Номер 252, страница 293 - гдз по алгебре 9 класс учебник Арефьева, Пирютко

Алгебра, 9 класс Учебник, авторы: Арефьева Ирина Глебовна, Пирютко Ольга Николаевна, издательство Народная асвета, Минск, 2019, голубого цвета

Авторы: Арефьева И. Г., Пирютко О. Н.

Тип: Учебник

Издательство: Народная асвета

Год издания: 2019 - 2025

Цвет обложки: голубой, синий с графиком

ISBN: 978-985-03-3077-2

Допущено Министерством образования Республики Беларусь

Популярные ГДЗ в 9 классе

Итоговое повторение. Уравнения, неравенства, системы - номер 252, страница 293.

№252 (с. 293)
Условие. №252 (с. 293)
скриншот условия
Алгебра, 9 класс Учебник, авторы: Арефьева Ирина Глебовна, Пирютко Ольга Николаевна, издательство Народная асвета, Минск, 2019, голубого цвета, страница 293, номер 252, Условие

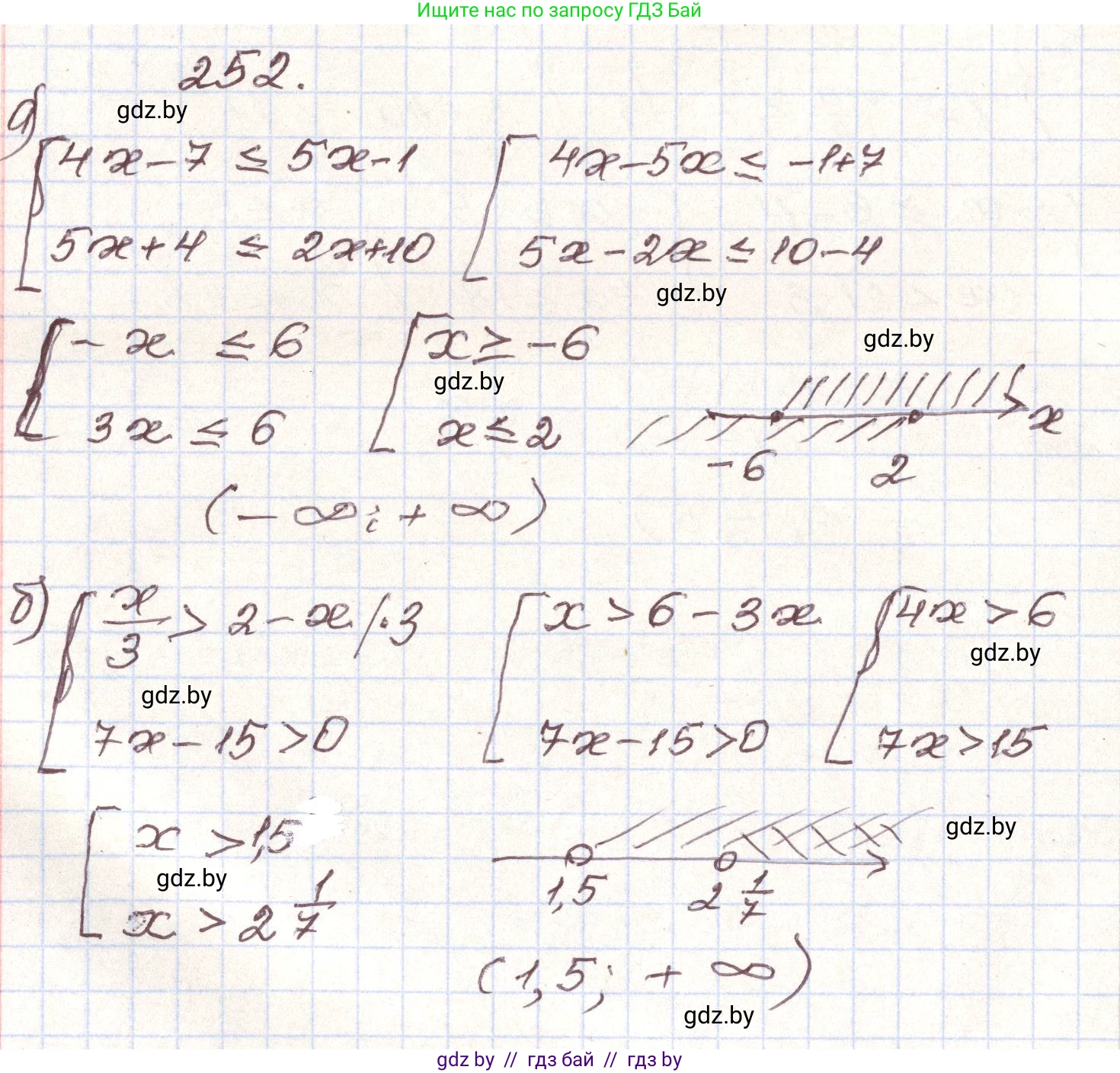
252. Решите совокупность неравенств:

