Номер 147, страница 278 - гдз по алгебре 9 класс учебник Арефьева, Пирютко

Алгебра, 9 класс Учебник, авторы: Арефьева Ирина Глебовна, Пирютко Ольга Николаевна, издательство Народная асвета, Минск, 2019, голубого цвета

Авторы: Арефьева И. Г., Пирютко О. Н.

Тип: Учебник

Издательство: Народная асвета

Год издания: 2019 - 2025

Цвет обложки: голубой, синий с графиком

ISBN: 978-985-03-3077-2

Допущено Министерством образования Республики Беларусь

Популярные ГДЗ в 9 классе

Итоговое повторение. Выражения и их преобразования - номер 147, страница 278.

№147 (с. 278)
Условие. №147 (с. 278)
скриншот условия
Алгебра, 9 класс Учебник, авторы: Арефьева Ирина Глебовна, Пирютко Ольга Николаевна, издательство Народная асвета, Минск, 2019, голубого цвета, страница 278, номер 147, Условие

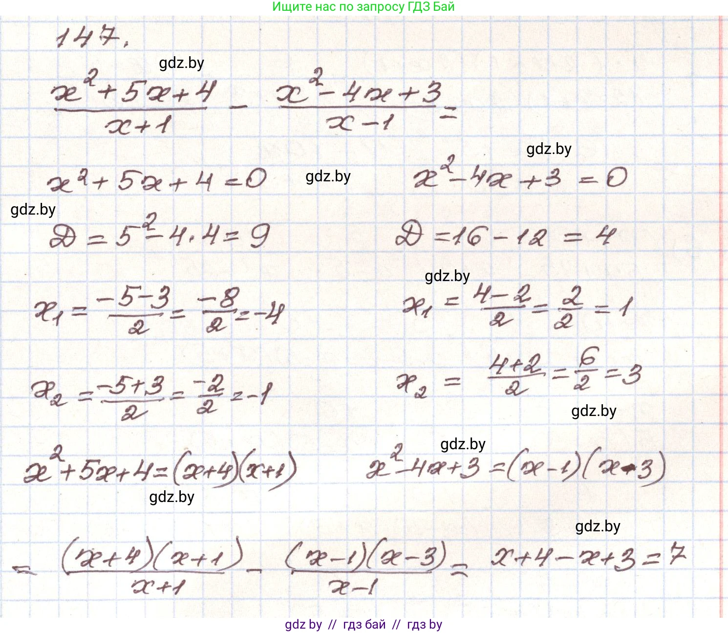
147. Выполните действия $\frac{x^2+5x+4}{x+1} - \frac{x^2-4x+3}{x-1}$.

Решение. №147 (с. 278)
Алгебра, 9 класс Учебник, авторы: Арефьева Ирина Глебовна, Пирютко Ольга Николаевна, издательство Народная асвета, Минск, 2019, голубого цвета, страница 278, номер 147, Решение
Решение 2. №147 (с. 278)

Для выполнения действий в выражении $\frac{x^2+5x+4}{x+1} - \frac{x^2-4x+3}{x-1}$, мы сначала упростим каждую из дробей. Для этого необходимо разложить числители на множители.

Шаг 1. Упрощение первой дроби.

Рассмотрим числитель первой дроби: $x^2+5x+4$. Чтобы разложить его на множители, найдем корни квадратного уравнения $x^2+5x+4=0$. По теореме Виета, сумма корней $x_1+x_2 = -5$, а их произведение $x_1 \cdot x_2 = 4$. Легко подобрать корни: $x_1=-1$ и $x_2=-4$.
Следовательно, разложение на множители имеет вид: $x^2+5x+4 = (x-(-1))(x-(-4)) = (x+1)(x+4)$.
Теперь мы можем сократить первую дробь:

$\frac{x^2+5x+4}{x+1} = \frac{(x+1)(x+4)}{x+1} = x+4$

Это преобразование справедливо при условии, что знаменатель не равен нулю, то есть $x+1 \neq 0$ или $x \neq -1$.

Шаг 2. Упрощение второй дроби.

Рассмотрим числитель второй дроби: $x^2-4x+3$. Найдем корни уравнения $x^2-4x+3=0$. По теореме Виета, сумма корней $x_1+x_2 = 4$, а их произведение $x_1 \cdot x_2 = 3$. Корнями являются $x_1=1$ и $x_2=3$.
Следовательно, разложение на множители имеет вид: $x^2-4x+3 = (x-1)(x-3)$.
Теперь сократим вторую дробь:

$\frac{x^2-4x+3}{x-1} = \frac{(x-1)(x-3)}{x-1} = x-3$

Это преобразование справедливо при $x-1 \neq 0$ или $x \neq 1$.

Шаг 3. Выполнение вычитания.

Теперь, когда обе дроби упрощены, подставим их в исходное выражение:

$(x+4) - (x-3)$

Раскроем скобки и приведем подобные слагаемые:

$x+4 - x+3 = (x-x) + (4+3) = 0 + 7 = 7$

Ответ: 7

Помогло решение? Оставьте отзыв в комментариях ниже.

Присоединяйтесь к Телеграм-группе @gdz_by_belarus

Присоединиться

Мы подготовили для вас ответ c подробным объяснением домашего задания по алгебре за 9 класс, для упражнения номер 147 расположенного на странице 278 к учебнику 2019 года издания для учащихся школ и гимназий.

Теперь на нашем сайте ГДЗ.ТОП вы всегда легко и бесплатно найдёте условие с правильным ответом на вопрос «Как решить ДЗ» и «Как сделать» задание по алгебре к упражнению №147 (с. 278), авторов: Арефьева (Ирина Глебовна), Пирютко (Ольга Николаевна), учебного пособия издательства Народная асвета.