Номер 244, страница 292 - гдз по алгебре 9 класс учебник Арефьева, Пирютко

Алгебра, 9 класс Учебник, авторы: Арефьева Ирина Глебовна, Пирютко Ольга Николаевна, издательство Народная асвета, Минск, 2019, голубого цвета

Авторы: Арефьева И. Г., Пирютко О. Н.

Тип: Учебник

Издательство: Народная асвета

Год издания: 2019 - 2025

Цвет обложки: голубой, синий с графиком

ISBN: 978-985-03-3077-2

Допущено Министерством образования Республики Беларусь

Популярные ГДЗ в 9 классе

Итоговое повторение. Уравнения, неравенства, системы - номер 244, страница 292.

№244 (с. 292)
Условие. №244 (с. 292)
скриншот условия
Алгебра, 9 класс Учебник, авторы: Арефьева Ирина Глебовна, Пирютко Ольга Николаевна, издательство Народная асвета, Минск, 2019, голубого цвета, страница 292, номер 244, Условие

244. Решите уравнение:

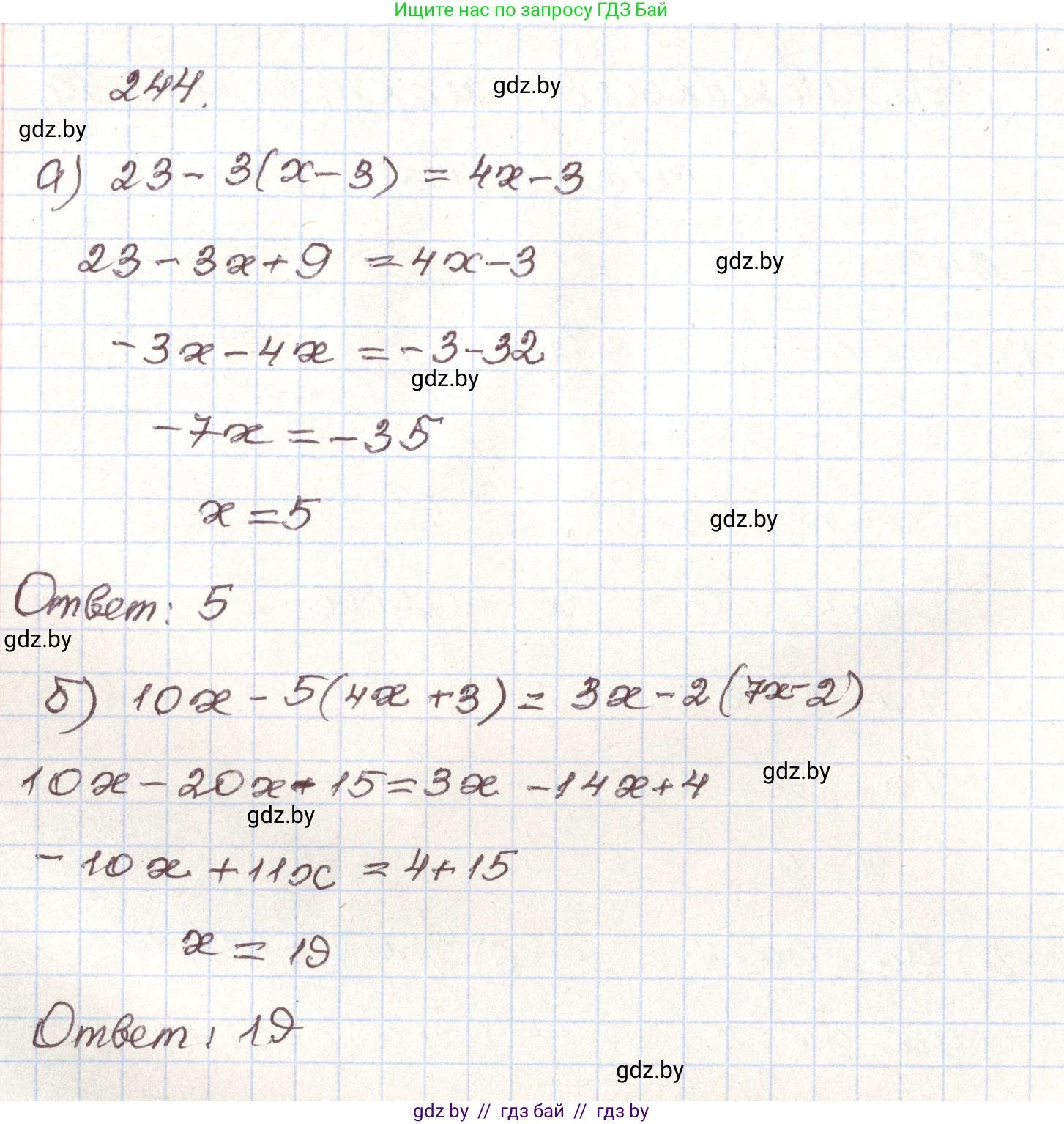
a) $23 - 3(x - 3) = 4x - 3;$

б) $10x - 5(4x + 3) = 3x - 2(7x - 2);$

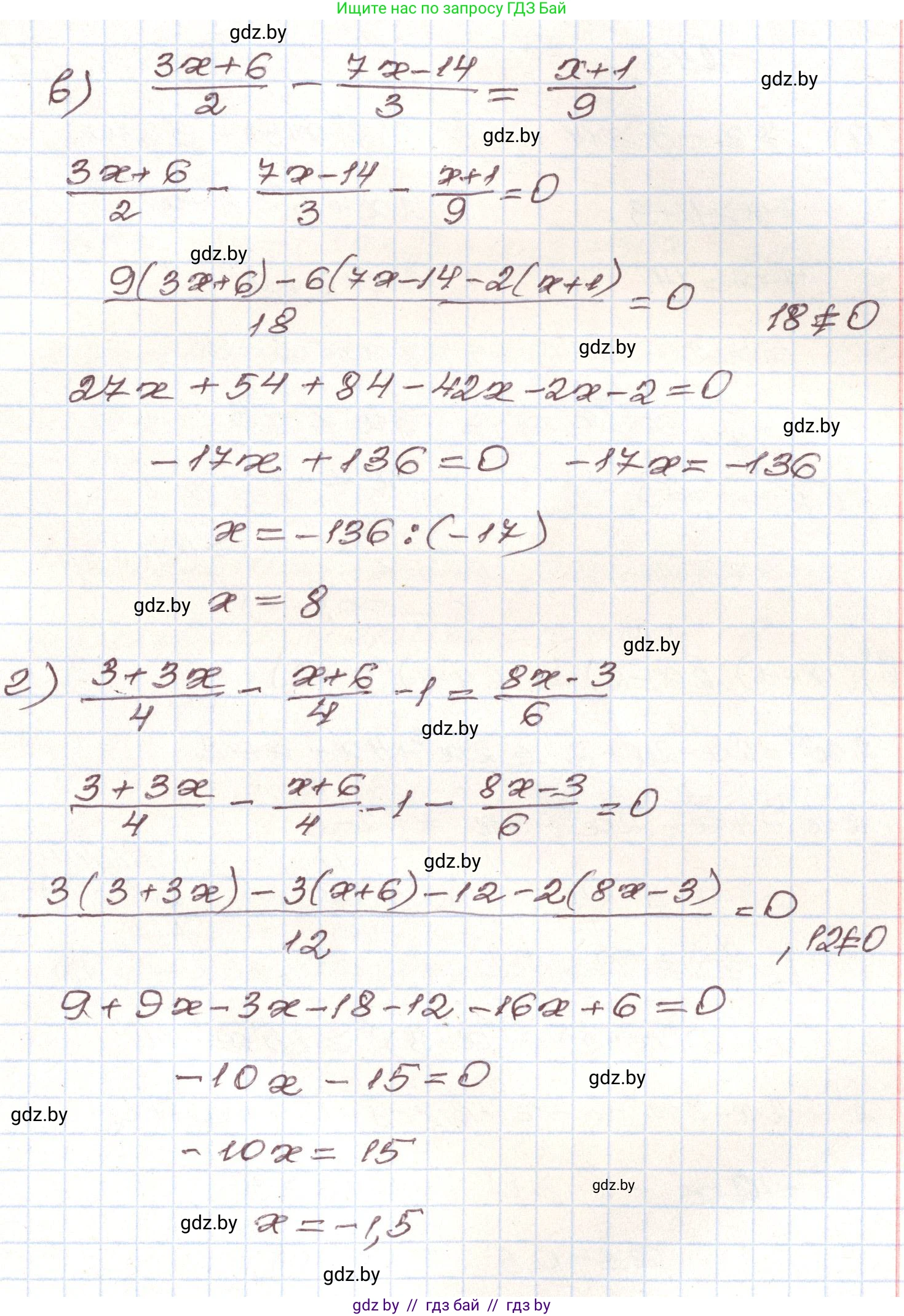
в) $\frac{3x+6}{2} - \frac{7x-14}{3} = \frac{x+1}{9};$

