Номер 13.27, страница 75 - гдз по алгебре 10 класс сборник задач Арефьева, Пирютко

Алгебра, 10 класс Сборник задач, авторы: Арефьева Ирина Глебовна, Пирютко Ольга Николаевна, издательство Народная асвета, Минск, 2020, белого цвета

Авторы: Арефьева И. Г., Пирютко О. Н.

Тип: Сборник задач

Издательство: Народная асвета

Год издания: 2020 - 2025

Уровень обучения: базовый и повышенный

Цвет обложки: белый, голубой с графиком

Допущено Министерством образования Республики Беларусь

Популярные ГДЗ в 10 классе

Глава 3. Тригонометрия. Параграф 13. Тригонометрические уравнения. Тригонометрические неравенства - номер 13.27, страница 75.

№13.27 (с. 75)
Условие. №13.27 (с. 75)
скриншот условия
Алгебра, 10 класс Сборник задач, авторы: Арефьева Ирина Глебовна, Пирютко Ольга Николаевна, издательство Народная асвета, Минск, 2020, белого цвета, страница 75, номер 13.27, Условие

13.27. Решите двойное неравенство:

a) $-\frac{1}{2} \le \sin x \le \frac{\sqrt{3}}{2};$

б) $0 < \cos x \le \frac{\sqrt{2}}{2};$

в) $1 \le \operatorname{tg} x < 2;$

г) $-\sqrt{3} < \operatorname{ctg} x < 5.$

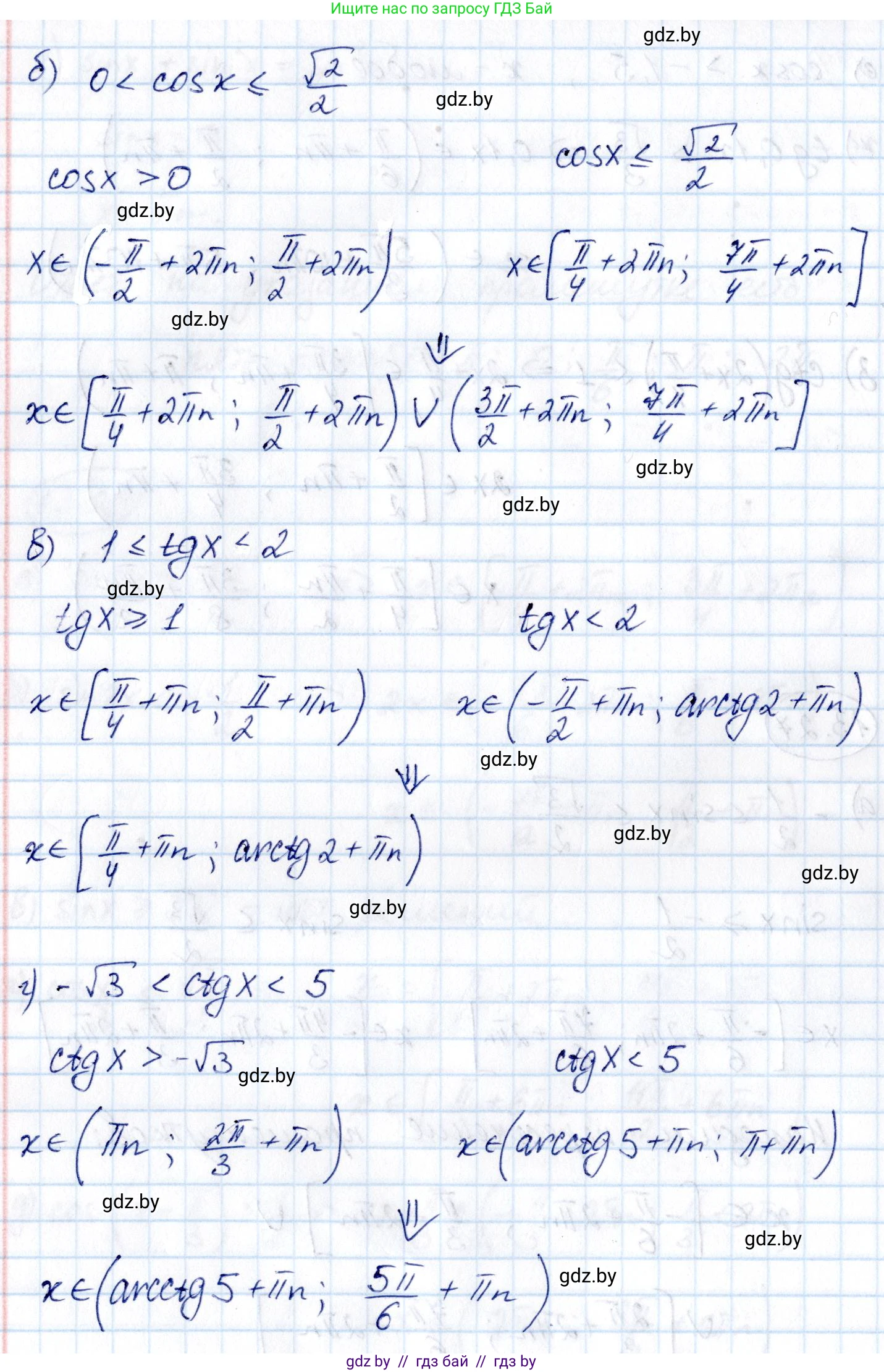
Решение. №13.27 (с. 75)
Алгебра, 10 класс Сборник задач, авторы: Арефьева Ирина Глебовна, Пирютко Ольга Николаевна, издательство Народная асвета, Минск, 2020, белого цвета, страница 75, номер 13.27, Решение Алгебра, 10 класс Сборник задач, авторы: Арефьева Ирина Глебовна, Пирютко Ольга Николаевна, издательство Народная асвета, Минск, 2020, белого цвета, страница 75, номер 13.27, Решение (продолжение 2)
Решение 2. №13.27 (с. 75)

