Номер 26.11, страница 127 - гдз по алгебре 10 класс сборник задач Арефьева, Пирютко

Алгебра, 10 класс Сборник задач, авторы: Арефьева Ирина Глебовна, Пирютко Ольга Николаевна, издательство Народная асвета, Минск, 2020, белого цвета

Авторы: Арефьева И. Г., Пирютко О. Н.

Тип: Сборник задач

Издательство: Народная асвета

Год издания: 2020 - 2025

Уровень обучения: базовый и повышенный

Цвет обложки: белый, голубой с графиком

Допущено Министерством образования Республики Беларусь

Популярные ГДЗ в 10 классе

Глава 5. Производная. Параграф 26. Производная сложной функции. Производная обратной функции. Производные тригонометрических функций - номер 26.11, страница 127.

№26.11 (с. 127)
Условие. №26.11 (с. 127)
скриншот условия
Алгебра, 10 класс Сборник задач, авторы: Арефьева Ирина Глебовна, Пирютко Ольга Николаевна, издательство Народная асвета, Минск, 2020, белого цвета, страница 127, номер 26.11, Условие

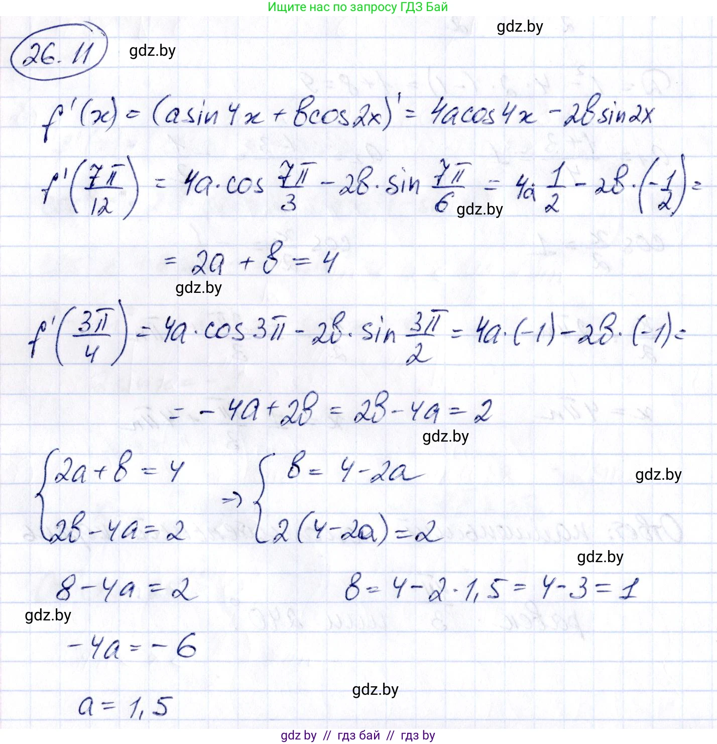
26.11. Дана функция $f(x) = a \sin 4x + b \cos 2x$. Найдите $a$ и $b$, если известно, что $f'\left(\frac{7\pi}{12}\right) = 4$ и $f'\left(\frac{3\pi}{4}\right) = 2.$

Решение. №26.11 (с. 127)
Алгебра, 10 класс Сборник задач, авторы: Арефьева Ирина Глебовна, Пирютко Ольга Николаевна, издательство Народная асвета, Минск, 2020, белого цвета, страница 127, номер 26.11, Решение Алгебра, 10 класс Сборник задач, авторы: Арефьева Ирина Глебовна, Пирютко Ольга Николаевна, издательство Народная асвета, Минск, 2020, белого цвета, страница 127, номер 26.11, Решение (продолжение 2)
Решение 2. №26.11 (с. 127)

Дана функция $f(x) = a \sin(4x) + b \cos(2x)$. Для того чтобы найти неизвестные коэффициенты $a$ и $b$, необходимо сначала найти производную данной функции $f'(x)$.

