Номер 176, страница 280 - гдз по алгебре 9 класс учебник Арефьева, Пирютко

Алгебра, 9 класс Учебник, авторы: Арефьева Ирина Глебовна, Пирютко Ольга Николаевна, издательство Народная асвета, Минск, 2019, голубого цвета

Авторы: Арефьева И. Г., Пирютко О. Н.

Тип: Учебник

Издательство: Народная асвета

Год издания: 2019 - 2025

Цвет обложки: голубой, синий с графиком

ISBN: 978-985-03-3077-2

Допущено Министерством образования Республики Беларусь

Популярные ГДЗ в 9 классе

Итоговое повторение. Выражения и их преобразования - номер 176, страница 280.

№176 (с. 280)
Условие. №176 (с. 280)
скриншот условия
Алгебра, 9 класс Учебник, авторы: Арефьева Ирина Глебовна, Пирютко Ольга Николаевна, издательство Народная асвета, Минск, 2019, голубого цвета, страница 280, номер 176, Условие

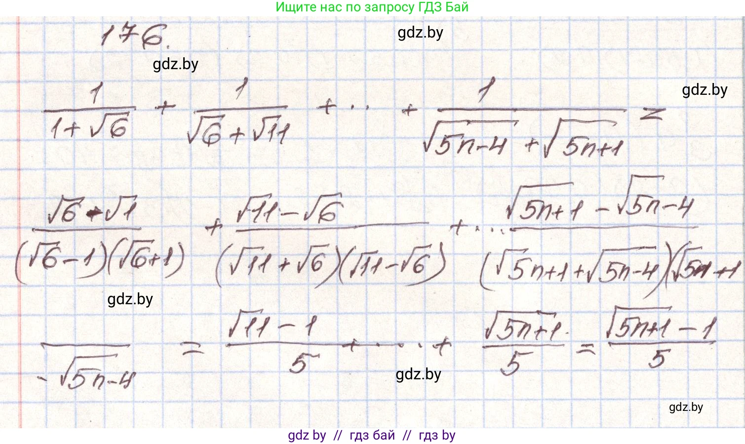
176*. Упростите выражение

$\frac{1}{1+\sqrt{6}} + \frac{1}{\sqrt{6}+\sqrt{11}} + \dots + \frac{1}{\sqrt{5n-4}+\sqrt{5n+1}}$

Решение. №176 (с. 280)
Алгебра, 9 класс Учебник, авторы: Арефьева Ирина Глебовна, Пирютко Ольга Николаевна, издательство Народная асвета, Минск, 2019, голубого цвета, страница 280, номер 176, Решение
Решение 2. №176 (с. 280)

Для упрощения данного выражения рассмотрим структуру его слагаемых. Числа под корнями в знаменателях (1, 6, 11, ...) образуют арифметическую прогрессию с первым членом $a_1 = 1$ и разностью $d = 5$.

Таким образом, общий член суммы можно представить в виде $ \frac{1}{\sqrt{5k-4} + \sqrt{5k+1}} $, где $k$ принимает целые значения от 1 до $n$.

Преобразуем каждое слагаемое, избавившись от иррациональности в знаменателе. Для этого умножим числитель и знаменатель на сопряженное к знаменателю выражение $ \sqrt{5k+1} - \sqrt{5k-4} $:

$ \frac{1}{\sqrt{5k-4} + \sqrt{5k+1}} = \frac{1 \cdot (\sqrt{5k+1} - \sqrt{5k-4})}{(\sqrt{5k+1} + \sqrt{5k-4})(\sqrt{5k+1} - \sqrt{5k-4})} = \frac{\sqrt{5k+1} - \sqrt{5k-4}}{(\sqrt{5k+1})^2 - (\sqrt{5k-4})^2} $

Упростим знаменатель, используя формулу разности квадратов $ (a-b)(a+b) = a^2 - b^2 $:

$ (5k+1) - (5k-4) = 5k+1 - 5k+4 = 5 $

Следовательно, каждый член суммы равен:

$ \frac{\sqrt{5k+1} - \sqrt{5k-4}}{5} $

Теперь исходная сумма $S$ может быть записана как:

$ S = \frac{\sqrt{6}-\sqrt{1}}{5} + \frac{\sqrt{11}-\sqrt{6}}{5} + \dots + \frac{\sqrt{5n+1}-\sqrt{5n-4}}{5} $

Вынесем общий множитель $ \frac{1}{5} $ за скобки:

$ S = \frac{1}{5} \left[ (\sqrt{6}-\sqrt{1}) + (\sqrt{11}-\sqrt{6}) + \dots + (\sqrt{5n+1}-\sqrt{5n-4}) \right] $

Эта сумма является телескопической, так как соседние слагаемые взаимно уничтожаются. После сокращения одинаковых членов с противоположными знаками (например, $ \sqrt{6} $ и $ -\sqrt{6} $, $ \sqrt{11} $ и $ -\sqrt{11} $, и так далее), в скобках останутся только два члена:

$ S = \frac{1}{5} ( -\sqrt{1} + \sqrt{5n+1} ) $

Учитывая, что $ \sqrt{1} = 1 $, получаем окончательный ответ:

Ответ: $ \frac{\sqrt{5n+1} - 1}{5} $

Помогло решение? Оставьте отзыв в комментариях ниже.

Присоединяйтесь к Телеграм-группе @gdz_by_belarus

Присоединиться

Мы подготовили для вас ответ c подробным объяснением домашего задания по алгебре за 9 класс, для упражнения номер 176 расположенного на странице 280 к учебнику 2019 года издания для учащихся школ и гимназий.

Теперь на нашем сайте ГДЗ.ТОП вы всегда легко и бесплатно найдёте условие с правильным ответом на вопрос «Как решить ДЗ» и «Как сделать» задание по алгебре к упражнению №176 (с. 280), авторов: Арефьева (Ирина Глебовна), Пирютко (Ольга Николаевна), учебного пособия издательства Народная асвета.