Номер 13.26, страница 75 - гдз по алгебре 10 класс сборник задач Арефьева, Пирютко

Алгебра, 10 класс Сборник задач, авторы: Арефьева Ирина Глебовна, Пирютко Ольга Николаевна, издательство Народная асвета, Минск, 2020, белого цвета

Авторы: Арефьева И. Г., Пирютко О. Н.

Тип: Сборник задач

Издательство: Народная асвета

Год издания: 2020 - 2025

Уровень обучения: базовый и повышенный

Цвет обложки: белый, голубой с графиком

Допущено Министерством образования Республики Беларусь

Популярные ГДЗ в 10 классе

Глава 3. Тригонометрия. Параграф 13. Тригонометрические уравнения. Тригонометрические неравенства - номер 13.26, страница 75.

№13.26 (с. 75)
Условие. №13.26 (с. 75)
скриншот условия
Алгебра, 10 класс Сборник задач, авторы: Арефьева Ирина Глебовна, Пирютко Ольга Николаевна, издательство Народная асвета, Минск, 2020, белого цвета, страница 75, номер 13.26, Условие

13.26. Решите неравенство:

а) $ \sin x \ge \frac{\sqrt{2}}{2} $;

б) $ \sin 2x < -\frac{1}{2} $;

в) $ \sin x \ge \sqrt{3} $;

г) $ \cos \frac{x}{3} \le \frac{\sqrt{3}}{2} $;

д) $ \cos \left(x - \frac{\pi}{3}\right) > \frac{1}{2} $;

е) $ \cos x > -1,5 $;

ж) $ \operatorname{tg} 0,1x \ge \frac{\sqrt{3}}{3} $;

з) $ \operatorname{ctg} \left(2x + \frac{\pi}{4}\right) \le -1 $.

Решение. №13.26 (с. 75)
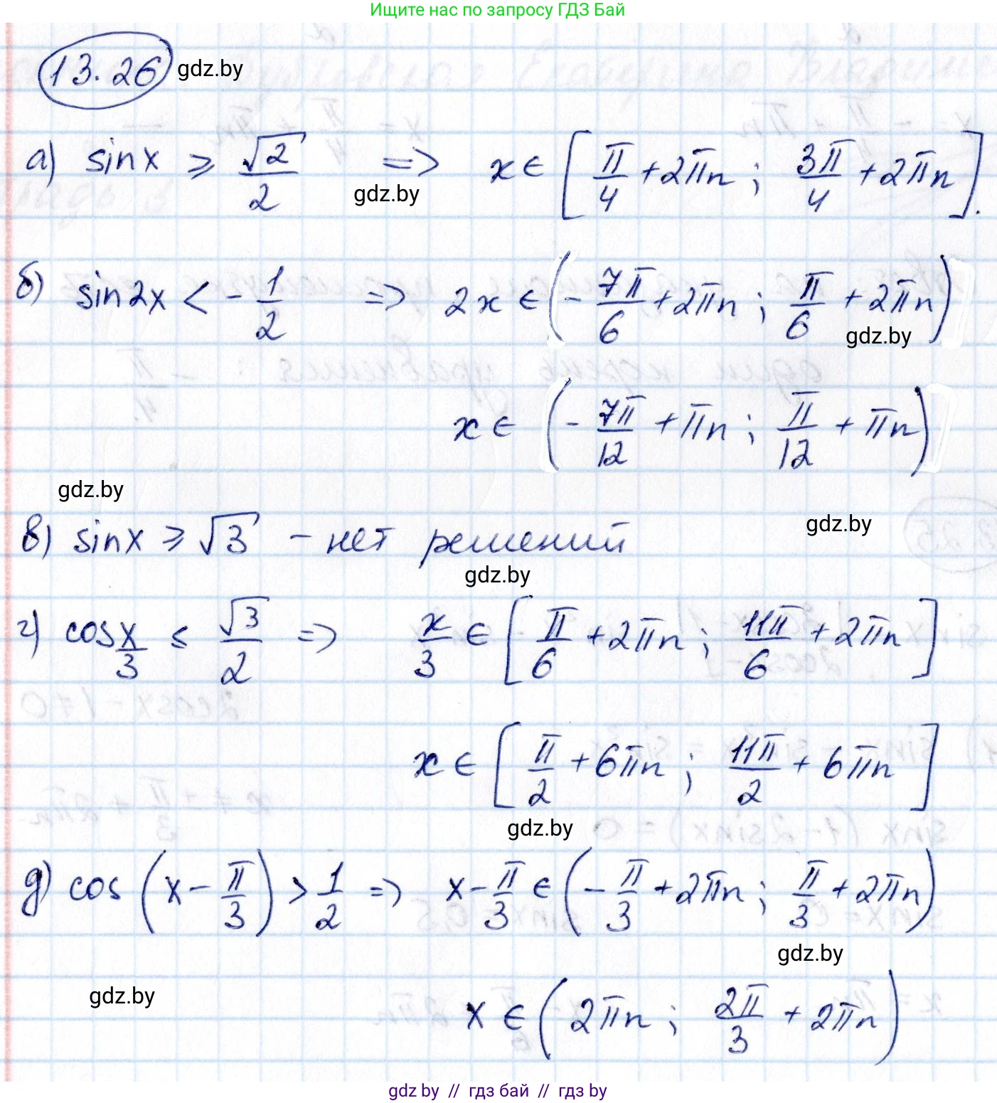
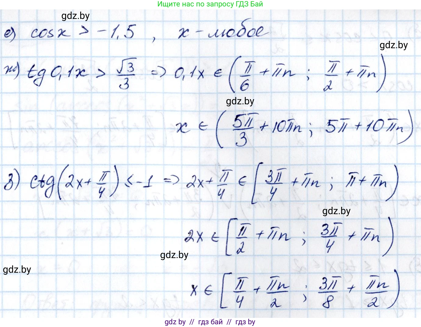
Алгебра, 10 класс Сборник задач, авторы: Арефьева Ирина Глебовна, Пирютко Ольга Николаевна, издательство Народная асвета, Минск, 2020, белого цвета, страница 75, номер 13.26, Решение Алгебра, 10 класс Сборник задач, авторы: Арефьева Ирина Глебовна, Пирютко Ольга Николаевна, издательство Народная асвета, Минск, 2020, белого цвета, страница 75, номер 13.26, Решение (продолжение 2)
Решение 2. №13.26 (с. 75)

