Номер 26.15, страница 128 - гдз по алгебре 10 класс сборник задач Арефьева, Пирютко

Алгебра, 10 класс Сборник задач, авторы: Арефьева Ирина Глебовна, Пирютко Ольга Николаевна, издательство Народная асвета, Минск, 2020, белого цвета

Авторы: Арефьева И. Г., Пирютко О. Н.

Тип: Сборник задач

Издательство: Народная асвета

Год издания: 2020 - 2025

Уровень обучения: базовый и повышенный

Цвет обложки: белый, голубой с графиком

Допущено Министерством образования Республики Беларусь

Популярные ГДЗ в 10 классе

Глава 5. Производная. Параграф 26. Производная сложной функции. Производная обратной функции. Производные тригонометрических функций - номер 26.15, страница 128.

№26.15 (с. 128)
Условие. №26.15 (с. 128)
скриншот условия
Алгебра, 10 класс Сборник задач, авторы: Арефьева Ирина Глебовна, Пирютко Ольга Николаевна, издательство Народная асвета, Минск, 2020, белого цвета, страница 128, номер 26.15, Условие

26.15. Решите уравнение $f'(x) = g'(x)$, если:

a) $f(x) = \sin\left(2x - \frac{\pi}{3}\right)$, $g(x) = \cos\left(2x - \frac{\pi}{3}\right);$

б) $f(x) = \operatorname{ctg}3x$, $g(x) = 5 - 3x.$

Решение. №26.15 (с. 128)
Алгебра, 10 класс Сборник задач, авторы: Арефьева Ирина Глебовна, Пирютко Ольга Николаевна, издательство Народная асвета, Минск, 2020, белого цвета, страница 128, номер 26.15, Решение Алгебра, 10 класс Сборник задач, авторы: Арефьева Ирина Глебовна, Пирютко Ольга Николаевна, издательство Народная асвета, Минск, 2020, белого цвета, страница 128, номер 26.15, Решение (продолжение 2)
Решение 2. №26.15 (с. 128)

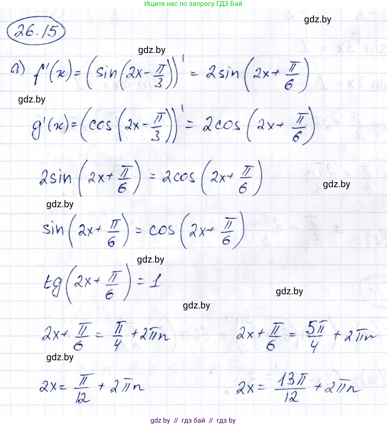
а) Чтобы решить уравнение $f'(x) = g'(x)$, необходимо найти производные заданных функций и приравнять их.

Даны функции: $f(x) = \sin(2x - \frac{\pi}{3})$ и $g(x) = \cos(2x - \frac{\pi}{3})$.

1. Находим производную функции $f(x)$, используя правило дифференцирования сложной функции $(u(v(x)))' = u'(v(x)) \cdot v'(x)$:

$f'(x) = (\sin(2x - \frac{\pi}{3}))' = \cos(2x - \frac{\pi}{3}) \cdot (2x - \frac{\pi}{3})' = 2\cos(2x - \frac{\pi}{3})$.

2. Аналогично находим производную функции $g(x)$:

$g'(x) = (\cos(2x - \frac{\pi}{3}))' = -\sin(2x - \frac{\pi}{3}) \cdot (2x - \frac{\pi}{3})' = -2\sin(2x - \frac{\pi}{3})$.

3. Составляем уравнение $f'(x) = g'(x)$:

$2\cos(2x - \frac{\pi}{3}) = -2\sin(2x - \frac{\pi}{3})$.

4. Решаем полученное тригонометрическое уравнение. Сократим обе части на 2:

$\cos(2x - \frac{\pi}{3}) = -\sin(2x - \frac{\pi}{3})$.

Разделим обе части уравнения на $\cos(2x - \frac{\pi}{3})$. Это возможно, так как если $\cos(2x - \frac{\pi}{3}) = 0$, то $\sin(2x - \frac{\pi}{3}) = \pm 1$, и равенство $0 = \mp 1$ неверно.

$1 = -\frac{\sin(2x - \frac{\pi}{3})}{\cos(2x - \frac{\pi}{3})}$

$1 = -\tan(2x - \frac{\pi}{3})$

$\tan(2x - \frac{\pi}{3}) = -1$.

5. Находим общее решение. Аргумент тангенса равен:

$2x - \frac{\pi}{3} = \arctan(-1) + \pi k$, где $k \in \mathbb{Z}$.

$2x - \frac{\pi}{3} = -\frac{\pi}{4} + \pi k$.

