Номер 297, страница 298 - гдз по алгебре 9 класс учебник Арефьева, Пирютко

Алгебра, 9 класс Учебник, авторы: Арефьева Ирина Глебовна, Пирютко Ольга Николаевна, издательство Народная асвета, Минск, 2019, голубого цвета

Авторы: Арефьева И. Г., Пирютко О. Н.

Тип: Учебник

Издательство: Народная асвета

Год издания: 2019 - 2025

Цвет обложки: голубой, синий с графиком

ISBN: 978-985-03-3077-2

Допущено Министерством образования Республики Беларусь

Популярные ГДЗ в 9 классе

Итоговое повторение. Уравнения, неравенства, системы - номер 297, страница 298.

№297 (с. 298)
Условие. №297 (с. 298)
скриншот условия
Алгебра, 9 класс Учебник, авторы: Арефьева Ирина Глебовна, Пирютко Ольга Николаевна, издательство Народная асвета, Минск, 2019, голубого цвета, страница 298, номер 297, Условие

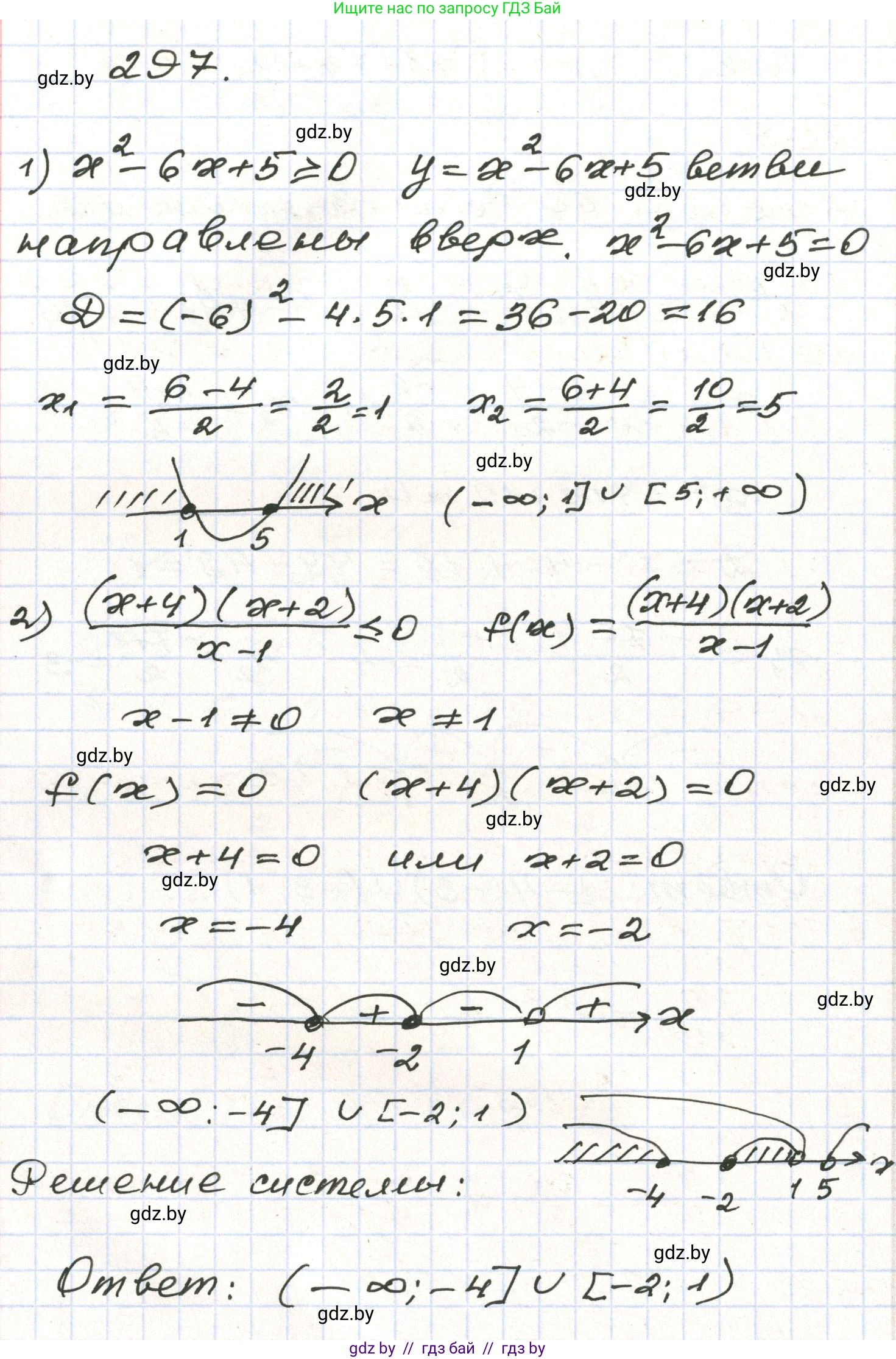
297. Решите систему неравенств $ \begin{cases} x^2 - 6x + 5 \geq 0, \\ \frac{(x+4)(x+2)}{x-1} \leq 0. \end{cases} $