а) Решим неравенство $ \sin x \ge \frac{\sqrt{2}}{2} $.
Сначала найдем корни уравнения $ \sin x = \frac{\sqrt{2}}{2} $. На промежутке $[0, 2\pi]$ это $ x = \frac{\pi}{4} $ и $ x = \pi - \frac{\pi}{4} = \frac{3\pi}{4} $.
Используя единичную окружность, определим, что значения синуса (ордината точки) не меньше $ \frac{\sqrt{2}}{2} $ на дуге, заключенной между точками $ \frac{\pi}{4} $ и $ \frac{3\pi}{4} $.
Таким образом, решение на одном обороте: $ \frac{\pi}{4} \le x \le \frac{3\pi}{4} $.
Учитывая периодичность функции синуса (период $ 2\pi $), общее решение неравенства: $ \frac{\pi}{4} + 2\pi n \le x \le \frac{3\pi}{4} + 2\pi n $, где $ n \in \mathbb{Z} $.
Ответ: $ x \in [\frac{\pi}{4} + 2\pi n; \frac{3\pi}{4} + 2\pi n], n \in \mathbb{Z} $.

б) Решим неравенство $ \sin 2x < -\frac{1}{2} $.
Сделаем замену переменной: пусть $ t = 2x $. Тогда неравенство примет вид $ \sin t < -\frac{1}{2} $.
Корни уравнения $ \sin t = -\frac{1}{2} $ на промежутке $[0, 2\pi]$ — это $ t = \pi + \frac{\pi}{6} = \frac{7\pi}{6} $ и $ t = 2\pi - \frac{\pi}{6} = \frac{11\pi}{6} $.
Значения синуса меньше $ -\frac{1}{2} $ на дуге от $ \frac{7\pi}{6} $ до $ \frac{11\pi}{6} $.
С учетом периодичности, решение для $ t $: $ \frac{7\pi}{6} + 2\pi n < t < \frac{11\pi}{6} + 2\pi n $, где $ n \in \mathbb{Z} $.
Вернемся к переменной $ x $: $ \frac{7\pi}{6} + 2\pi n < 2x < \frac{11\pi}{6} + 2\pi n $.
Разделим все части двойного неравенства на 2: $ \frac{7\pi}{12} + \pi n < x < \frac{11\pi}{12} + \pi n $, где $ n \in \mathbb{Z} $.
Ответ: $ x \in (\frac{7\pi}{12} + \pi n; \frac{11\pi}{12} + \pi n), n \in \mathbb{Z} $.

