Номер 13.30, страница 76 - гдз по алгебре 10 класс сборник задач Арефьева, Пирютко

Алгебра, 10 класс Сборник задач, авторы: Арефьева Ирина Глебовна, Пирютко Ольга Николаевна, издательство Народная асвета, Минск, 2020, белого цвета

Авторы: Арефьева И. Г., Пирютко О. Н.

Тип: Сборник задач

Издательство: Народная асвета

Год издания: 2020 - 2025

Уровень обучения: базовый и повышенный

Цвет обложки: белый, голубой с графиком

Допущено Министерством образования Республики Беларусь

Популярные ГДЗ в 10 классе

Глава 3. Тригонометрия. Параграф 13. Тригонометрические уравнения. Тригонометрические неравенства - номер 13.30, страница 76.

№13.30 (с. 76)
Условие. №13.30 (с. 76)
скриншот условия
Алгебра, 10 класс Сборник задач, авторы: Арефьева Ирина Глебовна, Пирютко Ольга Николаевна, издательство Народная асвета, Минск, 2020, белого цвета, страница 76, номер 13.30, Условие

13.30. Найдите наименьшее целое положительное число, принадлежащее области определения функции $f(x) = \sqrt{\cos^2 \frac{\pi x}{12} - \sin^2 \frac{\pi x}{12} - 1}$.

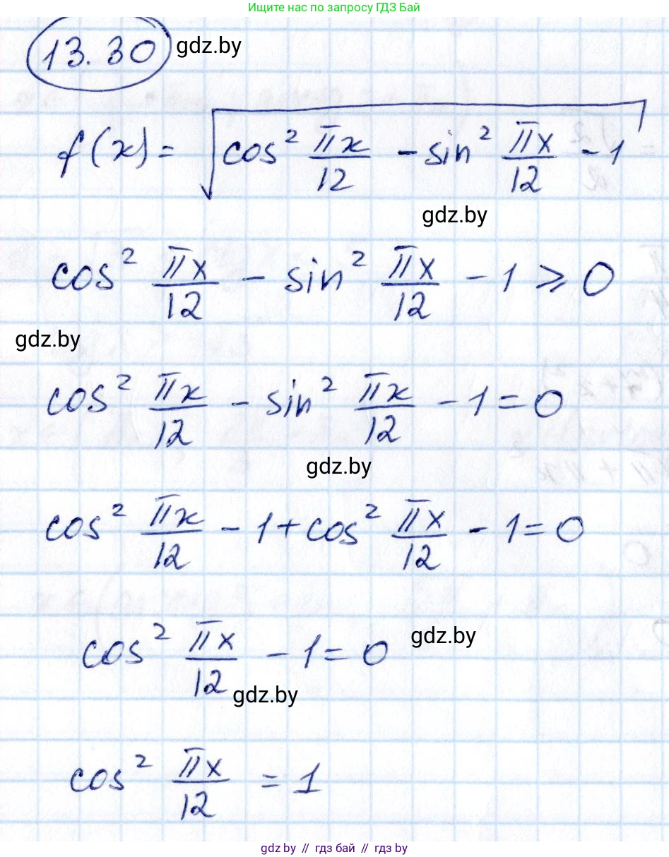
Решение. №13.30 (с. 76)
Алгебра, 10 класс Сборник задач, авторы: Арефьева Ирина Глебовна, Пирютко Ольга Николаевна, издательство Народная асвета, Минск, 2020, белого цвета, страница 76, номер 13.30, Решение Алгебра, 10 класс Сборник задач, авторы: Арефьева Ирина Глебовна, Пирютко Ольга Николаевна, издательство Народная асвета, Минск, 2020, белого цвета, страница 76, номер 13.30, Решение (продолжение 2)
Решение 2. №13.30 (с. 76)

Область определения функции $f(x) = \sqrt{\cos^2 \frac{\pi x}{12} - \sin^2 \frac{\pi x}{12} - 1}$ задается условием, что выражение под знаком квадратного корня должно быть неотрицательным:

$\cos^2 \frac{\pi x}{12} - \sin^2 \frac{\pi x}{12} - 1 \ge 0$

Для упрощения подкоренного выражения воспользуемся формулой косинуса двойного угла: $\cos(2\alpha) = \cos^2\alpha - \sin^2\alpha$.

В нашем случае аргумент $\alpha = \frac{\pi x}{12}$. Применяя формулу, получаем:

$\cos^2 \frac{\pi x}{12} - \sin^2 \frac{\pi x}{12} = \cos\left(2 \cdot \frac{\pi x}{12}\right) = \cos\left(\frac{\pi x}{6}\right)$

Теперь неравенство для области определения принимает вид:

$\cos\left(\frac{\pi x}{6}\right) - 1 \ge 0$

$\cos\left(\frac{\pi x}{6}\right) \ge 1$

Мы знаем, что область значений функции косинус — это отрезок $[-1, 1]$. Следовательно, значение $\cos\left(\frac{\pi x}{6}\right)$ не может быть больше 1. Единственная возможность, при которой неравенство выполняется, — это равенство:

$\cos\left(\frac{\pi x}{6}\right) = 1$

Это уравнение справедливо, когда аргумент косинуса равен $2\pi k$, где $k$ — любое целое число ($k \in \mathbb{Z}$).

$\frac{\pi x}{6} = 2\pi k$

Выразим $x$ из этого уравнения, разделив обе части на $\pi$ и умножив на 6:

$x = 12k$

По условию задачи, нам нужно найти наименьшее целое положительное число $x$. Это означает, что $x > 0$.

$12k > 0 \implies k > 0$

Так как $k$ — целое число, наименьшее целое значение $k$, удовлетворяющее условию $k > 0$, это $k = 1$.

Подставляем $k=1$ в выражение для $x$, чтобы найти искомое число:

$x = 12 \cdot 1 = 12$

13.30. Ответ: 12

Помогло решение? Оставьте отзыв в комментариях ниже.

Присоединяйтесь к Телеграм-группе @gdz_by_belarus

Присоединиться

Мы подготовили для вас ответ c подробным объяснением домашего задания по алгебре за 10 класс, для упражнения номер 13.30 расположенного на странице 76 к сборнику задач 2020 года издания для учащихся школ и гимназий.

Теперь на нашем сайте ГДЗ.ТОП вы всегда легко и бесплатно найдёте условие с правильным ответом на вопрос «Как решить ДЗ» и «Как сделать» задание по алгебре к упражнению №13.30 (с. 76), авторов: Арефьева (Ирина Глебовна), Пирютко (Ольга Николаевна), базовый и повышенный уровень обучения учебного пособия издательства Народная асвета.