Номер 170, страница 280 - гдз по алгебре 9 класс учебник Арефьева, Пирютко

Алгебра, 9 класс Учебник, авторы: Арефьева Ирина Глебовна, Пирютко Ольга Николаевна, издательство Народная асвета, Минск, 2019, голубого цвета

Авторы: Арефьева И. Г., Пирютко О. Н.

Тип: Учебник

Издательство: Народная асвета

Год издания: 2019 - 2025

Цвет обложки: голубой, синий с графиком

ISBN: 978-985-03-3077-2

Допущено Министерством образования Республики Беларусь

Популярные ГДЗ в 9 классе

Итоговое повторение. Выражения и их преобразования - номер 170, страница 280.

№170 (с. 280)
Условие. №170 (с. 280)
скриншот условия
Алгебра, 9 класс Учебник, авторы: Арефьева Ирина Глебовна, Пирютко Ольга Николаевна, издательство Народная асвета, Минск, 2019, голубого цвета, страница 280, номер 170, Условие

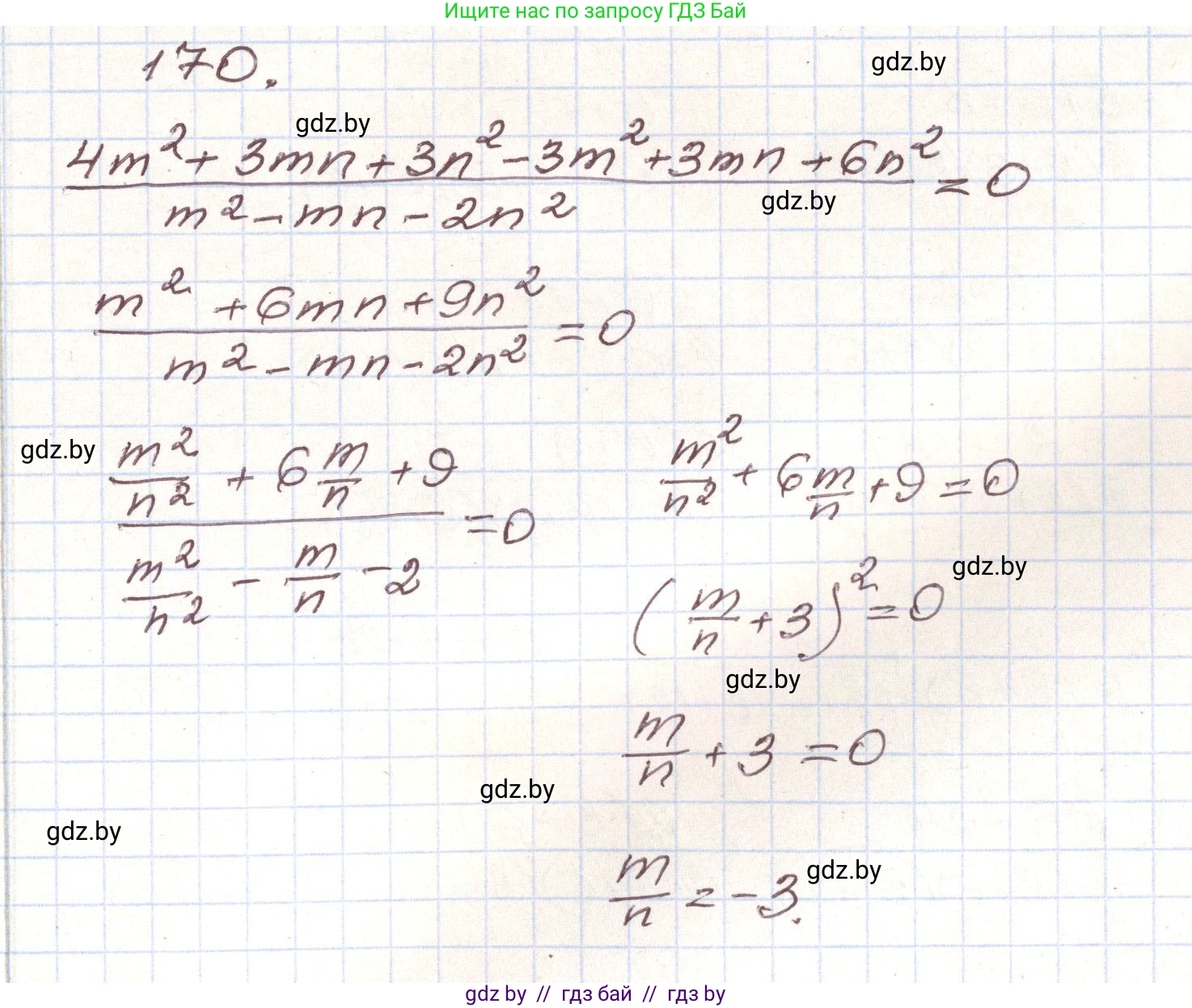
170*. Вычислите значение дроби $ \frac{m}{n} $, если $ \frac{4m^2 + 3mn + 3n^2}{m^2 - mn - 2n^2} = 3. $

