Номер 250, страница 293 - гдз по алгебре 9 класс учебник Арефьева, Пирютко

Алгебра, 9 класс Учебник, авторы: Арефьева Ирина Глебовна, Пирютко Ольга Николаевна, издательство Народная асвета, Минск, 2019, голубого цвета

Авторы: Арефьева И. Г., Пирютко О. Н.

Тип: Учебник

Издательство: Народная асвета

Год издания: 2019 - 2025

Цвет обложки: голубой, синий с графиком

ISBN: 978-985-03-3077-2

Допущено Министерством образования Республики Беларусь

Популярные ГДЗ в 9 классе

Итоговое повторение. Уравнения, неравенства, системы - номер 250, страница 293.

№250 (с. 293)
Условие. №250 (с. 293)
скриншот условия
Алгебра, 9 класс Учебник, авторы: Арефьева Ирина Глебовна, Пирютко Ольга Николаевна, издательство Народная асвета, Минск, 2019, голубого цвета, страница 293, номер 250, Условие

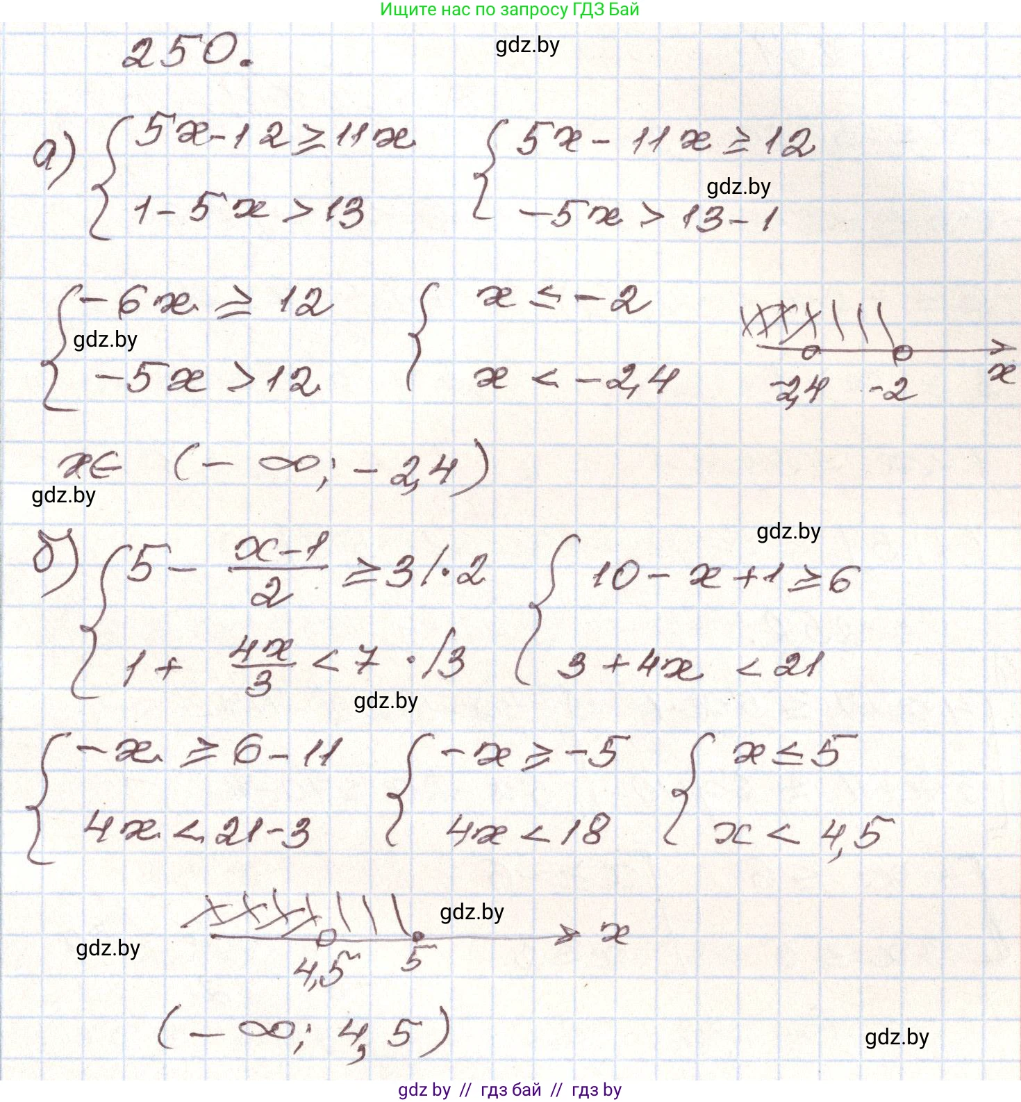
250. Решите систему неравенств:

