Номер 14.3, страница 79 - гдз по алгебре 10 класс сборник задач Арефьева, Пирютко

Алгебра, 10 класс Сборник задач, авторы: Арефьева Ирина Глебовна, Пирютко Ольга Николаевна, издательство Народная асвета, Минск, 2020, белого цвета

Авторы: Арефьева И. Г., Пирютко О. Н.

Тип: Сборник задач

Издательство: Народная асвета

Год издания: 2020 - 2025

Уровень обучения: базовый и повышенный

Цвет обложки: белый, голубой с графиком

Допущено Министерством образования Республики Беларусь

Популярные ГДЗ в 10 классе

Глава 3. Тригонометрия. Параграф 14. Формулы приведения - номер 14.3, страница 79.

№14.3 (с. 79)
Условие. №14.3 (с. 79)
скриншот условия
Алгебра, 10 класс Сборник задач, авторы: Арефьева Ирина Глебовна, Пирютко Ольга Николаевна, издательство Народная асвета, Минск, 2020, белого цвета, страница 79, номер 14.3, Условие

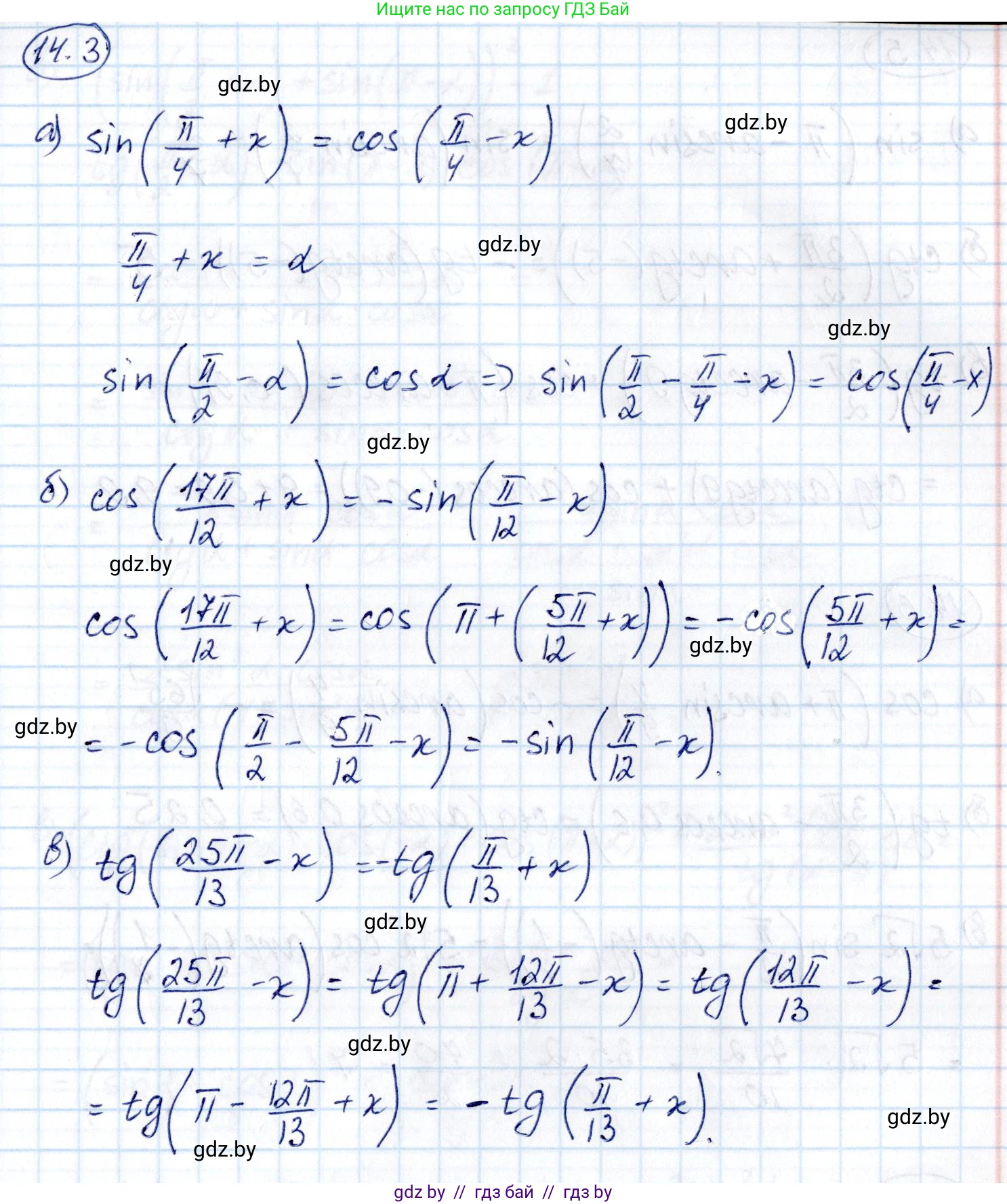
14.3. Используя формулы приведения, докажите, что:

a) $\sin\left(\frac{\pi}{4} + x\right) = \cos\left(\frac{\pi}{4} - x\right)$;

б) $\cos\left(\frac{17\pi}{12} + x\right) = -\sin\left(\frac{\pi}{12} - x\right)$;

в) $\mathrm{tg}\left(\frac{25\pi}{13} - x\right) = -\mathrm{tg}\left(\frac{\pi}{13} + x\right).$

Решение. №14.3 (с. 79)
Алгебра, 10 класс Сборник задач, авторы: Арефьева Ирина Глебовна, Пирютко Ольга Николаевна, издательство Народная асвета, Минск, 2020, белого цвета, страница 79, номер 14.3, Решение
Решение 2. №14.3 (с. 79)

а) Для доказательства тождества $sin(\frac{\pi}{4} + x) = cos(\frac{\pi}{4} - x)$ преобразуем его левую часть, используя формулу приведения, связывающую синус и косинус: $sin(\alpha) = cos(\frac{\pi}{2} - \alpha)$.