а) Решим двойное неравенство $-\frac{1}{2} \le \sin x \le \frac{\sqrt{3}}{2}$.
Это неравенство равносильно системе двух неравенств: $\sin x \ge -\frac{1}{2}$ и $\sin x \le \frac{\sqrt{3}}{2}$.
Рассмотрим решение на единичной окружности. Нас интересуют точки на окружности, ордината (значение синуса) которых находится в промежутке $[-\frac{1}{2}, \frac{\sqrt{3}}{2}]$.
Этим условиям соответствуют точки на двух дугах единичной окружности:
1. Дуга от угла, синус которого равен $-\frac{1}{2}$ (это угол $-\frac{\pi}{6}$), до угла, синус которого равен $\frac{\sqrt{3}}{2}$ (это угол $\frac{\pi}{3}$). Получаем промежуток $[-\frac{\pi}{6}, \frac{\pi}{3}]$.
2. Дуга от угла, синус которого равен $\frac{\sqrt{3}}{2}$ (это угол $\frac{2\pi}{3}$), до угла, синус которого равен $-\frac{1}{2}$ (это угол $\frac{7\pi}{6}$). Получаем промежуток $[\frac{2\pi}{3}, \frac{7\pi}{6}]$.
Учитывая, что период функции синус равен $2\pi$, общее решение является объединением этих двух серий интервалов.
Преобразуем неправильную дробь $\frac{7}{6}$ в смешанное число: $\frac{7}{6} = 1\frac{1}{6}$.
Ответ: $x \in [-\frac{\pi}{6} + 2\pi k, \frac{\pi}{3} + 2\pi k] \cup [\frac{2\pi}{3} + 2\pi k, \mathbf{1}\frac{1}{6}\pi + 2\pi k]$, где $k \in \mathbb{Z}$.