a) $\begin{cases} 5x - 12 \ge 11x, \\ 1 - 5x > 13; \end{cases}$

б) $\begin{cases} 5 - \frac{x-1}{2} \ge 3, \\ 1 + \frac{4x}{3} < 7. \end{cases}$

Решение. №250 (с. 293)
Алгебра, 9 класс Учебник, авторы: Арефьева Ирина Глебовна, Пирютко Ольга Николаевна, издательство Народная асвета, Минск, 2019, голубого цвета, страница 293, номер 250, Решение
Решение 2. №250 (с. 293)

a) Решим систему неравенств:

$$ \begin{cases} 5x - 12 \ge 11x, \\ 1 - 5x > 13; \end{cases} $$

Сначала решим первое неравенство:

$5x - 12 \ge 11x$

Перенесем слагаемые с переменной $x$ в одну сторону, а свободные члены в другую:

$5x - 11x \ge 12$

$-6x \ge 12$

Разделим обе части неравенства на -6. Важно помнить, что при делении на отрицательное число знак неравенства меняется на противоположный:

$x \le \frac{12}{-6}$

$x \le -2$

Теперь решим второе неравенство:

$1 - 5x > 13$

Перенесем 1 в правую часть неравенства:

$-5x > 13 - 1$

$-5x > 12$

Разделим обе части на -5, снова меняя знак неравенства на противоположный:

$x < \frac{12}{-5}$

$x < -\frac{12}{5}$

Теперь необходимо найти пересечение полученных решений: $x \le -2$ и $x < -\frac{12}{5}$.

Для удобства сравнения представим дробь $-\frac{12}{5}$ в виде десятичной: $-\frac{12}{5} = -2.4$.

Таким образом, мы ищем решение для системы $x \le -2$ и $x < -2.4$.

Общим решением для этих двух условий является $x < -2.4$, так как любое число, меньшее -2.4, автоматически меньше или равно -2. В виде дроби это записывается как $x < -\frac{12}{5}$.

Представим неправильную дробь в виде смешанного числа: $-\frac{12}{5} = -2\frac{2}{5}$.

Ответ: $(-\infty; -2\frac{2}{5})$

б) Решим систему неравенств:

$$ \begin{cases} 5 - \frac{x-1}{2} \ge 3, \\ 1 + \frac{4x}{3} < 7. \end{cases} $$

Решим первое неравенство:

$5 - \frac{x-1}{2} \ge 3$

Для избавления от знаменателя умножим все члены неравенства на 2:

$2 \cdot 5 - 2 \cdot \frac{x-1}{2} \ge 2 \cdot 3$

$10 - (x-1) \ge 6$

Раскроем скобки. Обратите внимание на смену знака перед 1:

$10 - x + 1 \ge 6$

$11 - x \ge 6$

$-x \ge 6 - 11$

$-x \ge -5$

Умножим обе части на -1 и поменяем знак неравенства на противоположный:

$x \le 5$

Решим второе неравенство:

$1 + \frac{4x}{3} < 7$

$\frac{4x}{3} < 7 - 1$

$\frac{4x}{3} < 6$

Умножим обе части на 3:

$4x < 18$

Разделим на 4:

$x < \frac{18}{4}$

Сократим дробь:

$x < \frac{9}{2}$

Найдем пересечение решений: $x \le 5$ и $x < \frac{9}{2}$.

Преобразуем дробь $\frac{9}{2}$ в десятичную: $\frac{9}{2} = 4.5$.

Ищем пересечение для $x \le 5$ и $x < 4.5$.

Общим решением является $x < 4.5$, так как это множество полностью входит в множество $x \le 5$. В виде дроби это $x < \frac{9}{2}$.

Представим неправильную дробь в виде смешанного числа: $\frac{9}{2} = 4\frac{1}{2}$.

Ответ: $(-\infty; 4\frac{1}{2})$

Помогло решение? Оставьте отзыв в комментариях ниже.

Присоединяйтесь к Телеграм-группе @gdz_by_belarus

Присоединиться

Мы подготовили для вас ответ c подробным объяснением домашего задания по алгебре за 9 класс, для упражнения номер 250 расположенного на странице 293 к учебнику 2019 года издания для учащихся школ и гимназий.

Теперь на нашем сайте ГДЗ.ТОП вы всегда легко и бесплатно найдёте условие с правильным ответом на вопрос «Как решить ДЗ» и «Как сделать» задание по алгебре к упражнению №250 (с. 293), авторов: Арефьева (Ирина Глебовна), Пирютко (Ольга Николаевна), учебного пособия издательства Народная асвета.