Номер 149, страница 278 - гдз по алгебре 9 класс учебник Арефьева, Пирютко

Алгебра, 9 класс Учебник, авторы: Арефьева Ирина Глебовна, Пирютко Ольга Николаевна, издательство Народная асвета, Минск, 2019, голубого цвета

Авторы: Арефьева И. Г., Пирютко О. Н.

Тип: Учебник

Издательство: Народная асвета

Год издания: 2019 - 2025

Цвет обложки: голубой, синий с графиком

ISBN: 978-985-03-3077-2

Допущено Министерством образования Республики Беларусь

Популярные ГДЗ в 9 классе

Итоговое повторение. Выражения и их преобразования - номер 149, страница 278.

№149 (с. 278)
Условие. №149 (с. 278)
скриншот условия
Алгебра, 9 класс Учебник, авторы: Арефьева Ирина Глебовна, Пирютко Ольга Николаевна, издательство Народная асвета, Минск, 2019, голубого цвета, страница 278, номер 149, Условие

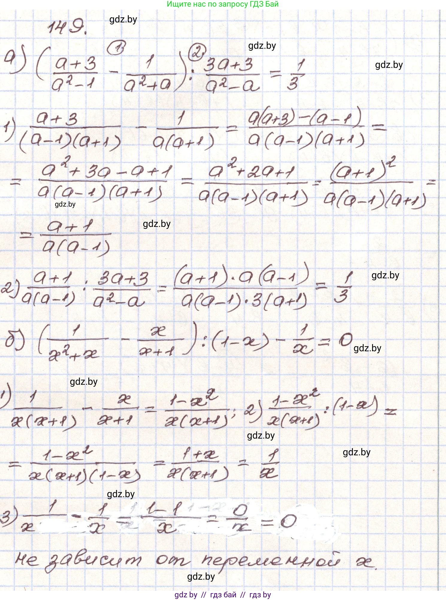
149. Докажите, что значение выражения не зависит от значения переменной:

а) $\left(\frac{a+3}{a^2-1}-\frac{1}{a^2+a}\right):\frac{3a+3}{a^2-a}$;

б) $\left(\frac{1}{x^2+x}-\frac{x}{x+1}\right):(1-x)-\frac{1}{x}$.

Решение. №149 (с. 278)
Алгебра, 9 класс Учебник, авторы: Арефьева Ирина Глебовна, Пирютко Ольга Николаевна, издательство Народная асвета, Минск, 2019, голубого цвета, страница 278, номер 149, Решение
Решение 2. №149 (с. 278)

Для того чтобы доказать, что значение выражения не зависит от значения переменной, необходимо упростить данное выражение. Если в результате упрощения переменная сократится и останется только число, то утверждение будет доказано.

а) $(\frac{a+3}{a^2-1} - \frac{1}{a^2+a}) : \frac{3a+3}{a^2-a}$

1. Упростим выражение в скобках. Для этого разложим знаменатели на множители и приведем дроби к общему знаменателю.

Знаменатель первой дроби: $a^2-1 = (a-1)(a+1)$.

Знаменатель второй дроби: $a^2+a = a(a+1)$.

Общий знаменатель для дробей в скобках: $a(a-1)(a+1)$.

$\frac{a+3}{(a-1)(a+1)} - \frac{1}{a(a+1)} = \frac{a(a+3) - 1(a-1)}{a(a-1)(a+1)} = \frac{a^2+3a-a+1}{a(a-1)(a+1)} = \frac{a^2+2a+1}{a(a-1)(a+1)}$

2. Упростим числитель полученной дроби, используя формулу квадрата суммы $(x+y)^2 = x^2+2xy+y^2$:

$a^2+2a+1 = (a+1)^2$

Таким образом, выражение в скобках равно:

$\frac{(a+1)^2}{a(a-1)(a+1)} = \frac{a+1}{a(a-1)}$

3. Теперь упростим делитель. Разложим на множители его числитель и знаменатель:

$\frac{3a+3}{a^2-a} = \frac{3(a+1)}{a(a-1)}$

4. Выполним деление. Деление на дробь равносильно умножению на обратную ей дробь:

$(\frac{a+1}{a(a-1)}) : (\frac{3(a+1)}{a(a-1)}) = \frac{a+1}{a(a-1)} \cdot \frac{a(a-1)}{3(a+1)}$

5. Сократим одинаковые множители в числителе и знаменателе:

$\frac{\cancel{a+1}}{\cancel{a(a-1)}} \cdot \frac{\cancel{a(a-1)}}{3(\cancel{a+1})} = \frac{1}{3}$

В результате упрощения мы получили число. Это доказывает, что значение исходного выражения не зависит от переменной $a$.

Ответ: $\frac{1}{3}$.

б) $(\frac{1}{x^2+x} - \frac{x}{x+1}) : (1-x) - \frac{1}{x}$

1. Упростим выражение в скобках. Разложим знаменатель первой дроби на множители и приведем дроби к общему знаменателю.

Знаменатель первой дроби: $x^2+x = x(x+1)$.

Общий знаменатель для дробей в скобках: $x(x+1)$.

$\frac{1}{x(x+1)} - \frac{x}{x+1} = \frac{1 - x \cdot x}{x(x+1)} = \frac{1-x^2}{x(x+1)}$

2. Упростим числитель, используя формулу разности квадратов $a^2-b^2 = (a-b)(a+b)$:

$1-x^2 = (1-x)(1+x)$

Таким образом, выражение в скобках равно:

$\frac{(1-x)(1+x)}{x(x+1)} = \frac{(1-x)(x+1)}{x(x+1)} = \frac{1-x}{x}$

3. Теперь выполним деление на $(1-x)$:

$(\frac{1-x}{x}) : (1-x) = \frac{1-x}{x} \cdot \frac{1}{1-x}$

4. Сократим дробь на общий множитель $(1-x)$:

$\frac{\cancel{1-x}}{x} \cdot \frac{1}{\cancel{1-x}} = \frac{1}{x}$

5. Выполним последнее действие — вычитание:

$\frac{1}{x} - \frac{1}{x} = 0$

В результате упрощения мы получили число 0. Это доказывает, что значение исходного выражения не зависит от переменной $x$.

Ответ: 0.

Помогло решение? Оставьте отзыв в комментариях ниже.

Присоединяйтесь к Телеграм-группе @gdz_by_belarus

Присоединиться

Мы подготовили для вас ответ c подробным объяснением домашего задания по алгебре за 9 класс, для упражнения номер 149 расположенного на странице 278 к учебнику 2019 года издания для учащихся школ и гимназий.

Теперь на нашем сайте ГДЗ.ТОП вы всегда легко и бесплатно найдёте условие с правильным ответом на вопрос «Как решить ДЗ» и «Как сделать» задание по алгебре к упражнению №149 (с. 278), авторов: Арефьева (Ирина Глебовна), Пирютко (Ольга Николаевна), учебного пособия издательства Народная асвета.