Номер 260, страница 294 - гдз по алгебре 9 класс учебник Арефьева, Пирютко

Алгебра, 9 класс Учебник, авторы: Арефьева Ирина Глебовна, Пирютко Ольга Николаевна, издательство Народная асвета, Минск, 2019, голубого цвета

Авторы: Арефьева И. Г., Пирютко О. Н.

Тип: Учебник

Издательство: Народная асвета

Год издания: 2019 - 2025

Цвет обложки: голубой, синий с графиком

ISBN: 978-985-03-3077-2

Допущено Министерством образования Республики Беларусь

Популярные ГДЗ в 9 классе

Итоговое повторение. Уравнения, неравенства, системы - номер 260, страница 294.

№260 (с. 294)
Условие. №260 (с. 294)
скриншот условия
Алгебра, 9 класс Учебник, авторы: Арефьева Ирина Глебовна, Пирютко Ольга Николаевна, издательство Народная асвета, Минск, 2019, голубого цвета, страница 294, номер 260, Условие

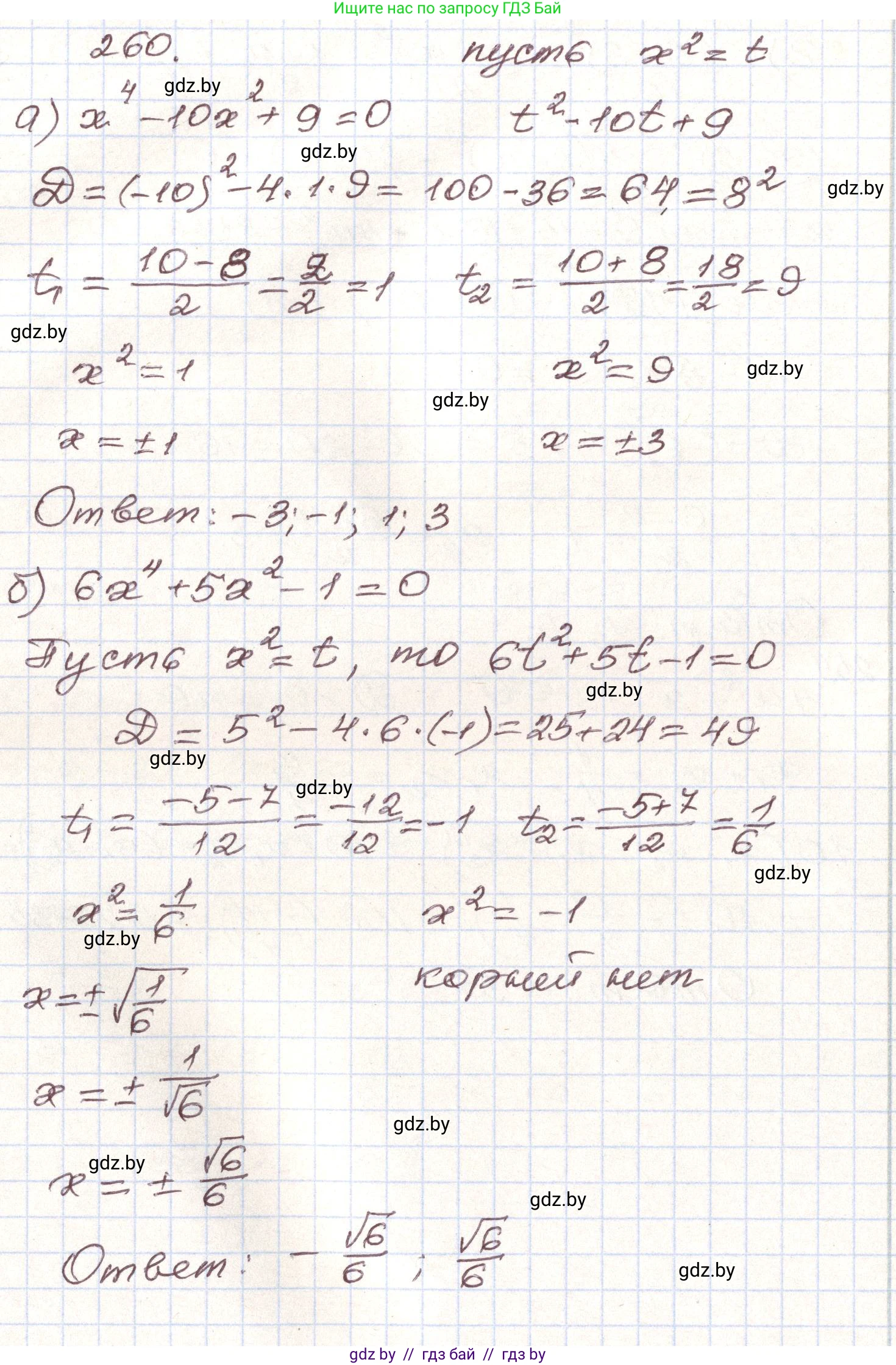
260. Решите биквадратное уравнение:

