Номер 291, страница 297 - гдз по алгебре 9 класс учебник Арефьева, Пирютко

Алгебра, 9 класс Учебник, авторы: Арефьева Ирина Глебовна, Пирютко Ольга Николаевна, издательство Народная асвета, Минск, 2019, голубого цвета

Авторы: Арефьева И. Г., Пирютко О. Н.

Тип: Учебник

Издательство: Народная асвета

Год издания: 2019 - 2025

Цвет обложки: голубой, синий с графиком

ISBN: 978-985-03-3077-2

Допущено Министерством образования Республики Беларусь

Популярные ГДЗ в 9 классе

Итоговое повторение. Уравнения, неравенства, системы - номер 291, страница 297.

№291 (с. 297)
Условие. №291 (с. 297)
скриншот условия
Алгебра, 9 класс Учебник, авторы: Арефьева Ирина Глебовна, Пирютко Ольга Николаевна, издательство Народная асвета, Минск, 2019, голубого цвета, страница 297, номер 291, Условие

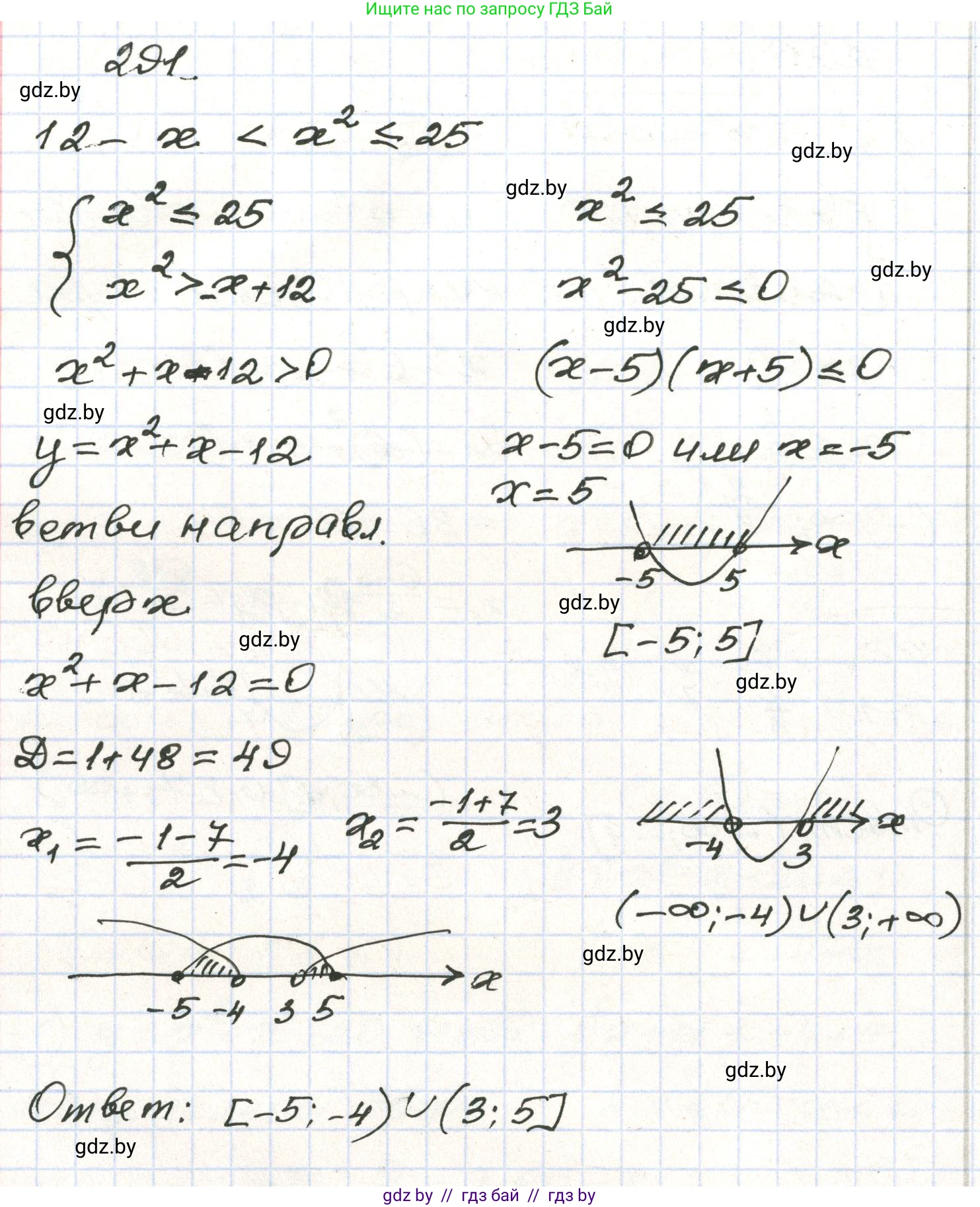
291. Решите двойное неравенство $12 - x < x^2 \leq 25$.