a) $\begin{cases} 4x - 7 \le 5x - 1, \\ 5x + 4 \le 2x + 10; \end{cases}$

б) $\begin{cases} \frac{x}{3} > 2 - x, \\ 7x - 15 > 0. \end{cases}$

Решение. №252 (с. 293)
Алгебра, 9 класс Учебник, авторы: Арефьева Ирина Глебовна, Пирютко Ольга Николаевна, издательство Народная асвета, Минск, 2019, голубого цвета, страница 293, номер 252, Решение
Решение 2. №252 (с. 293)

а) Совокупность неравенств означает, что нужно найти все значения $x$, которые удовлетворяют хотя бы одному из неравенств. Решим каждое неравенство по отдельности.

1. Решаем первое неравенство:

$4x - 7 \le 5x - 1$

Переносим члены с $x$ в одну сторону, а свободные члены в другую:

$-7 + 1 \le 5x - 4x$

$-6 \le x$

Решение первого неравенства: $x \ge -6$. На числовой оси это промежуток $[-6, +\infty)$.

2. Решаем второе неравенство:

$5x + 4 \le 2x + 10$

Переносим члены с $x$ в одну сторону, а свободные члены в другую:

$5x - 2x \le 10 - 4$

$3x \le 6$

$x \le \frac{6}{3}$

$x \le 2$

Решение второго неравенства: $x \le 2$. На числовой оси это промежуток $(-\infty, 2]$.

3. Находим объединение решений.

Решением совокупности является объединение промежутков $[-6, +\infty)$ и $(-\infty, 2]$.

$[-6, +\infty) \cup (-\infty, 2] = (-\infty, +\infty)$

Объединение этих двух множеств покрывает всю числовую прямую. Таким образом, решением является любое действительное число.

Ответ: $x \in (-\infty; +\infty)$.

б) Решим каждое неравенство совокупности по отдельности.

1. Решаем первое неравенство:

$\frac{x}{3} > 2 - x$

Умножим обе части неравенства на 3:

$x > 3(2-x)$

$x > 6 - 3x$

$x + 3x > 6$

$4x > 6$

$x > \frac{6}{4}$

$x > \frac{3}{2}$

Решение первого неравенства: $x > \frac{3}{2}$.

2. Решаем второе неравенство:

$7x - 15 > 0$

$7x > 15$

$x > \frac{15}{7}$

Решение второго неравенства: $x > \frac{15}{7}$.

3. Находим объединение решений.

Решением совокупности является объединение решений $x > \frac{3}{2}$ и $x > \frac{15}{7}$.

Сравним дроби $\frac{3}{2}$ и $\frac{15}{7}$:

$\frac{3}{2} = 1.5$

$\frac{15}{7} = 2\frac{1}{7} \approx 2.142$

Так как $\frac{3}{2} < \frac{15}{7}$, то множество решений $x > \frac{3}{2}$ включает в себя множество решений $x > \frac{15}{7}$. Объединением этих двух множеств будет большее из них.

Таким образом, решение совокупности: $x > \frac{3}{2}$.

Преобразуем неправильную дробь $\frac{3}{2}$ в смешанное число, выделив целую часть:

$\frac{3}{2} = 1\frac{1}{2}$

Ответ: $x > \mathbf{1}\frac{1}{2}$.

Помогло решение? Оставьте отзыв в комментариях ниже.

Присоединяйтесь к Телеграм-группе @gdz_by_belarus

Присоединиться

Мы подготовили для вас ответ c подробным объяснением домашего задания по алгебре за 9 класс, для упражнения номер 252 расположенного на странице 293 к учебнику 2019 года издания для учащихся школ и гимназий.

Теперь на нашем сайте ГДЗ.ТОП вы всегда легко и бесплатно найдёте условие с правильным ответом на вопрос «Как решить ДЗ» и «Как сделать» задание по алгебре к упражнению №252 (с. 293), авторов: Арефьева (Ирина Глебовна), Пирютко (Ольга Николаевна), учебного пособия издательства Народная асвета.