Номер 26.7, страница 127 - гдз по алгебре 10 класс сборник задач Арефьева, Пирютко

Алгебра, 10 класс Сборник задач, авторы: Арефьева Ирина Глебовна, Пирютко Ольга Николаевна, издательство Народная асвета, Минск, 2020, белого цвета

Авторы: Арефьева И. Г., Пирютко О. Н.

Тип: Сборник задач

Издательство: Народная асвета

Год издания: 2020 - 2025

Уровень обучения: базовый и повышенный

Цвет обложки: белый, голубой с графиком

Допущено Министерством образования Республики Беларусь

Популярные ГДЗ в 10 классе

Глава 5. Производная. Параграф 26. Производная сложной функции. Производная обратной функции. Производные тригонометрических функций - номер 26.7, страница 127.

№26.7 (с. 127)
Условие. №26.7 (с. 127)
скриншот условия
Алгебра, 10 класс Сборник задач, авторы: Арефьева Ирина Глебовна, Пирютко Ольга Николаевна, издательство Народная асвета, Минск, 2020, белого цвета, страница 127, номер 26.7, Условие

26.7. Вычислите:

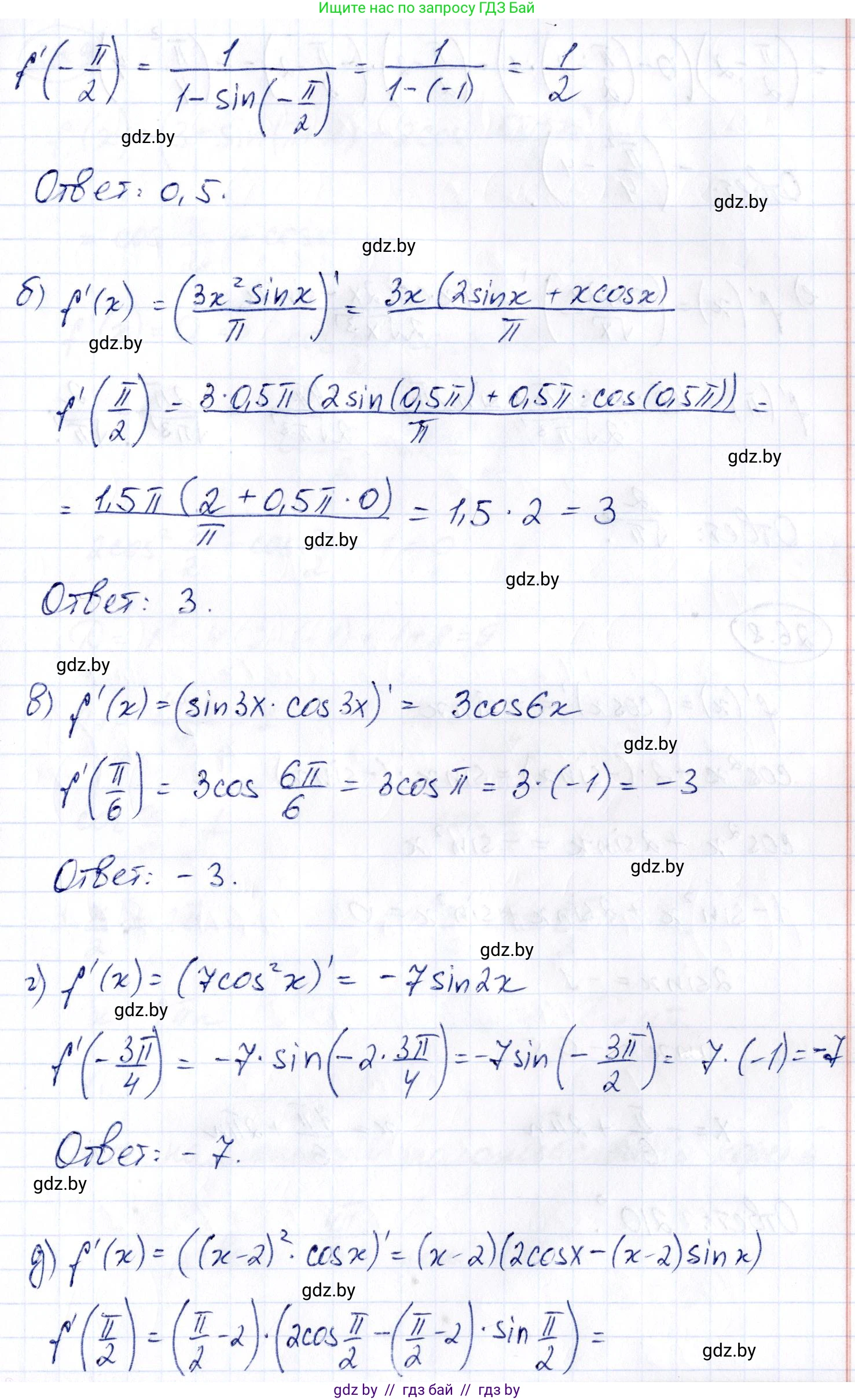
а) $f'(-\frac{\pi}{2})$, если $f(x) = \frac{\cos x}{1 - \sin x}$;