Используя правила дифференцирования, в частности производную сложной функции, находим производную для каждого слагаемого:
$(\sin(kx))' = k \cos(kx)$
$(\cos(kx))' = -k \sin(kx)$
Применяя эти правила к нашей функции, получаем:
$f'(x) = (a \sin(4x))' + (b \cos(2x))' = a \cdot 4 \cos(4x) + b \cdot (-2 \sin(2x)) = 4a \cos(4x) - 2b \sin(2x)$.

Теперь мы можем использовать известные значения производной в заданных точках, чтобы составить систему уравнений.

1. Используем условие $f'(\frac{7\pi}{12}) = 4$:
$f'(\frac{7\pi}{12}) = 4a \cos(4 \cdot \frac{7\pi}{12}) - 2b \sin(2 \cdot \frac{7\pi}{12}) = 4a \cos(\frac{7\pi}{3}) - 2b \sin(\frac{7\pi}{6})$.
Вычислим значения тригонометрических функций:
$\cos(\frac{7\pi}{3}) = \cos(2\pi + \frac{\pi}{3}) = \cos(\frac{\pi}{3}) = \frac{1}{2}$
$\sin(\frac{7\pi}{6}) = \sin(\pi + \frac{\pi}{6}) = -\sin(\frac{\pi}{6}) = -\frac{1}{2}$
Подставим эти значения обратно в уравнение:
$4a(\frac{1}{2}) - 2b(-\frac{1}{2}) = 2a + b$.
Так как $f'(\frac{7\pi}{12}) = 4$, мы получаем первое уравнение: $2a + b = 4$.

2. Используем условие $f'(\frac{3\pi}{4}) = 2$:
$f'(\frac{3\pi}{4}) = 4a \cos(4 \cdot \frac{3\pi}{4}) - 2b \sin(2 \cdot \frac{3\pi}{4}) = 4a \cos(3\pi) - 2b \sin(\frac{3\pi}{2})$.
Вычислим значения тригонометрических функций:
$\cos(3\pi) = -1$
$\sin(\frac{3\pi}{2}) = -1$
Подставим эти значения:
$4a(-1) - 2b(-1) = -4a + 2b$.
Так как $f'(\frac{3\pi}{4}) = 2$, мы получаем второе уравнение: $-4a + 2b = 2$. Упростим его, разделив обе части на 2: $-2a + b = 1$.

Теперь у нас есть система двух линейных уравнений с двумя переменными:
$\begin{cases} 2a + b = 4 \\ -2a + b = 1 \end{cases}$

Решим эту систему. Сложим первое и второе уравнения, чтобы найти $b$:
$(2a + b) + (-2a + b) = 4 + 1$
$2b = 5$
$b = \frac{5}{2}$

Теперь подставим значение $b$ в первое уравнение ($2a + b = 4$), чтобы найти $a$:
$2a + \frac{5}{2} = 4$
$2a = 4 - \frac{5}{2} = \frac{8}{2} - \frac{5}{2} = \frac{3}{2}$
$a = \frac{3}{4}$

a: Ответ: $\frac{3}{4}$

b: Ответ: 2$\frac{1}{2}$

Помогло решение? Оставьте отзыв в комментариях ниже.

Присоединяйтесь к Телеграм-группе @gdz_by_belarus

Присоединиться

Мы подготовили для вас ответ c подробным объяснением домашего задания по алгебре за 10 класс, для упражнения номер 26.11 расположенного на странице 127 к сборнику задач 2020 года издания для учащихся школ и гимназий.

Теперь на нашем сайте ГДЗ.ТОП вы всегда легко и бесплатно найдёте условие с правильным ответом на вопрос «Как решить ДЗ» и «Как сделать» задание по алгебре к упражнению №26.11 (с. 127), авторов: Арефьева (Ирина Глебовна), Пирютко (Ольга Николаевна), базовый и повышенный уровень обучения учебного пособия издательства Народная асвета.