Номер 42, страница 269 - гдз по алгебре 9 класс учебник Арефьева, Пирютко

Алгебра, 9 класс Учебник, авторы: Арефьева Ирина Глебовна, Пирютко Ольга Николаевна, издательство Народная асвета, Минск, 2019, голубого цвета

Авторы: Арефьева И. Г., Пирютко О. Н.

Тип: Учебник

Издательство: Народная асвета

Год издания: 2019 - 2025

Цвет обложки: голубой, синий с графиком

ISBN: 978-985-03-3077-2

Допущено Министерством образования Республики Беларусь

Популярные ГДЗ в 9 классе

Итоговое повторение. Числа и вычисления - номер 42, страница 269.

№42 (с. 269)
Условие. №42 (с. 269)
скриншот условия
Алгебра, 9 класс Учебник, авторы: Арефьева Ирина Глебовна, Пирютко Ольга Николаевна, издательство Народная асвета, Минск, 2019, голубого цвета, страница 269, номер 42, Условие

42. Установите порядок действий и найдите значение выражения:

а) $9 - 3\frac{3}{7} \cdot 7;$

б) $18 : \left(\left(\frac{2}{3}\right)^2 - \frac{7}{9}\right);$

в) $\left(1\frac{10}{21} - \frac{4}{21}\right) : 2;$

г) $\left(1\frac{1}{7} - \frac{1}{7} \cdot 3\right) : (-10).$

Решение. №42 (с. 269)
Алгебра, 9 класс Учебник, авторы: Арефьева Ирина Глебовна, Пирютко Ольга Николаевна, издательство Народная асвета, Минск, 2019, голубого цвета, страница 269, номер 42, Решение Алгебра, 9 класс Учебник, авторы: Арефьева Ирина Глебовна, Пирютко Ольга Николаевна, издательство Народная асвета, Минск, 2019, голубого цвета, страница 269, номер 42, Решение (продолжение 2)
Решение 2. №42 (с. 269)

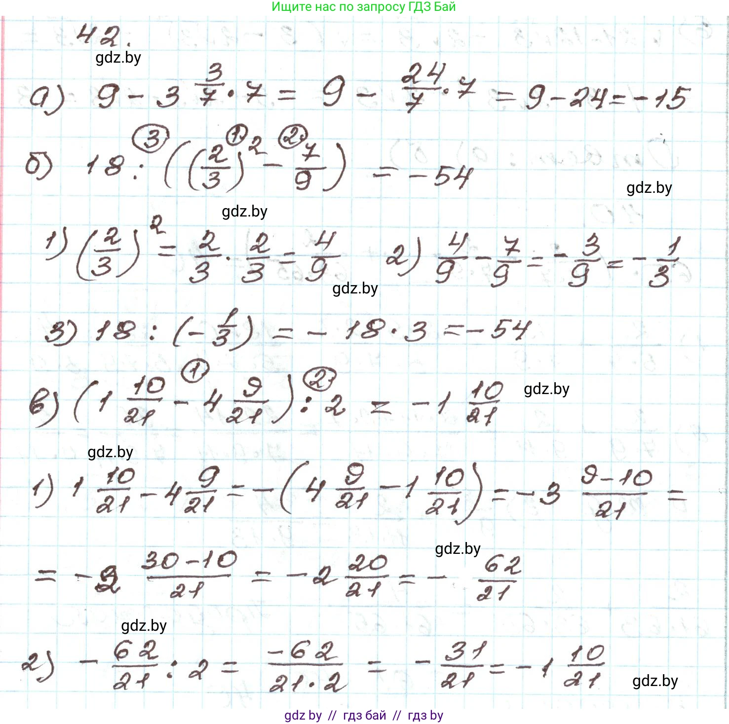
а) $9 - 3\frac{3}{7} \cdot 7$

Решение по действиям:

  1. Первым действием выполняется умножение. Для этого переведем смешанное число в неправильную дробь:
    $3\frac{3}{7} = \frac{3 \cdot 7 + 3}{7} = \frac{24}{7}$
    Теперь выполним умножение:
    $\frac{24}{7} \cdot 7 = 24$
  2. Вторым действием выполняется вычитание:
    $9 - 24 = -15$

Ответ: -15.

б) $18 : \left(\left(\frac{2}{3}\right)^2 - \frac{7}{9}\right)$

Решение по действиям:

  1. Первое действие — в скобках. Начнем с возведения в степень:
    $\left(\frac{2}{3}\right)^2 = \frac{2^2}{3^2} = \frac{4}{9}$
  2. Второе действие — вычитание в скобках:
    $\frac{4}{9} - \frac{7}{9} = \frac{4-7}{9} = -\frac{3}{9} = -\frac{1}{3}$
  3. Третье действие — деление:
    $18 : \left(-\frac{1}{3}\right) = 18 \cdot \left(-\frac{3}{1}\right) = -54$

Ответ: -54.

в) $\left(1\frac{10}{21} - 4\frac{9}{21}\right) : 2$

Решение по действиям:

  1. Первое действие — вычитание в скобках. Переведем смешанные числа в неправильные дроби:
    $1\frac{10}{21} = \frac{1 \cdot 21 + 10}{21} = \frac{31}{21}$
    $4\frac{9}{21} = \frac{4 \cdot 21 + 9}{21} = \frac{84+9}{21} = \frac{93}{21}$
    Выполним вычитание:
    $\frac{31}{21} - \frac{93}{21} = \frac{31-93}{21} = -\frac{62}{21}$
  2. Второе действие — деление:
    $\left(-\frac{62}{21}\right) : 2 = -\frac{62}{21} \cdot \frac{1}{2} = -\frac{62}{42} = -\frac{31}{21}$
  3. Результат является неправильной дробью. Выделим целую часть, преобразовав в смешанное число:
    $-\frac{31}{21} = -1\frac{10}{21}$

Ответ: $-\mathbf{1}\frac{10}{21}$.

г) $\left(1\frac{1}{7} - \frac{1}{7} \cdot 3\right) : (-10)$

Решение по действиям:

  1. Первое действие — умножение в скобках:
    $\frac{1}{7} \cdot 3 = \frac{3}{7}$
  2. Второе действие — вычитание в скобках. Переведем $1\frac{1}{7}$ в неправильную дробь:
    $1\frac{1}{7} = \frac{1 \cdot 7 + 1}{7} = \frac{8}{7}$
    Теперь вычтем:
    $\frac{8}{7} - \frac{3}{7} = \frac{8-3}{7} = \frac{5}{7}$
  3. Третье действие — деление:
    $\frac{5}{7} : (-10) = \frac{5}{7} \cdot \left(-\frac{1}{10}\right) = -\frac{5}{7 \cdot 10} = -\frac{1}{7 \cdot 2} = -\frac{1}{14}$

Ответ: $-\frac{1}{14}$.

Помогло решение? Оставьте отзыв в комментариях ниже.

Присоединяйтесь к Телеграм-группе @gdz_by_belarus

Присоединиться

Мы подготовили для вас ответ c подробным объяснением домашего задания по алгебре за 9 класс, для упражнения номер 42 расположенного на странице 269 к учебнику 2019 года издания для учащихся школ и гимназий.

Теперь на нашем сайте ГДЗ.ТОП вы всегда легко и бесплатно найдёте условие с правильным ответом на вопрос «Как решить ДЗ» и «Как сделать» задание по алгебре к упражнению №42 (с. 269), авторов: Арефьева (Ирина Глебовна), Пирютко (Ольга Николаевна), учебного пособия издательства Народная асвета.