б) $f'(0,5\pi)$, если $f(x) = \frac{3}{\pi}x^2 \sin x$;

в) $f'(\frac{\pi}{6})$, если $f(x) = \sin 3x \cos 3x$;

г) $f'(-\frac{3\pi}{4})$, если $f(x) = 7\cos^2 x$;

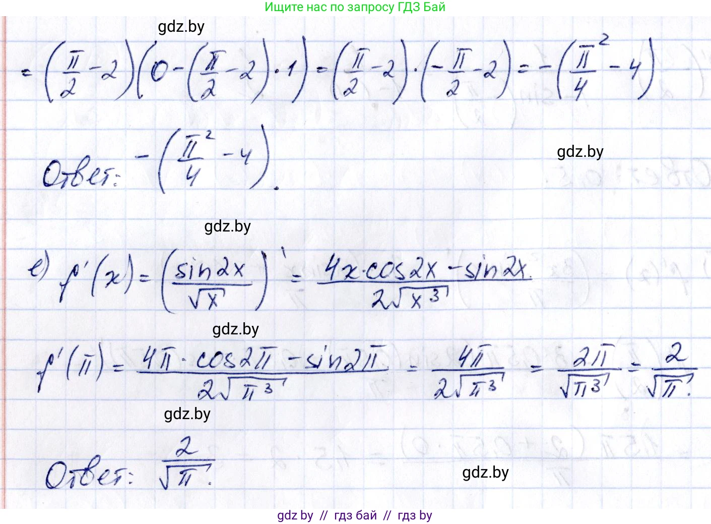
д) $f'(\frac{\pi}{2})$, если $f(x) = (x - 2)^2 \cdot \cos x$;

е) $f'(\pi)$, если $f(x) = \frac{\sin 2x}{\sqrt{x}}$.

Решение. №26.7 (с. 127)
Алгебра, 10 класс Сборник задач, авторы: Арефьева Ирина Глебовна, Пирютко Ольга Николаевна, издательство Народная асвета, Минск, 2020, белого цвета, страница 127, номер 26.7, Решение Алгебра, 10 класс Сборник задач, авторы: Арефьева Ирина Глебовна, Пирютко Ольга Николаевна, издательство Народная асвета, Минск, 2020, белого цвета, страница 127, номер 26.7, Решение (продолжение 2)
Решение 2. №26.7 (с. 127)

а) Для функции $f(x) = \frac{\cos x}{1 - \sin x}$ найдём производную, используя правило дифференцирования частного $(\frac{u}{v})' = \frac{u'v - uv'}{v^2}$.
$f'(x) = \frac{(\cos x)'(1 - \sin x) - \cos x(1 - \sin x)'}{(1 - \sin x)^2} = \frac{-\sin x(1 - \sin x) - \cos x(-\cos x)}{(1 - \sin x)^2}$
$f'(x) = \frac{-\sin x + \sin^2 x + \cos^2 x}{(1 - \sin x)^2}$
Используя основное тригонометрическое тождество $\sin^2 x + \cos^2 x = 1$, получаем:
$f'(x) = \frac{1 - \sin x}{(1 - \sin x)^2} = \frac{1}{1 - \sin x}$.
Теперь вычислим значение производной в точке $x = -\frac{\pi}{2}$:
$f'(-\frac{\pi}{2}) = \frac{1}{1 - \sin(-\frac{\pi}{2})} = \frac{1}{1 - (-1)} = \frac{1}{2}$.
Ответ: $\frac{1}{2}$.

б) Для функции $f(x) = \frac{3}{\pi}x^2 \sin x$ найдём производную, используя правило дифференцирования произведения $(uv)' = u'v + uv'$.
$f'(x) = (\frac{3}{\pi}x^2)' \sin x + \frac{3}{\pi}x^2 (\sin x)' = \frac{6x}{\pi} \sin x + \frac{3x^2}{\pi} \cos x$.
Вычислим значение производной в точке $x = 0,5\pi = \frac{\pi}{2}$:
$f'(0,5\pi) = \frac{6(\frac{\pi}{2})}{\pi} \sin(\frac{\pi}{2}) + \frac{3(\frac{\pi}{2})^2}{\pi} \cos(\frac{\pi}{2})$
Так как $\sin(\frac{\pi}{2}) = 1$ и $\cos(\frac{\pi}{2}) = 0$, то:
$f'(0,5\pi) = \frac{3\pi}{\pi} \cdot 1 + \frac{3\pi^2}{4\pi} \cdot 0 = 3$.
Ответ: 3.