г) $\frac{3+3x}{4} - \frac{x+6}{4} - 1 = \frac{8x-3}{6}.$

Решение. №244 (с. 292)
Алгебра, 9 класс Учебник, авторы: Арефьева Ирина Глебовна, Пирютко Ольга Николаевна, издательство Народная асвета, Минск, 2019, голубого цвета, страница 292, номер 244, Решение Алгебра, 9 класс Учебник, авторы: Арефьева Ирина Глебовна, Пирютко Ольга Николаевна, издательство Народная асвета, Минск, 2019, голубого цвета, страница 292, номер 244, Решение (продолжение 2)
Решение 2. №244 (с. 292)

а) $23 - 3(x - 3) = 4x - 3$

Раскроем скобки в левой части уравнения:

$23 - 3x + 9 = 4x - 3$

Приведем подобные слагаемые в левой части:

$32 - 3x = 4x - 3$

Перенесем слагаемые с переменной $x$ в правую часть, а числовые слагаемые — в левую, чтобы коэффициенты при $x$ были положительными:

$32 + 3 = 4x + 3x$

Упростим обе части уравнения:

$35 = 7x$

Найдем $x$, разделив обе части на 7:

$x = \frac{35}{7}$

$x = 5$

Ответ: 5

б) $10x - 5(4x + 3) = 3x - 2(7x - 2)$

Раскроем скобки в обеих частях уравнения:

$10x - 20x - 15 = 3x - 14x + 4$

Приведем подобные слагаемые в каждой части уравнения:

$-10x - 15 = -11x + 4$

Перенесем слагаемые с переменной $x$ в левую часть, а числовые слагаемые — в правую:

$-10x + 11x = 4 + 15$

Упростим обе части уравнения:

$x = 19$

Ответ: 19

в) $\frac{3x + 6}{2} - \frac{7x - 14}{3} = \frac{x + 1}{9}$

Найдем наименьший общий знаменатель для дробей (2, 3, 9). Это число 18. Умножим обе части уравнения на 18, чтобы избавиться от знаменателей:

$18 \cdot \frac{3x + 6}{2} - 18 \cdot \frac{7x - 14}{3} = 18 \cdot \frac{x + 1}{9}$

Сократим дроби:

$9(3x + 6) - 6(7x - 14) = 2(x + 1)$

Раскроем скобки:

$27x + 54 - 42x + 84 = 2x + 2$

Приведем подобные слагаемые в левой части:

$-15x + 138 = 2x + 2$

Перенесем слагаемые с переменной $x$ в правую часть, а числовые — в левую:

$138 - 2 = 2x + 15x$

Упростим обе части уравнения:

$136 = 17x$

Найдем $x$:

$x = \frac{136}{17}$

$x = 8$

Ответ: 8

г) $\frac{3 + 3x}{4} - \frac{x + 6}{4} - 1 = \frac{8x - 3}{6}$

Объединим дроби в левой части, так как у них общий знаменатель:

$\frac{3 + 3x - (x + 6)}{4} - 1 = \frac{8x - 3}{6}$

Раскроем скобки в числителе:

$\frac{3 + 3x - x - 6}{4} - 1 = \frac{8x - 3}{6}$

Приведем подобные слагаемые в числителе и представим 1 как $\frac{4}{4}$:

$\frac{2x - 3}{4} - \frac{4}{4} = \frac{8x - 3}{6}$

$\frac{2x - 3 - 4}{4} = \frac{8x - 3}{6}$

$\frac{2x - 7}{4} = \frac{8x - 3}{6}$

Умножим обе части уравнения на наименьший общий знаменатель (12):

$12 \cdot \frac{2x - 7}{4} = 12 \cdot \frac{8x - 3}{6}$

$3(2x - 7) = 2(8x - 3)$

Раскроем скобки:

$6x - 21 = 16x - 6$

Перенесем слагаемые с переменной $x$ в правую часть, а числовые — в левую:

$-21 + 6 = 16x - 6x$

$-15 = 10x$

Найдем $x$:

$x = -\frac{15}{10}$

Сократим дробь на 5:

$x = -\frac{3}{2}$

Преобразуем неправильную дробь в смешанное число:

$x = -1\frac{1}{2}$

Ответ: -1 $\frac{1}{2}$

Помогло решение? Оставьте отзыв в комментариях ниже.

Присоединяйтесь к Телеграм-группе @gdz_by_belarus

Присоединиться

Мы подготовили для вас ответ c подробным объяснением домашего задания по алгебре за 9 класс, для упражнения номер 244 расположенного на странице 292 к учебнику 2019 года издания для учащихся школ и гимназий.

Теперь на нашем сайте ГДЗ.ТОП вы всегда легко и бесплатно найдёте условие с правильным ответом на вопрос «Как решить ДЗ» и «Как сделать» задание по алгебре к упражнению №244 (с. 292), авторов: Арефьева (Ирина Глебовна), Пирютко (Ольга Николаевна), учебного пособия издательства Народная асвета.