Решение. №297 (с. 298)
Алгебра, 9 класс Учебник, авторы: Арефьева Ирина Глебовна, Пирютко Ольга Николаевна, издательство Народная асвета, Минск, 2019, голубого цвета, страница 298, номер 297, Решение
Решение 2. №297 (с. 298)

Для решения системы необходимо решить каждое неравенство по отдельности, а затем найти пересечение их решений.

Решение первого неравенства $x^2 - 6x + 5 \geq 0$:
Это квадратное неравенство. Найдем корни соответствующего уравнения $x^2 - 6x + 5 = 0$.
По теореме Виета, сумма корней равна $6$, а произведение равно $5$. Следовательно, корни уравнения: $x_1 = 1$ и $x_2 = 5$.
Так как коэффициент при $x^2$ положителен (равен 1), ветви параболы $y = x^2 - 6x + 5$ направлены вверх. Неравенство выполняется, когда график функции находится на оси абсцисс или выше нее, то есть вне интервала между корнями.
Ответ: $x \in (-\infty, 1] \cup [5, +\infty)$.

Решение второго неравенства $\frac{(x+4)(x+2)}{x-1} \leq 0$:
Это дробно-рациональное неравенство, которое решается методом интервалов.
1. Найдем нули числителя: $x+4=0 \Rightarrow x=-4$; $x+2=0 \Rightarrow x=-2$. Так как неравенство нестрогое ($\leq$), эти точки включаются в решение.
2. Найдем нуль знаменателя: $x-1=0 \Rightarrow x=1$. Эта точка всегда исключается из решения, так как знаменатель не может быть равен нулю.
3. Отметим точки $-4, -2, 1$ на числовой прямой и определим знаки выражения в полученных интервалах. Выражение $\frac{(x+4)(x+2)}{x-1}$ меньше или равно нулю на промежутках, где оно имеет знак "минус", а также в точках, где числитель равен нулю.
Ответ: $x \in (-\infty, -4] \cup [-2, 1)$.

Решение системы неравенств:
Найдем пересечение множеств решений обоих неравенств:
$((-\infty, 1] \cup [5, +\infty)) \cap ((-\infty, -4] \cup [-2, 1))$.
Для наглядности можно изобразить оба решения на числовой оси. Общими для них будут промежутки, где штриховки совпадают. Пересечением являются интервалы $(-\infty, -4]$ и $[-2, 1)$.
Ответ: $x \in (-\infty, -4] \cup [-2, 1)$.

Помогло решение? Оставьте отзыв в комментариях ниже.

Присоединяйтесь к Телеграм-группе @gdz_by_belarus

Присоединиться

Мы подготовили для вас ответ c подробным объяснением домашего задания по алгебре за 9 класс, для упражнения номер 297 расположенного на странице 298 к учебнику 2019 года издания для учащихся школ и гимназий.

Теперь на нашем сайте ГДЗ.ТОП вы всегда легко и бесплатно найдёте условие с правильным ответом на вопрос «Как решить ДЗ» и «Как сделать» задание по алгебре к упражнению №297 (с. 298), авторов: Арефьева (Ирина Глебовна), Пирютко (Ольга Николаевна), учебного пособия издательства Народная асвета.