Номер 47, страница 270 - гдз по алгебре 9 класс учебник Арефьева, Пирютко

Алгебра, 9 класс Учебник, авторы: Арефьева Ирина Глебовна, Пирютко Ольга Николаевна, издательство Народная асвета, Минск, 2019, голубого цвета

Авторы: Арефьева И. Г., Пирютко О. Н.

Тип: Учебник

Издательство: Народная асвета

Год издания: 2019 - 2025

Цвет обложки: голубой, синий с графиком

ISBN: 978-985-03-3077-2

Допущено Министерством образования Республики Беларусь

Популярные ГДЗ в 9 классе

Итоговое повторение. Числа и вычисления - номер 47, страница 270.

№47 (с. 270)
Условие. №47 (с. 270)
скриншот условия
Алгебра, 9 класс Учебник, авторы: Арефьева Ирина Глебовна, Пирютко Ольга Николаевна, издательство Народная асвета, Минск, 2019, голубого цвета, страница 270, номер 47, Условие

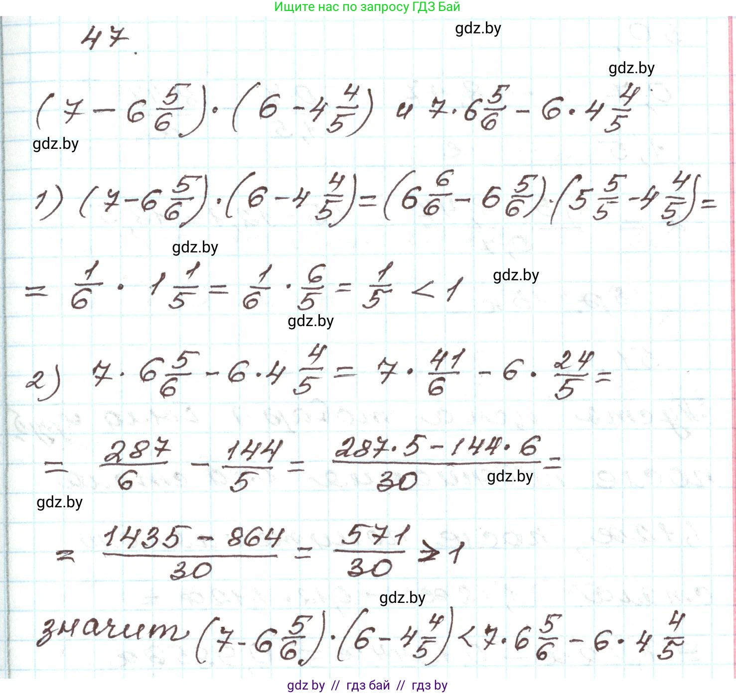
47. Сравните значения выражений $(7 - 6\frac{5}{6})\cdot(6 - 4\frac{4}{5})$ и $7 \cdot 6\frac{5}{6} - 6 \cdot 4\frac{4}{5}$.

Решение. №47 (с. 270)
Алгебра, 9 класс Учебник, авторы: Арефьева Ирина Глебовна, Пирютко Ольга Николаевна, издательство Народная асвета, Минск, 2019, голубого цвета, страница 270, номер 47, Решение
Решение 2. №47 (с. 270)

Для того чтобы сравнить значения выражений, необходимо вычислить значение каждого из них.

$(7 - 6\frac{5}{6}) \cdot (6 - 4\frac{4}{5})$

Сначала выполним вычитание в каждой из скобок, представляя целые числа в виде дробей с нужным знаменателем:

$7 - 6\frac{5}{6} = 6\frac{6}{6} - 6\frac{5}{6} = \frac{1}{6}$

$6 - 4\frac{4}{5} = 5\frac{5}{5} - 4\frac{4}{5} = 1\frac{1}{5}$

Далее выполним умножение. Представим смешанное число $1\frac{1}{5}$ в виде неправильной дроби:

$1\frac{1}{5} = \frac{1 \cdot 5 + 1}{5} = \frac{6}{5}$

Теперь перемножим полученные дроби:

$\frac{1}{6} \cdot \frac{6}{5} = \frac{1 \cdot 6}{6 \cdot 5} = \frac{1}{5}$

Ответ: $\frac{1}{5}$

$7 \cdot 6\frac{5}{6} - 6 \cdot 4\frac{4}{5}$

Сначала представим смешанные числа в виде неправильных дробей:

$6\frac{5}{6} = \frac{6 \cdot 6 + 5}{6} = \frac{41}{6}$

$4\frac{4}{5} = \frac{4 \cdot 5 + 4}{5} = \frac{24}{5}$

Теперь выполним действия умножения и вычитания:

$7 \cdot \frac{41}{6} - 6 \cdot \frac{24}{5} = \frac{287}{6} - \frac{144}{5}$

Приведем дроби к общему знаменателю 30:

$\frac{287 \cdot 5}{6 \cdot 5} - \frac{144 \cdot 6}{5 \cdot 6} = \frac{1435}{30} - \frac{864}{30} = \frac{1435 - 864}{30} = \frac{571}{30}$

Выделим целую часть из полученной неправильной дроби:

$\frac{571}{30} = 19\frac{1}{30}$

Ответ: 19$\frac{1}{30}$

Сравнение полученных значений

Теперь сравним результаты вычислений: $\frac{1}{5}$ и $19\frac{1}{30}$.

Значение первого выражения $\frac{1}{5}$ — это правильная дробь, она меньше 1.

Значение второго выражения $19\frac{1}{30}$ — это смешанное число, оно больше 19.

Очевидно, что $19\frac{1}{30} > \frac{1}{5}$.

Таким образом, значение второго выражения больше значения первого:

$7 \cdot 6\frac{5}{6} - 6 \cdot 4\frac{4}{5} > (7 - 6\frac{5}{6}) \cdot (6 - 4\frac{4}{5})$

Помогло решение? Оставьте отзыв в комментариях ниже.

Присоединяйтесь к Телеграм-группе @gdz_by_belarus

Присоединиться

Мы подготовили для вас ответ c подробным объяснением домашего задания по алгебре за 9 класс, для упражнения номер 47 расположенного на странице 270 к учебнику 2019 года издания для учащихся школ и гимназий.

Теперь на нашем сайте ГДЗ.ТОП вы всегда легко и бесплатно найдёте условие с правильным ответом на вопрос «Как решить ДЗ» и «Как сделать» задание по алгебре к упражнению №47 (с. 270), авторов: Арефьева (Ирина Глебовна), Пирютко (Ольга Николаевна), учебного пособия издательства Народная асвета.