Номер 26.9, страница 127 - гдз по алгебре 10 класс сборник задач Арефьева, Пирютко

Алгебра, 10 класс Сборник задач, авторы: Арефьева Ирина Глебовна, Пирютко Ольга Николаевна, издательство Народная асвета, Минск, 2020, белого цвета

Авторы: Арефьева И. Г., Пирютко О. Н.

Тип: Сборник задач

Издательство: Народная асвета

Год издания: 2020 - 2025

Уровень обучения: базовый и повышенный

Цвет обложки: белый, голубой с графиком

Допущено Министерством образования Республики Беларусь

Популярные ГДЗ в 10 классе

Глава 5. Производная. Параграф 26. Производная сложной функции. Производная обратной функции. Производные тригонометрических функций - номер 26.9, страница 127.

№26.9 (с. 127)
Условие. №26.9 (с. 127)
скриншот условия
Алгебра, 10 класс Сборник задач, авторы: Арефьева Ирина Глебовна, Пирютко Ольга Николаевна, издательство Народная асвета, Минск, 2020, белого цвета, страница 127, номер 26.9, Условие

26.9. Найдите наименьший положительный корень уравнения $f'(x) = 0$,

если $f(x) = 3 + \sin(\pi + x) - 2\cos\frac{5\pi + x}{2}$.

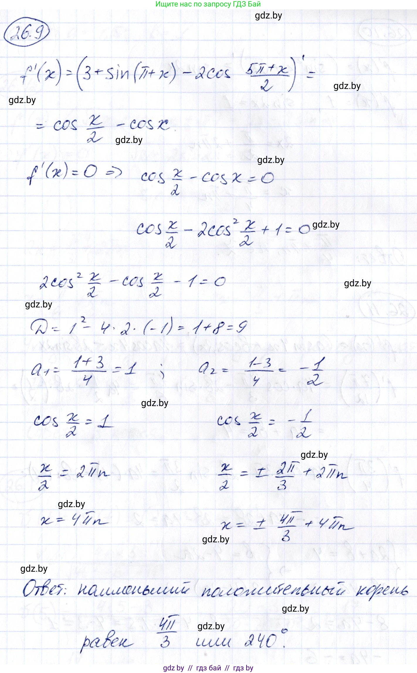
Решение. №26.9 (с. 127)
Алгебра, 10 класс Сборник задач, авторы: Арефьева Ирина Глебовна, Пирютко Ольга Николаевна, издательство Народная асвета, Минск, 2020, белого цвета, страница 127, номер 26.9, Решение
Решение 2. №26.9 (с. 127)

26.9.

Для того чтобы найти наименьший положительный корень уравнения $f'(x) = 0$, сначала необходимо упростить данную функцию $f(x) = 3 + \sin(\pi + x) - 2\cos\frac{5\pi + x}{2}$, а затем найти её производную.

1. Упростим функцию $f(x)$, используя тригонометрические формулы приведения:

  • $\sin(\pi + x) = -\sin(x)$ (синус отрицателен в III четверти)
  • $\cos\frac{5\pi + x}{2} = \cos(\frac{4\pi}{2} + \frac{\pi + x}{2}) = \cos(2\pi + \frac{\pi + x}{2}) = \cos(\frac{\pi}{2} + \frac{x}{2}) = -\sin(\frac{x}{2})$ (по формуле приведения)

Подставим упрощенные выражения обратно в функцию:$f(x) = 3 - \sin(x) - 2(-\sin(\frac{x}{2})) = 3 - \sin(x) + 2\sin(\frac{x}{2})$.

2. Теперь найдем производную функции $f(x)$:$f'(x) = (3 - \sin(x) + 2\sin(\frac{x}{2}))' = 0 - \cos(x) + 2\cos(\frac{x}{2}) \cdot (\frac{x}{2})' = -\cos(x) + 2\cos(\frac{x}{2}) \cdot \frac{1}{2} = \cos(\frac{x}{2}) - \cos(x)$.

3. Решим уравнение $f'(x) = 0$:$\cos(\frac{x}{2}) - \cos(x) = 0$$\cos(\frac{x}{2}) = \cos(x)$Общее решение уравнения $\cos a = \cos b$ имеет вид $a = \pm b + 2\pi k$, где $k \in \mathbb{Z}$. Применим это к нашему уравнению:$\frac{x}{2} = \pm x + 2\pi k$.

Рассмотрим два случая:

  • $\frac{x}{2} = x + 2\pi k \implies -\frac{x}{2} = 2\pi k \implies x = -4\pi k$. Поскольку $k$ - любое целое число, мы можем заменить $-k$ на $m$ и записать серию корней как $x = 4\pi m$, где $m \in \mathbb{Z}$.
  • $\frac{x}{2} = -x + 2\pi k \implies \frac{3x}{2} = 2\pi k \implies x = \frac{4\pi k}{3}$, где $k \in \mathbb{Z}$.

4. Найдем наименьший положительный корень ($x > 0$).

  • Из серии $x = 4\pi m$, наименьший положительный корень получается при $m = 1$: $x = 4\pi$.
  • Из серии $x = \frac{4\pi k}{3}$, наименьший положительный корень получается при $k = 1$: $x = \frac{4\pi}{3}$.

Сравнивая два наименьших положительных корня из каждой серии, $4\pi$ и $\frac{4\pi}{3}$, мы видим, что наименьшим является $\frac{4\pi}{3}$.

Коэффициент при $\pi$ в ответе представляет собой неправильную дробь $\frac{4}{3}$. Чтобы выделить из нее целую часть, представим ее в виде смешанного числа: $\frac{4}{3} = 1\frac{1}{3}$. Целая часть равна 1.
Ответ: $\mathbf{1}\frac{1}{3}\pi$

Помогло решение? Оставьте отзыв в комментариях ниже.

Присоединяйтесь к Телеграм-группе @gdz_by_belarus

Присоединиться

Мы подготовили для вас ответ c подробным объяснением домашего задания по алгебре за 10 класс, для упражнения номер 26.9 расположенного на странице 127 к сборнику задач 2020 года издания для учащихся школ и гимназий.

Теперь на нашем сайте ГДЗ.ТОП вы всегда легко и бесплатно найдёте условие с правильным ответом на вопрос «Как решить ДЗ» и «Как сделать» задание по алгебре к упражнению №26.9 (с. 127), авторов: Арефьева (Ирина Глебовна), Пирютко (Ольга Николаевна), базовый и повышенный уровень обучения учебного пособия издательства Народная асвета.