б) Решим двойное неравенство $0 < \cos x \le \frac{\sqrt{2}}{2}$.
Рассмотрим решение на единичной окружности. Нас интересуют точки, у которых абсцисса (значение косинуса) больше 0 и не больше $\frac{\sqrt{2}}{2}$.
Этому условию соответствуют две дуги:
1. Дуга в первой четверти от точки, соответствующей углу $\frac{\pi}{4}$ (включительно), до точки, соответствующей углу $\frac{\pi}{2}$ (не включительно). Это дает промежуток $[\frac{\pi}{4}, \frac{\pi}{2})$.
2. Дуга в четвертой четверти от точки, соответствующей углу $-\frac{\pi}{2}$ (не включительно), до точки, соответствующей углу $-\frac{\pi}{4}$ (включительно). Это дает промежуток $(-\frac{\pi}{2}, -\frac{\pi}{4}]$.
Учитывая, что период функции косинус равен $2\pi$, общее решение является объединением этих двух серий интервалов.
Ответ: $x \in (-\frac{\pi}{2} + 2\pi k, -\frac{\pi}{4} + 2\pi k] \cup [\frac{\pi}{4} + 2\pi k, \frac{\pi}{2} + 2\pi k)$, где $k \in \mathbb{Z}$.

в) Решим двойное неравенство $1 \le \operatorname{tg} x < 2$.
Функция $y = \operatorname{tg} x$ является строго возрастающей на своем основном промежутке определения $(-\frac{\pi}{2}, \frac{\pi}{2})$.
Найдем значения $x$, для которых $\operatorname{tg} x = 1$ и $\operatorname{tg} x = 2$:
$\operatorname{tg} x = 1 \implies x = \arctan(1) = \frac{\pi}{4}$.
$\operatorname{tg} x = 2 \implies x = \arctan(2)$.
Так как тангенс — возрастающая функция, решение неравенства на одном периоде $(-\frac{\pi}{2}, \frac{\pi}{2})$ есть промежуток $[\frac{\pi}{4}, \arctan(2))$.
Период функции тангенс равен $\pi$, поэтому общее решение получаем, добавляя $\pi k$.
Ответ: $x \in [\frac{\pi}{4} + \pi k, \arctan(2) + \pi k)$, где $k \in \mathbb{Z}$.

г) Решим двойное неравенство $-\sqrt{3} < \operatorname{ctg} x < 5$.
Функция $y = \operatorname{ctg} x$ является строго убывающей на своем основном промежутке определения $(0, \pi)$.
Найдем значения $x$, для которых $\operatorname{ctg} x = -\sqrt{3}$ и $\operatorname{ctg} x = 5$:
$\operatorname{ctg} x = -\sqrt{3} \implies x = \operatorname{arcctg}(-\sqrt{3}) = \pi - \operatorname{arcctg}(\sqrt{3}) = \pi - \frac{\pi}{6} = \frac{5\pi}{6}$.
$\operatorname{ctg} x = 5 \implies x = \operatorname{arcctg}(5)$.
Так как котангенс — убывающая функция, то для всех $x$ из интервала $(\operatorname{arcctg}(5), \frac{5\pi}{6})$ будет выполняться неравенство $\operatorname{ctg}(\frac{5\pi}{6}) < \operatorname{ctg} x < \operatorname{ctg}(\operatorname{arcctg}(5))$, что соответствует $-\sqrt{3} < \operatorname{ctg} x < 5$.
Период функции котангенс равен $\pi$, поэтому общее решение получаем, добавляя $\pi k$.
Ответ: $x \in (\operatorname{arcctg}(5) + \pi k, \frac{5\pi}{6} + \pi k)$, где $k \in \mathbb{Z}$.

Помогло решение? Оставьте отзыв в комментариях ниже.

Присоединяйтесь к Телеграм-группе @gdz_by_belarus

Присоединиться

Мы подготовили для вас ответ c подробным объяснением домашего задания по алгебре за 10 класс, для упражнения номер 13.27 расположенного на странице 75 к сборнику задач 2020 года издания для учащихся школ и гимназий.

Теперь на нашем сайте ГДЗ.ТОП вы всегда легко и бесплатно найдёте условие с правильным ответом на вопрос «Как решить ДЗ» и «Как сделать» задание по алгебре к упражнению №13.27 (с. 75), авторов: Арефьева (Ирина Глебовна), Пирютко (Ольга Николаевна), базовый и повышенный уровень обучения учебного пособия издательства Народная асвета.