в) Решим неравенство $ \sin x \ge \sqrt{3} $.
Область значений функции $ y = \sin x $ — это отрезок $ [-1, 1] $.
Значение $ \sqrt{3} \approx 1.732 $, что больше 1.
Поскольку $ \sin x $ не может быть больше 1, данное неравенство не имеет решений.
Ответ: $ x \in \emptyset $.

г) Решим неравенство $ \cos\frac{x}{3} \le \frac{\sqrt{3}}{2} $.
Сделаем замену: $ t = \frac{x}{3} $. Получаем $ \cos t \le \frac{\sqrt{3}}{2} $.
Корни уравнения $ \cos t = \frac{\sqrt{3}}{2} $ — это $ t = \pm\frac{\pi}{6} $.
На единичной окружности значения косинуса (абсцисса точки) меньше или равны $ \frac{\sqrt{3}}{2} $ на дуге от $ \frac{\pi}{6} $ до $ 2\pi - \frac{\pi}{6} = \frac{11\pi}{6} $.
Решение для $ t $ с учетом периодичности: $ \frac{\pi}{6} + 2\pi n \le t \le \frac{11\pi}{6} + 2\pi n $, где $ n \in \mathbb{Z} $.
Возвращаемся к $ x $: $ \frac{\pi}{6} + 2\pi n \le \frac{x}{3} \le \frac{11\pi}{6} + 2\pi n $.
Умножим все части на 3: $ \frac{3\pi}{6} + 6\pi n \le x \le \frac{33\pi}{6} + 6\pi n $.
Упрощаем: $ \frac{\pi}{2} + 6\pi n \le x \le \frac{11\pi}{2} + 6\pi n $.
Преобразуем неправильную дробь $ \frac{11}{2} $ в смешанное число: $ \frac{11}{2} = 5\frac{1}{2} $.
Ответ: $ x \in [\frac{\pi}{2} + 6\pi n; \boldsymbol{5}\frac{1}{2}\pi + 6\pi n], n \in \mathbb{Z} $.

д) Решим неравенство $ \cos(x - \frac{\pi}{3}) > \frac{1}{2} $.
Сделаем замену: $ t = x - \frac{\pi}{3} $. Получаем $ \cos t > \frac{1}{2} $.
Корни уравнения $ \cos t = \frac{1}{2} $ — это $ t = \pm\frac{\pi}{3} $.
Значения косинуса больше $ \frac{1}{2} $ на дуге от $ -\frac{\pi}{3} $ до $ \frac{\pi}{3} $.
Решение для $ t $: $ -\frac{\pi}{3} + 2\pi n < t < \frac{\pi}{3} + 2\pi n $, где $ n \in \mathbb{Z} $.
Возвращаемся к $ x $: $ -\frac{\pi}{3} + 2\pi n < x - \frac{\pi}{3} < \frac{\pi}{3} + 2\pi n $.
Прибавим $ \frac{\pi}{3} $ ко всем частям: $ 2\pi n < x < \frac{2\pi}{3} + 2\pi n $, где $ n \in \mathbb{Z} $.
Ответ: $ x \in (2\pi n; \frac{2\pi}{3} + 2\pi n), n \in \mathbb{Z} $.

е) Решим неравенство $ \cos x > -1,5 $.
Область значений функции $ y = \cos x $ — это отрезок $ [-1, 1] $.
Так как любое значение $ \cos x $ всегда не меньше -1, то оно всегда больше, чем -1,5.
Следовательно, неравенство выполняется для всех действительных чисел.
Ответ: $ x \in \mathbb{R} $.