Выразим $x$:

$2x = \frac{\pi}{3} - \frac{\pi}{4} + \pi k$

$2x = \frac{4\pi - 3\pi}{12} + \pi k$

$2x = \frac{\pi}{12} + \pi k$

$x = \frac{\pi}{24} + \frac{\pi k}{2}$, где $k \in \mathbb{Z}$.

Ответ: $x = \frac{\pi}{24} + \frac{\pi k}{2}$, где $k \in \mathbb{Z}$.

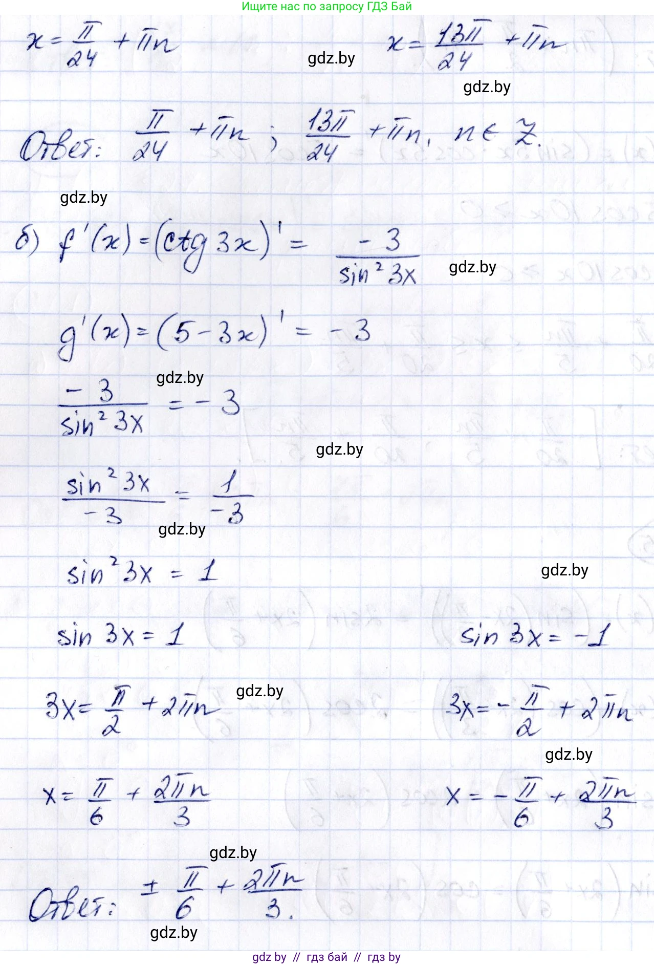
б) Даны функции: $f(x) = \operatorname{ctg}3x$ и $g(x) = 5 - 3x$.

1. Находим производную функции $f(x)$:

$f'(x) = (\operatorname{ctg}(3x))' = -\frac{1}{\sin^2(3x)} \cdot (3x)' = -\frac{3}{\sin^2(3x)}$.

2. Находим производную функции $g(x)$:

$g'(x) = (5 - 3x)' = -3$.

3. Приравниваем производные $f'(x) = g'(x)$:

$-\frac{3}{\sin^2(3x)} = -3$.

4. Решаем уравнение. Умножим обе части на -1 и сократим на 3:

$\frac{1}{\sin^2(3x)} = 1$.

Отсюда следует, что $\sin^2(3x) = 1$.

Это уравнение распадается на два: $\sin(3x) = 1$ и $\sin(3x) = -1$.

5. Эти два случая можно объединить в одно общее решение. Значения синуса равны $\pm 1$ в точках вида $\frac{\pi}{2} + \pi k$.

$3x = \frac{\pi}{2} + \pi k$, где $k \in \mathbb{Z}$.

Разделим обе части на 3, чтобы найти $x$:

$x = \frac{\pi}{6} + \frac{\pi k}{3}$, где $k \in \mathbb{Z}$.

Ответ: $x = \frac{\pi}{6} + \frac{\pi k}{3}$, где $k \in \mathbb{Z}$.

Помогло решение? Оставьте отзыв в комментариях ниже.

Присоединяйтесь к Телеграм-группе @gdz_by_belarus

Присоединиться

Мы подготовили для вас ответ c подробным объяснением домашего задания по алгебре за 10 класс, для упражнения номер 26.15 расположенного на странице 128 к сборнику задач 2020 года издания для учащихся школ и гимназий.

Теперь на нашем сайте ГДЗ.ТОП вы всегда легко и бесплатно найдёте условие с правильным ответом на вопрос «Как решить ДЗ» и «Как сделать» задание по алгебре к упражнению №26.15 (с. 128), авторов: Арефьева (Ирина Глебовна), Пирютко (Ольга Николаевна), базовый и повышенный уровень обучения учебного пособия издательства Народная асвета.