в) Для функции $f(x) = \sin 3x \cos 3x$ сначала применим формулу синуса двойного угла $\sin 2\alpha = 2\sin\alpha\cos\alpha$.
$f(x) = \frac{1}{2}(2\sin 3x \cos 3x) = \frac{1}{2}\sin(2 \cdot 3x) = \frac{1}{2}\sin 6x$.
Теперь найдём производную:
$f'(x) = (\frac{1}{2}\sin 6x)' = \frac{1}{2}\cos(6x) \cdot (6x)' = \frac{1}{2}\cos(6x) \cdot 6 = 3\cos 6x$.
Вычислим значение производной в точке $x = \frac{\pi}{6}$:
$f'(\frac{\pi}{6}) = 3\cos(6 \cdot \frac{\pi}{6}) = 3\cos(\pi) = 3 \cdot (-1) = -3$.
Ответ: -3.

г) Для функции $f(x) = 7\cos^2 x$ найдём производную, используя правило дифференцирования сложной функции.
$f'(x) = 7 \cdot ((\cos x)^2)' = 7 \cdot 2\cos x \cdot (\cos x)' = 14\cos x (-\sin x) = -14\sin x \cos x$.
Используя формулу синуса двойного угла $2\sin x \cos x = \sin 2x$, упростим:
$f'(x) = -7(2\sin x \cos x) = -7\sin 2x$.
Вычислим значение производной в точке $x = -\frac{3\pi}{4}$:
$f'(-\frac{3\pi}{4}) = -7\sin(2 \cdot (-\frac{3\pi}{4})) = -7\sin(-\frac{3\pi}{2})$.
Так как $\sin(-y) = -\sin y$ и $\sin(\frac{3\pi}{2}) = -1$:
$f'(-\frac{3\pi}{4}) = 7\sin(\frac{3\pi}{2}) = 7 \cdot (-1) = -7$.
Ответ: -7.

д) Для функции $f(x) = (x-2)^2 \cdot \cos x$ найдём производную, используя правило дифференцирования произведения $(uv)' = u'v + uv'$.
$f'(x) = ((x-2)^2)'\cos x + (x-2)^2(\cos x)' = 2(x-2)\cos x - (x-2)^2\sin x$.
Вычислим значение производной в точке $x = \frac{\pi}{2}$:
$f'(\frac{\pi}{2}) = 2(\frac{\pi}{2} - 2)\cos(\frac{\pi}{2}) - (\frac{\pi}{2} - 2)^2\sin(\frac{\pi}{2})$.
Так как $\cos(\frac{\pi}{2}) = 0$ и $\sin(\frac{\pi}{2}) = 1$:
$f'(\frac{\pi}{2}) = 2(\frac{\pi}{2} - 2) \cdot 0 - (\frac{\pi}{2} - 2)^2 \cdot 1 = -(\frac{\pi}{2} - 2)^2$.
Раскроем скобки: $-(\frac{\pi^2}{4} - 2\pi + 4) = -\frac{\pi^2}{4} + 2\pi - 4$.
Ответ: $-\frac{\pi^2}{4} + 2\pi - 4$.

е) Для функции $f(x) = \frac{\sin 2x}{\sqrt{x}}$ найдём производную, используя правило дифференцирования частного $(\frac{u}{v})' = \frac{u'v - uv'}{v^2}$.
$f'(x) = \frac{(\sin 2x)'\sqrt{x} - \sin 2x (\sqrt{x})'}{(\sqrt{x})^2} = \frac{2\cos(2x)\sqrt{x} - \sin(2x)\frac{1}{2\sqrt{x}}}{x}$.
Вычислим значение производной в точке $x = \pi$:
$f'(\pi) = \frac{2\cos(2\pi)\sqrt{\pi} - \sin(2\pi)\frac{1}{2\sqrt{\pi}}}{\pi}$.
Так как $\cos(2\pi) = 1$ и $\sin(2\pi) = 0$:
$f'(\pi) = \frac{2 \cdot 1 \cdot \sqrt{\pi} - 0}{\pi} = \frac{2\sqrt{\pi}}{\pi} = \frac{2}{\sqrt{\pi}}$.
Ответ: $\frac{2}{\sqrt{\pi}}$.

Помогло решение? Оставьте отзыв в комментариях ниже.

Присоединяйтесь к Телеграм-группе @gdz_by_belarus

Присоединиться

Мы подготовили для вас ответ c подробным объяснением домашего задания по алгебре за 10 класс, для упражнения номер 26.7 расположенного на странице 127 к сборнику задач 2020 года издания для учащихся школ и гимназий.

Теперь на нашем сайте ГДЗ.ТОП вы всегда легко и бесплатно найдёте условие с правильным ответом на вопрос «Как решить ДЗ» и «Как сделать» задание по алгебре к упражнению №26.7 (с. 127), авторов: Арефьева (Ирина Глебовна), Пирютко (Ольга Николаевна), базовый и повышенный уровень обучения учебного пособия издательства Народная асвета.