ж) Решим неравенство $ \text{tg}\,0,1x > \frac{\sqrt{3}}{3} $.
Сделаем замену: $ t = 0,1x $. Получаем $ \text{tg}\,t > \frac{\sqrt{3}}{3} $.
Корень уравнения $ \text{tg}\,t = \frac{\sqrt{3}}{3} $ — это $ t = \frac{\pi}{6} $.
Функция тангенс возрастает на своем периоде. Неравенство выполняется на интервале от $ \frac{\pi}{6} $ до асимптоты $ \frac{\pi}{2} $.
Решение для $ t $ с учетом периодичности (период $ \pi $): $ \frac{\pi}{6} + \pi n < t < \frac{\pi}{2} + \pi n $, где $ n \in \mathbb{Z} $.
Возвращаемся к $ x $, учитывая, что $ 0,1 = \frac{1}{10} $: $ \frac{\pi}{6} + \pi n < \frac{x}{10} < \frac{\pi}{2} + \pi n $.
Умножим все части на 10: $ \frac{10\pi}{6} + 10\pi n < x < \frac{10\pi}{2} + 10\pi n $.
Упрощаем: $ \frac{5\pi}{3} + 10\pi n < x < 5\pi + 10\pi n $.
Преобразуем неправильную дробь $ \frac{5}{3} $ в смешанное число: $ \frac{5}{3} = 1\frac{2}{3} $.
Ответ: $ x \in (\boldsymbol{1}\frac{2}{3}\pi + 10\pi n; 5\pi + 10\pi n), n \in \mathbb{Z} $.

з) Решим неравенство $ \text{ctg}(2x + \frac{\pi}{4}) \le -1 $.
Сделаем замену: $ t = 2x + \frac{\pi}{4} $. Получаем $ \text{ctg}\,t \le -1 $.
Корень уравнения $ \text{ctg}\,t = -1 $ — это $ t = \frac{3\pi}{4} $.
Функция котангенс убывает на своем периоде. Неравенство выполняется на полуинтервале от $ \frac{3\pi}{4} $ (включительно) до асимптоты $ \pi $.
Решение для $ t $ с учетом периодичности (период $ \pi $): $ \frac{3\pi}{4} + \pi n \le t < \pi + \pi n $, где $ n \in \mathbb{Z} $.
Возвращаемся к $ x $: $ \frac{3\pi}{4} + \pi n \le 2x + \frac{\pi}{4} < \pi + \pi n $.
Вычтем $ \frac{\pi}{4} $ из всех частей: $ \frac{3\pi}{4} - \frac{\pi}{4} + \pi n \le 2x < \pi - \frac{\pi}{4} + \pi n $.
Упрощаем: $ \frac{2\pi}{4} + \pi n \le 2x < \frac{3\pi}{4} + \pi n \implies \frac{\pi}{2} + \pi n \le 2x < \frac{3\pi}{4} + \pi n $.
Разделим все части на 2: $ \frac{\pi}{4} + \frac{\pi n}{2} \le x < \frac{3\pi}{8} + \frac{\pi n}{2} $, где $ n \in \mathbb{Z} $.
Ответ: $ x \in [\frac{\pi}{4} + \frac{\pi n}{2}; \frac{3\pi}{8} + \frac{\pi n}{2}), n \in \mathbb{Z} $.

Помогло решение? Оставьте отзыв в комментариях ниже.

Присоединяйтесь к Телеграм-группе @gdz_by_belarus

Присоединиться

Мы подготовили для вас ответ c подробным объяснением домашего задания по алгебре за 10 класс, для упражнения номер 13.26 расположенного на странице 75 к сборнику задач 2020 года издания для учащихся школ и гимназий.

Теперь на нашем сайте ГДЗ.ТОП вы всегда легко и бесплатно найдёте условие с правильным ответом на вопрос «Как решить ДЗ» и «Как сделать» задание по алгебре к упражнению №13.26 (с. 75), авторов: Арефьева (Ирина Глебовна), Пирютко (Ольга Николаевна), базовый и повышенный уровень обучения учебного пособия издательства Народная асвета.