Решение. №170 (с. 280)
Алгебра, 9 класс Учебник, авторы: Арефьева Ирина Глебовна, Пирютко Ольга Николаевна, издательство Народная асвета, Минск, 2019, голубого цвета, страница 280, номер 170, Решение
Решение 2. №170 (с. 280)

Для того чтобы найти значение дроби $ \frac{m}{n} $, необходимо сначала преобразовать исходное уравнение:

$$ \frac{4m^2 + 3mn + 3n^2}{m^2 - mn - 2n^2} = 3 $$

Предположим, что знаменатель дроби не равен нулю, то есть $ m^2 - mn - 2n^2 \neq 0 $. Умножим обе части уравнения на знаменатель:

$$ 4m^2 + 3mn + 3n^2 = 3(m^2 - mn - 2n^2) $$

Раскроем скобки в правой части уравнения:

$$ 4m^2 + 3mn + 3n^2 = 3m^2 - 3mn - 6n^2 $$

Далее перенесем все слагаемые из правой части в левую, меняя их знаки на противоположные, и приведем подобные члены:

$$ (4m^2 - 3m^2) + (3mn + 3mn) + (3n^2 + 6n^2) = 0 $$

$$ m^2 + 6mn + 9n^2 = 0 $$

Заметим, что левая часть уравнения представляет собой полный квадрат суммы. Его можно свернуть по формуле сокращенного умножения $ (a+b)^2 = a^2 + 2ab + b^2 $, где $ a = m $ и $ b = 3n $.

$$ (m + 3n)^2 = 0 $$

Если квадрат выражения равен нулю, то и само выражение равно нулю:

$$ m + 3n = 0 $$

Из этого равенства выразим $ m $ через $ n $:

$$ m = -3n $$

Теперь мы можем вычислить искомое значение дроби $ \frac{m}{n} $, подставив в нее выражение для $ m $. Так как мы ищем значение дроби $ \frac{m}{n} $, это подразумевает, что $ n \neq 0 $.

$$ \frac{m}{n} = \frac{-3n}{n} = -3 $$

Проверим, выполняется ли наше первоначальное предположение о том, что знаменатель не равен нулю при $ m = -3n $:

$$ m^2 - mn - 2n^2 = (-3n)^2 - (-3n)n - 2n^2 = 9n^2 + 3n^2 - 2n^2 = 10n^2 $$

Так как $ n \neq 0 $, то $ 10n^2 \neq 0 $. Следовательно, наше решение верное.

Ответ: -3

Помогло решение? Оставьте отзыв в комментариях ниже.

Присоединяйтесь к Телеграм-группе @gdz_by_belarus

Присоединиться

Мы подготовили для вас ответ c подробным объяснением домашего задания по алгебре за 9 класс, для упражнения номер 170 расположенного на странице 280 к учебнику 2019 года издания для учащихся школ и гимназий.

Теперь на нашем сайте ГДЗ.ТОП вы всегда легко и бесплатно найдёте условие с правильным ответом на вопрос «Как решить ДЗ» и «Как сделать» задание по алгебре к упражнению №170 (с. 280), авторов: Арефьева (Ирина Глебовна), Пирютко (Ольга Николаевна), учебного пособия издательства Народная асвета.