В нашем случае, пусть $\alpha = \frac{\pi}{4} + x$. Применим формулу:

$sin(\frac{\pi}{4} + x) = cos(\frac{\pi}{2} - (\frac{\pi}{4} + x))$.

Упростим выражение в аргументе косинуса:

$\frac{\pi}{2} - (\frac{\pi}{4} + x) = \frac{\pi}{2} - \frac{\pi}{4} - x = \frac{2\pi - \pi}{4} - x = \frac{\pi}{4} - x$.

Таким образом, мы получили, что левая часть равна $cos(\frac{\pi}{4} - x)$, что и требовалось доказать.

Ответ: тождество доказано.

б) Для доказательства тождества $cos(\frac{17\pi}{12} + x) = -sin(\frac{\pi}{12} - x)$ преобразуем его левую часть.

Сначала выделим целую часть из неправильной дроби в аргументе функции, представив $\frac{17\pi}{12}$ в виде суммы с $\pi$:

$\frac{17\pi}{12} = \frac{12\pi + 5\pi}{12} = \pi + \frac{5\pi}{12}$.

Теперь левая часть тождества выглядит так:

$cos(\frac{17\pi}{12} + x) = cos(\pi + \frac{5\pi}{12} + x) = cos(\pi + (\frac{5\pi}{12} + x))$.

Используем формулу приведения $cos(\pi + \alpha) = -cos(\alpha)$, где $\alpha = \frac{5\pi}{12} + x$:

$cos(\pi + (\frac{5\pi}{12} + x)) = -cos(\frac{5\pi}{12} + x)$.

Далее, чтобы перейти от косинуса к синусу, применим формулу приведения $cos(\beta) = sin(\frac{\pi}{2} - \beta)$. В нашем случае $\beta = \frac{5\pi}{12} + x$:

$-cos(\frac{5\pi}{12} + x) = -sin(\frac{\pi}{2} - (\frac{5\pi}{12} + x))$.

Упростим выражение в скобках у синуса:

$\frac{\pi}{2} - \frac{5\pi}{12} - x = \frac{6\pi}{12} - \frac{5\pi}{12} - x = \frac{\pi}{12} - x$.

В результате преобразований левая часть стала равна $-sin(\frac{\pi}{12} - x)$, что совпадает с правой частью. Тождество доказано.

Ответ: 1.

в) Для доказательства тождества $tg(\frac{25\pi}{13} - x) = -tg(\frac{\pi}{13} + x)$ преобразуем левую часть.

Выделим целую часть из дроби $\frac{25}{13}$, представив угол в виде суммы с $\pi$:

$\frac{25\pi}{13} = \frac{13\pi + 12\pi}{13} = \pi + \frac{12\pi}{13}$.

Подставим это выражение в левую часть тождества:

$tg(\frac{25\pi}{13} - x) = tg(\pi + \frac{12\pi}{13} - x) = tg(\pi + (\frac{12\pi}{13} - x))$.

Применим формулу приведения $tg(\pi + \alpha) = tg(\alpha)$, где $\alpha = \frac{12\pi}{13} - x$:

$tg(\pi + (\frac{12\pi}{13} - x)) = tg(\frac{12\pi}{13} - x)$.

Чтобы получить выражение, схожее с правой частью, представим угол $\frac{12\pi}{13}$ как разность $\pi - \frac{\pi}{13}$:

$tg(\frac{12\pi}{13} - x) = tg(\pi - \frac{\pi}{13} - x) = tg(\pi - (\frac{\pi}{13} + x))$.

Теперь используем формулу приведения $tg(\pi - \beta) = -tg(\beta)$, где $\beta = \frac{\pi}{13} + x$:

$tg(\pi - (\frac{\pi}{13} + x)) = -tg(\frac{\pi}{13} + x)$.

Таким образом, левая часть тождества равна правой. Тождество доказано.

Ответ: 1.

Помогло решение? Оставьте отзыв в комментариях ниже.

Присоединяйтесь к Телеграм-группе @gdz_by_belarus

Присоединиться

Мы подготовили для вас ответ c подробным объяснением домашего задания по алгебре за 10 класс, для упражнения номер 14.3 расположенного на странице 79 к сборнику задач 2020 года издания для учащихся школ и гимназий.

Теперь на нашем сайте ГДЗ.ТОП вы всегда легко и бесплатно найдёте условие с правильным ответом на вопрос «Как решить ДЗ» и «Как сделать» задание по алгебре к упражнению №14.3 (с. 79), авторов: Арефьева (Ирина Глебовна), Пирютко (Ольга Николаевна), базовый и повышенный уровень обучения учебного пособия издательства Народная асвета.