Номер 256, страница 293 - гдз по алгебре 9 класс учебник Арефьева, Пирютко

Алгебра, 9 класс Учебник, авторы: Арефьева Ирина Глебовна, Пирютко Ольга Николаевна, издательство Народная асвета, Минск, 2019, голубого цвета

Авторы: Арефьева И. Г., Пирютко О. Н.

Тип: Учебник

Издательство: Народная асвета

Год издания: 2019 - 2025

Цвет обложки: голубой, синий с графиком

ISBN: 978-985-03-3077-2

Допущено Министерством образования Республики Беларусь

Популярные ГДЗ в 9 классе

Итоговое повторение. Уравнения, неравенства, системы - номер 256, страница 293.

№256 (с. 293)
Условие. №256 (с. 293)
скриншот условия
Алгебра, 9 класс Учебник, авторы: Арефьева Ирина Глебовна, Пирютко Ольга Николаевна, издательство Народная асвета, Минск, 2019, голубого цвета, страница 293, номер 256, Условие

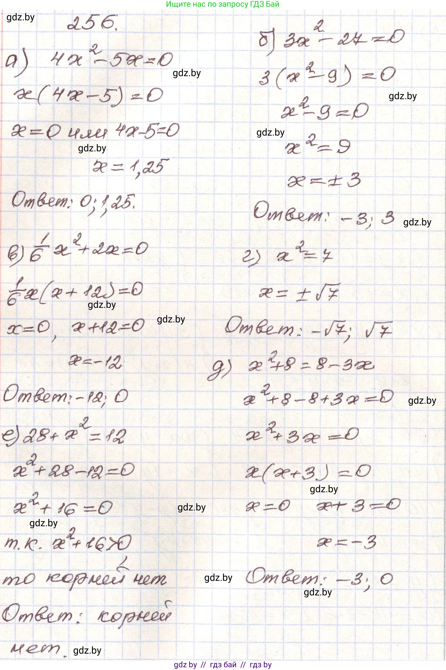
256. Решите неполное квадратное уравнение:

а) $4x^2 - 5x = 0$;

б) $3x^2 - 27 = 0$;

в) $\frac{1}{6}x^2 + 2x = 0$;

г) $x^2 = 7$;

д) $x^2 + 8 = 8 - 3x$;

е) $28 + x^2 = 12$.

Решение. №256 (с. 293)
Алгебра, 9 класс Учебник, авторы: Арефьева Ирина Глебовна, Пирютко Ольга Николаевна, издательство Народная асвета, Минск, 2019, голубого цвета, страница 293, номер 256, Решение
Решение 2. №256 (с. 293)

а) $4x^2 - 5x = 0$

Это неполное квадратное уравнение, в котором отсутствует свободный член ($c=0$). Для его решения вынесем общий множитель $x$ за скобки:

$x(4x - 5) = 0$

Произведение равно нулю тогда и только тогда, когда хотя бы один из множителей равен нулю. Следовательно, у нас есть два случая:

1) $x_1 = 0$

2) $4x - 5 = 0$

$4x = 5$

$x_2 = \frac{5}{4}$

Преобразуем неправильную дробь в смешанное число:

$x_2 = 1\frac{1}{4}$

Ответ: $x_1 = 0, x_2 = \textbf{1}\frac{1}{4}$.

б) $3x^2 - 27 = 0$

Это неполное квадратное уравнение, в котором отсутствует член с первой степенью переменной ($b=0$). Для решения перенесем свободный член в правую часть уравнения и разделим на коэффициент при $x^2$:

$3x^2 = 27$

$x^2 = \frac{27}{3}$

$x^2 = 9$

Теперь извлечем квадратный корень из обеих частей уравнения:

$x = \pm\sqrt{9}$

$x_1 = 3, x_2 = -3$

Ответ: $x = \pm3$.

в) $\frac{1}{6}x^2 + 2x = 0$

Это неполное квадратное уравнение ($c=0$). Вынесем общий множитель $x$ за скобки:

$x(\frac{1}{6}x + 2) = 0$

Приравниваем каждый множитель к нулю:

1) $x_1 = 0$

2) $\frac{1}{6}x + 2 = 0$

$\frac{1}{6}x = -2$

Умножим обе части уравнения на 6, чтобы избавиться от дроби:

$x_2 = -12$

Ответ: $x_1 = 0, x_2 = -12$.

г) $x^2 = 7$

Это простейшее неполное квадратное уравнение. Чтобы найти $x$, извлечем квадратный корень из обеих частей уравнения:

$x = \pm\sqrt{7}$

Ответ: $x = \pm\sqrt{7}$.

д) $x^2 + 8 = 8 - 3x$

Сначала приведем уравнение к стандартному виду, перенеся все члены в левую часть:

$x^2 + 3x + 8 - 8 = 0$

Свободные члены взаимно уничтожаются:

$x^2 + 3x = 0$

Получили неполное квадратное уравнение. Вынесем $x$ за скобки:

$x(x + 3) = 0$

Приравниваем каждый множитель к нулю:

1) $x_1 = 0$

2) $x + 3 = 0 \implies x_2 = -3$

Ответ: $x_1 = 0, x_2 = -3$.

е) $28 + x^2 = 12$

Приведем уравнение к виду $x^2 = a$. Для этого перенесем 28 в правую часть:

$x^2 = 12 - 28$

$x^2 = -16$

Квадрат любого действительного числа не может быть отрицательным. Поскольку правая часть уравнения отрицательна, данное уравнение не имеет решений в множестве действительных чисел.

Ответ: корней нет.

Помогло решение? Оставьте отзыв в комментариях ниже.

Присоединяйтесь к Телеграм-группе @gdz_by_belarus

Присоединиться

Мы подготовили для вас ответ c подробным объяснением домашего задания по алгебре за 9 класс, для упражнения номер 256 расположенного на странице 293 к учебнику 2019 года издания для учащихся школ и гимназий.

Теперь на нашем сайте ГДЗ.ТОП вы всегда легко и бесплатно найдёте условие с правильным ответом на вопрос «Как решить ДЗ» и «Как сделать» задание по алгебре к упражнению №256 (с. 293), авторов: Арефьева (Ирина Глебовна), Пирютко (Ольга Николаевна), учебного пособия издательства Народная асвета.