе: $-(\frac{a}{7} + 0,4b)$.
Поменяем местами слагаемые во втором множителе: $(0,4b - \frac{a}{7}) = (-\frac{a}{7} + 0,4b)$.
Получаем выражение: $(-\frac{a}{7} - 0,4b)(-\frac{a}{7} + 0,4b)$.
Теперь мы можем применить формулу разности квадратов $(x-y)(x+y) = x^2 - y^2$, где $x = -\frac{a}{7}$ и $y = 0,4b$.
$(-\frac{a}{7})^2 - (0,4b)^2 = \frac{a^2}{49} - 0,16b^2$.
Ответ: $\frac{a^2}{49} - 0,16b^2$.

б) Чтобы представить выражение $(5a + 7b)^2 - 70ab$ в виде многочлена, сначала раскроем скобки, используя формулу квадрата суммы $(x+y)^2 = x^2 + 2xy + y^2$.
$(5a + 7b)^2 = (5a)^2 + 2 \cdot 5a \cdot 7b + (7b)^2 = 25a^2 + 70ab + 49b^2$.
Теперь подставим полученный многочлен в исходное выражение:
$(25a^2 + 70ab + 49b^2) - 70ab$.
Приведем подобные слагаемые (70ab и -70ab):
$25a^2 + (70ab - 70ab) + 49b^2 = 25a^2 + 49b^2$.
Ответ: $25a^2 + 49b^2$.

в) Чтобы упростить выражение $(2m - 3n)(5m + n) - 10(m + n)^2$, выполним действия по частям.
1. Раскроем первые скобки, перемножив многочлены:
$(2m - 3n)(5m + n) = 2m \cdot 5m + 2m \cdot n - 3n \cdot 5m - 3n \cdot n = 10m^2 + 2mn - 15mn - 3n^2$.
Приведем подобные слагаемые: $10m^2 - 13mn - 3n^2$.
2. Раскроем вторую часть выражения, используя формулу квадрата суммы:
$-10(m + n)^2 = -10(m^2 + 2mn + n^2) = -10m^2 - 20mn - 10n^2$.
3. Сложим результаты и приведем подобные слагаемые:
$(10m^2 - 13mn - 3n^2) + (-10m^2 - 20mn - 10n^2) = (10m^2 - 10m^2) + (-13mn - 20mn) + (-3n^2 - 10n^2) = -33mn - 13n^2$.
Ответ: $-33mn - 13n^2$.

г) Чтобы представить выражение $(m + 2)^2 - (m - 3)(m + 3)$ в виде многочлена, воспользуемся формулами сокращенного умножения.
1. Раскроем первую скобку по формуле квадрата суммы $(x+y)^2 = x^2+2xy+y^2$:
$(m + 2)^2 = m^2 + 2 \cdot m \cdot 2 + 2^2 = m^2 + 4m + 4$.
2. Раскроем вторые скобки по формуле разности квадратов $(x-y)(x+y) = x^2-y^2$:
$(m - 3)(m + 3) = m^2 - 3^2 = m^2 - 9$.
3. Подставим результаты в исходное выражение:
$(m^2 + 4m + 4) - (m^2 - 9) = m^2 + 4m + 4 - m^2 + 9$.
4. Приведем подобные слагаемые:
$(m^2 - m^2) + 4m + (4 + 9) = 4m + 13$.
Ответ: $4m + 13$.

Помогло решение? Оставьте отзыв в комментариях ниже.

Присоединяйтесь к Телеграм-группе @gdz_by_belarus

Присоединиться

Мы подготовили для вас ответ c подробным объяснением домашего задания по алгебре за 9 класс, для упражнения номер 142 расположенного на странице 278 к учебнику 2019 года издания для учащихся школ и гимназий.

Теперь на нашем сайте ГДЗ.ТОП вы всегда легко и бесплатно найдёте условие с правильным ответом на вопрос «Как решить ДЗ» и «Как сделать» задание по алгебре к упражнению №142 (с. 278), авторов: Арефьева (Ирина Глебовна), Пирютко (Ольга Николаевна), учебного пособия издательства Народная асвета.