Номер 253, страница 293 - гдз по алгебре 9 класс учебник Арефьева, Пирютко

Алгебра, 9 класс Учебник, авторы: Арефьева Ирина Глебовна, Пирютко Ольга Николаевна, издательство Народная асвета, Минск, 2019, голубого цвета

Авторы: Арефьева И. Г., Пирютко О. Н.

Тип: Учебник

Издательство: Народная асвета

Год издания: 2019 - 2025

Цвет обложки: голубой, синий с графиком

ISBN: 978-985-03-3077-2

Допущено Министерством образования Республики Беларусь

Популярные ГДЗ в 9 классе

Итоговое повторение. Уравнения, неравенства, системы - номер 253, страница 293.

№253 (с. 293)
Условие. №253 (с. 293)
скриншот условия
Алгебра, 9 класс Учебник, авторы: Арефьева Ирина Глебовна, Пирютко Ольга Николаевна, издательство Народная асвета, Минск, 2019, голубого цвета, страница 293, номер 253, Условие

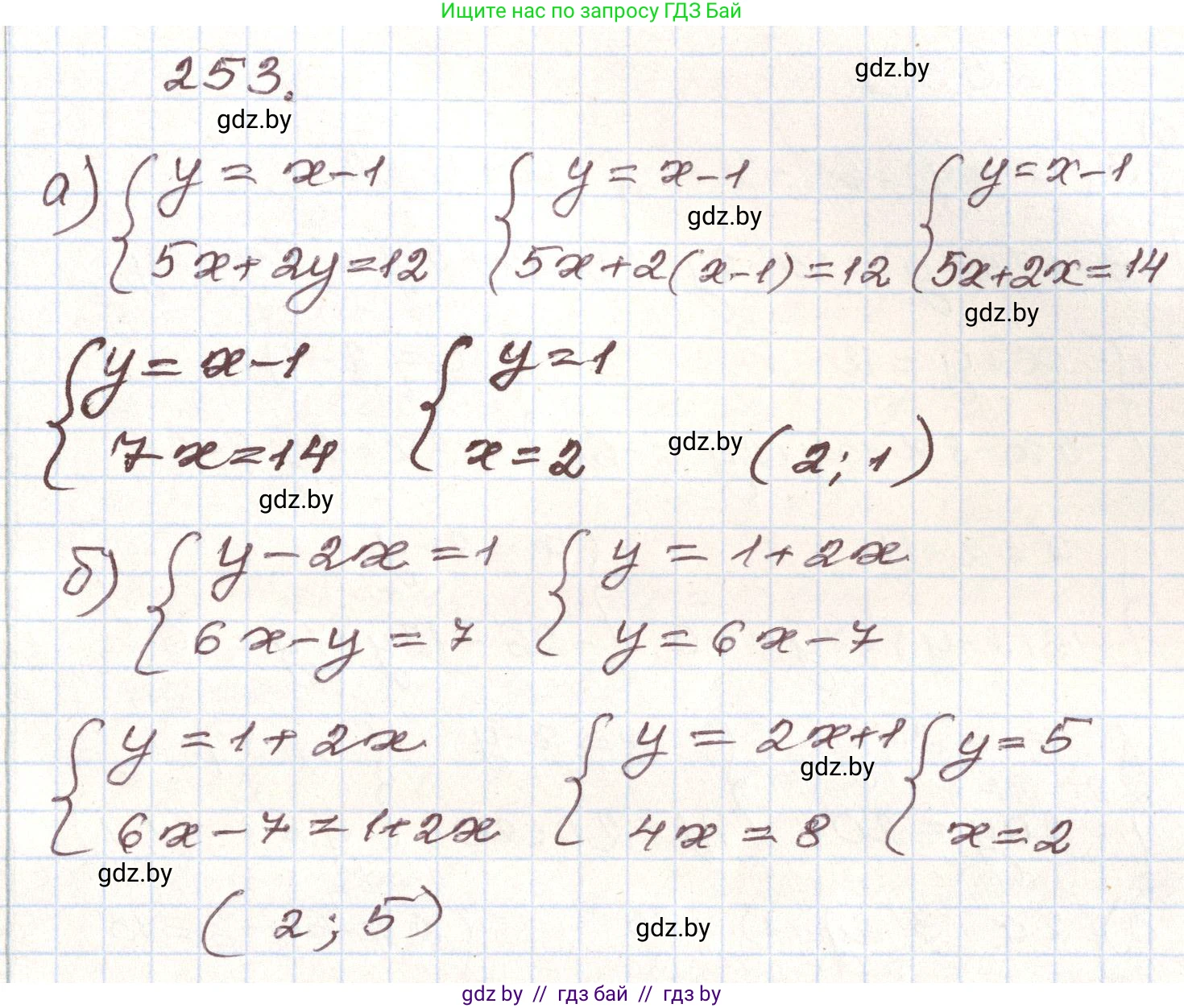
253. Решите систему уравнений способом подстановки:

