Номер 13.23, страница 75 - гдз по алгебре 10 класс сборник задач Арефьева, Пирютко

Алгебра, 10 класс Сборник задач, авторы: Арефьева Ирина Глебовна, Пирютко Ольга Николаевна, издательство Народная асвета, Минск, 2020, белого цвета

Авторы: Арефьева И. Г., Пирютко О. Н.

Тип: Сборник задач

Издательство: Народная асвета

Год издания: 2020 - 2025

Уровень обучения: базовый и повышенный

Цвет обложки: белый, голубой с графиком

Допущено Министерством образования Республики Беларусь

Популярные ГДЗ в 10 классе

Глава 3. Тригонометрия. Параграф 13. Тригонометрические уравнения. Тригонометрические неравенства - номер 13.23, страница 75.

№13.23 (с. 75)
Условие. №13.23 (с. 75)
скриншот условия
Алгебра, 10 класс Сборник задач, авторы: Арефьева Ирина Глебовна, Пирютко Ольга Николаевна, издательство Народная асвета, Минск, 2020, белого цвета, страница 75, номер 13.23, Условие

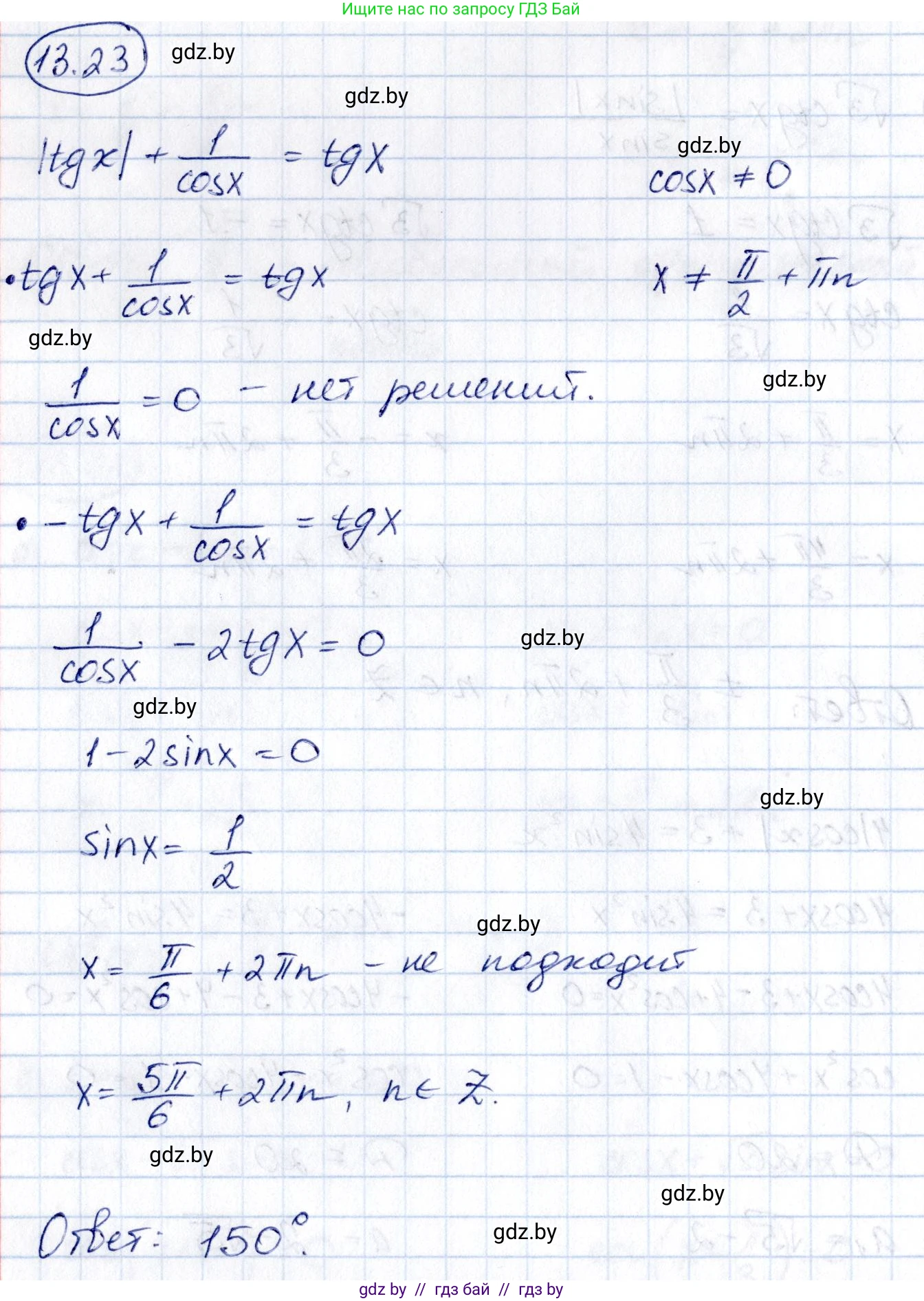
13.23. Найдите (в градусах) наименьший положительный корень уравнения $\vert \operatorname{tg}x \vert + \frac{1}{\cos x} = \operatorname{tg}x.$