a) $x^4 - 10x^2 + 9 = 0;$

б) $6x^4 + 5x^2 - 1 = 0.$

Решение. №260 (с. 294)
Алгебра, 9 класс Учебник, авторы: Арефьева Ирина Глебовна, Пирютко Ольга Николаевна, издательство Народная асвета, Минск, 2019, голубого цвета, страница 294, номер 260, Решение
Решение 2. №260 (с. 294)

Биквадратное уравнение — это уравнение вида $ax^4 + bx^2 + c = 0$. Для его решения используется метод замены переменной. Пусть $y = x^2$, тогда $y^2 = x^4$. При этом необходимо учитывать, что $y \ge 0$, так как квадрат любого действительного числа неотрицателен.

а) $x^4 - 10x^2 + 9 = 0$

Введем замену переменной: пусть $y = x^2$. Так как $x^2 \ge 0$, то и $y \ge 0$.

Уравнение примет вид квадратного уравнения относительно $y$:

$y^2 - 10y + 9 = 0$

Решим это квадратное уравнение. Найдем дискриминант:

$D = b^2 - 4ac = (-10)^2 - 4 \cdot 1 \cdot 9 = 100 - 36 = 64$

Так как $D > 0$, уравнение имеет два различных корня:

$y_1 = \frac{-b - \sqrt{D}}{2a} = \frac{10 - \sqrt{64}}{2 \cdot 1} = \frac{10 - 8}{2} = \frac{2}{2} = 1$

$y_2 = \frac{-b + \sqrt{D}}{2a} = \frac{10 + \sqrt{64}}{2 \cdot 1} = \frac{10 + 8}{2} = \frac{18}{2} = 9$

Оба корня ($y_1 = 1$ и $y_2 = 9$) удовлетворяют условию $y \ge 0$.

Теперь вернемся к исходной переменной $x$, выполнив обратную замену.

1. При $y = 1$, получаем $x^2 = 1$, откуда $x_{1,2} = \pm 1$.

2. При $y = 9$, получаем $x^2 = 9$, откуда $x_{3,4} = \pm 3$.

Таким образом, исходное биквадратное уравнение имеет четыре корня.

Ответ: -3; -1; 1; 3.

б) $6x^4 + 5x^2 - 1 = 0$

Аналогично пункту а), введем замену $y = x^2$, где $y \ge 0$.

Получаем квадратное уравнение:

$6y^2 + 5y - 1 = 0$

Найдем дискриминант:

$D = b^2 - 4ac = 5^2 - 4 \cdot 6 \cdot (-1) = 25 + 24 = 49$

Корни уравнения для $y$:

$y_1 = \frac{-b - \sqrt{D}}{2a} = \frac{-5 - \sqrt{49}}{2 \cdot 6} = \frac{-5 - 7}{12} = \frac{-12}{12} = -1$

$y_2 = \frac{-b + \sqrt{D}}{2a} = \frac{-5 + \sqrt{49}}{2 \cdot 6} = \frac{-5 + 7}{12} = \frac{2}{12} = \frac{1}{6}$

Проверим условие $y \ge 0$.

Корень $y_1 = -1$ не удовлетворяет условию $y \ge 0$, так как квадрат действительного числа не может быть отрицательным. Этот корень является посторонним.

Корень $y_2 = \frac{1}{6}$ удовлетворяет условию $y \ge 0$.

Выполним обратную замену для $y_2$:

$x^2 = \frac{1}{6}$

Отсюда находим корни для $x$:

$x = \pm \sqrt{\frac{1}{6}} = \pm \frac{\sqrt{6}}{6}$

Ответ: $\pm \frac{\sqrt{6}}{6}$.

Помогло решение? Оставьте отзыв в комментариях ниже.

Присоединяйтесь к Телеграм-группе @gdz_by_belarus

Присоединиться

Мы подготовили для вас ответ c подробным объяснением домашего задания по алгебре за 9 класс, для упражнения номер 260 расположенного на странице 294 к учебнику 2019 года издания для учащихся школ и гимназий.

Теперь на нашем сайте ГДЗ.ТОП вы всегда легко и бесплатно найдёте условие с правильным ответом на вопрос «Как решить ДЗ» и «Как сделать» задание по алгебре к упражнению №260 (с. 294), авторов: Арефьева (Ирина Глебовна), Пирютко (Ольга Николаевна), учебного пособия издательства Народная асвета.