a) $$\begin{cases} y = x - 1, \\ 5x + 2y = 12; \end{cases}$$

б) $$\begin{cases} y - 2x = 1, \\ 6x - y = 7. \end{cases}$$

Решение. №253 (с. 293)
Алгебра, 9 класс Учебник, авторы: Арефьева Ирина Глебовна, Пирютко Ольга Николаевна, издательство Народная асвета, Минск, 2019, голубого цвета, страница 293, номер 253, Решение
Решение 2. №253 (с. 293)

а) Дана система уравнений: $$ \begin{cases} y = x - 1 \\ 5x + 2y = 12 \end{cases} $$ Метод подстановки заключается в том, чтобы выразить одну переменную через другую из одного уравнения и подставить это выражение в другое уравнение. В данной системе в первом уравнении $y$ уже выражен через $x$.
Подставим выражение $y = x - 1$ во второе уравнение системы:
$5x + 2(x - 1) = 12$
Раскроем скобки и приведем подобные слагаемые, чтобы решить уравнение относительно $x$:
$5x + 2x - 2 = 12$
$7x = 12 + 2$
$7x = 14$
$x = \frac{14}{7}$
$x = 2$
Теперь, зная значение $x$, найдем соответствующее значение $y$, подставив $x = 2$ в первое уравнение ($y = x - 1$):
$y = 2 - 1$
$y = 1$
Таким образом, решение системы — пара чисел $(2; 1)$.
Ответ: $(2; 1)$

б) Дана система уравнений: $$ \begin{cases} y - 2x = 1 \\ 6x - y = 7 \end{cases} $$ Сначала выразим одну из переменных. Удобнее всего выразить $y$ из первого уравнения:
$y = 1 + 2x$
Теперь подставим полученное выражение для $y$ во второе уравнение системы:
$6x - (1 + 2x) = 7$
Раскроем скобки. Обратите внимание на знак минус перед скобкой:
$6x - 1 - 2x = 7$
Приведем подобные слагаемые и решим уравнение:
$4x = 7 + 1$
$4x = 8$
$x = \frac{8}{4}$
$x = 2$
Найдем значение $y$, подставив $x = 2$ в выражение, которое мы получили ранее ($y = 1 + 2x$):
$y = 1 + 2(2)$
$y = 1 + 4$
$y = 5$
Таким образом, решение системы — пара чисел $(2; 5)$.
Ответ: $(2; 5)$

Помогло решение? Оставьте отзыв в комментариях ниже.

Присоединяйтесь к Телеграм-группе @gdz_by_belarus

Присоединиться

Мы подготовили для вас ответ c подробным объяснением домашего задания по алгебре за 9 класс, для упражнения номер 253 расположенного на странице 293 к учебнику 2019 года издания для учащихся школ и гимназий.

Теперь на нашем сайте ГДЗ.ТОП вы всегда легко и бесплатно найдёте условие с правильным ответом на вопрос «Как решить ДЗ» и «Как сделать» задание по алгебре к упражнению №253 (с. 293), авторов: Арефьева (Ирина Глебовна), Пирютко (Ольга Николаевна), учебного пособия издательства Народная асвета.