Решение. №13.23 (с. 75)
Алгебра, 10 класс Сборник задач, авторы: Арефьева Ирина Глебовна, Пирютко Ольга Николаевна, издательство Народная асвета, Минск, 2020, белого цвета, страница 75, номер 13.23, Решение
Решение 2. №13.23 (с. 75)

Исходное уравнение:

$$|\text{tg}x| + \frac{1}{\cos x} = \text{tg}x$$

Сначала определим область допустимых значений (ОДЗ). Для существования тангенса и дроби необходимо, чтобы $\cos x \neq 0$, что означает $x \neq \frac{\pi}{2} + \pi n$, где $n \in \mathbb{Z}$.

Перепишем уравнение, перенеся $|\text{tg}x|$ в правую часть:

$$\frac{1}{\cos x} = \text{tg}x - |\text{tg}x|$$

Рассмотрим два возможных случая, раскрывая модуль.

Случай 1: $\text{tg}x \ge 0$.

В этом случае $|\text{tg}x| = \text{tg}x$. Подставив это в уравнение, получаем:

$$\frac{1}{\cos x} = \text{tg}x - \text{tg}x$$

$$\frac{1}{\cos x} = 0$$

Это уравнение не имеет решений, так как дробь может быть равна нулю только если ее числитель равен нулю, а в данном случае числитель равен 1.

Случай 2: $\text{tg}x < 0$.

В этом случае $|\text{tg}x| = -\text{tg}x$. Подставив это в исходное уравнение, получаем:

$$-\text{tg}x + \frac{1}{\cos x} = \text{tg}x$$

Сгруппируем члены с тангенсом:

$$\frac{1}{\cos x} = 2\text{tg}x$$

Используем определение тангенса $\text{tg}x = \frac{\sin x}{\cos x}$:

$$\frac{1}{\cos x} = 2\frac{\sin x}{\cos x}$$

Поскольку $\cos x \neq 0$ согласно ОДЗ, можно умножить обе части на $\cos x$:

$$1 = 2\sin x$$

Отсюда находим значение синуса:

$$\sin x = \frac{1}{2}$$

Решениями этого уравнения являются две серии корней: $x = \frac{\pi}{6} + 2\pi k$ и $x = \frac{5\pi}{6} + 2\pi k$, где $k \in \mathbb{Z}$.

Теперь необходимо проверить, какая из серий удовлетворяет условию нашего случая, то есть $\text{tg}x < 0$.

Корни вида $x = \frac{\pi}{6} + 2\pi k$ находятся в первой координатной четверти, где тангенс положителен ($\text{tg}x > 0$). Следовательно, эта серия корней является посторонней.

Корни вида $x = \frac{5\pi}{6} + 2\pi k$ находятся во второй координатной четверти, где тангенс отрицателен ($\text{tg}x < 0$). Эта серия корней удовлетворяет условию, а значит, является решением исходного уравнения.

Теперь найдем наименьший положительный корень из серии $x = \frac{5\pi}{6} + 2\pi k$.

При $k=0$ получаем $x = \frac{5\pi}{6}$. Это положительное число.

При $k=-1$ получаем $x = \frac{5\pi}{6} - 2\pi = -\frac{7\pi}{6}$. Это отрицательное число.

При $k=1$ получаем $x = \frac{5\pi}{6} + 2\pi = \frac{17\pi}{6}$. Это положительное число, но больше, чем $\frac{5\pi}{6}$.

Значит, наименьший положительный корень равен $\frac{5\pi}{6}$ радиан.

По условию задачи, ответ нужно дать в градусах. Переведем радианы в градусы:

$$x = \frac{5\pi}{6} \cdot \frac{180^\circ}{\pi} = 5 \cdot 30^\circ = 150^\circ$$

Найдите (в градусах) наименьший положительный корень уравнения $|\text{tg}x|+\frac{1}{\cos x}=\text{tg}x$. Ответ: 150

Помогло решение? Оставьте отзыв в комментариях ниже.

Присоединяйтесь к Телеграм-группе @gdz_by_belarus

Присоединиться

Мы подготовили для вас ответ c подробным объяснением домашего задания по алгебре за 10 класс, для упражнения номер 13.23 расположенного на странице 75 к сборнику задач 2020 года издания для учащихся школ и гимназий.

Теперь на нашем сайте ГДЗ.ТОП вы всегда легко и бесплатно найдёте условие с правильным ответом на вопрос «Как решить ДЗ» и «Как сделать» задание по алгебре к упражнению №13.23 (с. 75), авторов: Арефьева (Ирина Глебовна), Пирютко (Ольга Николаевна), базовый и повышенный уровень обучения учебного пособия издательства Народная асвета.