Решение. №291 (с. 297)
Алгебра, 9 класс Учебник, авторы: Арефьева Ирина Глебовна, Пирютко Ольга Николаевна, издательство Народная асвета, Минск, 2019, голубого цвета, страница 297, номер 291, Решение
Решение 2. №291 (с. 297)

Данное двойное неравенство $12 - x < x^2 \le 25$ равносильно системе из двух неравенств, которые должны выполняться одновременно:

$$\begin{cases}x^2 \le 25 \\12 - x < x^2\end{cases}$$

Решим каждое неравенство по отдельности, а затем найдем пересечение их решений.

1. Решение первого неравенства: $x^2 \le 25$

Это неравенство можно переписать в виде $x^2 - 25 \le 0$.

Левая часть раскладывается на множители по формуле разности квадратов: $(x-5)(x+5) \le 0$.

Найдем нули функции $y=(x-5)(x+5)$. Это $x=-5$ и $x=5$.

Графиком функции является парабола с ветвями, направленными вверх. Неравенство $\le 0$ выполняется на промежутке между корнями, включая сами корни.

Таким образом, решение первого неравенства: $x \in [-5, 5]$.

2. Решение второго неравенства: $12 - x < x^2$

Перенесем все слагаемые в одну сторону: $x^2 + x - 12 > 0$.

Найдем корни соответствующего квадратного уравнения $x^2 + x - 12 = 0$.

Используя теорему Виета, находим корни: $x_1 = -4$ и $x_2 = 3$ (поскольку $-4+3=-1$ и $-4 \cdot 3 = -12$).

Неравенство можно записать как $(x+4)(x-3) > 0$.

Графиком функции $y=x^2 + x - 12$ является парабола с ветвями вверх. Неравенство $> 0$ выполняется на промежутках вне корней.

Таким образом, решение второго неравенства: $x \in (-\infty, -4) \cup (3, \infty)$.

3. Нахождение общего решения

Теперь необходимо найти пересечение (общую часть) решений обоих неравенств:

Решение 1: $x \in [-5, 5]$

Решение 2: $x \in (-\infty, -4) \cup (3, \infty)$

Искомое решение — это множество всех $x$, которые удовлетворяют обоим условиям одновременно. Совместим эти решения на числовой прямой.

Из отрезка $[-5, 5]$ мы должны выбрать те части, которые лежат в области $(-\infty, -4) \cup (3, \infty)$.

  • Интервал $[-5, -4)$ удовлетворяет обоим условиям.
  • Интервал $(3, 5]$ удовлетворяет обоим условиям.

Объединив эти два интервала, мы получаем окончательный ответ.

Ответ: $x \in [-5, -4) \cup (3, 5]$.

Помогло решение? Оставьте отзыв в комментариях ниже.

Присоединяйтесь к Телеграм-группе @gdz_by_belarus

Присоединиться

Мы подготовили для вас ответ c подробным объяснением домашего задания по алгебре за 9 класс, для упражнения номер 291 расположенного на странице 297 к учебнику 2019 года издания для учащихся школ и гимназий.

Теперь на нашем сайте ГДЗ.ТОП вы всегда легко и бесплатно найдёте условие с правильным ответом на вопрос «Как решить ДЗ» и «Как сделать» задание по алгебре к упражнению №291 (с. 297), авторов: Арефьева (Ирина Глебовна), Пирютко (Ольга Николаевна), учебного пособия издательства Народная асвета.