Номер 1.388, страница 126 - гдз по алгебре 10 класс учебник Арефьева, Пирютко

Алгебра, 10 класс Учебник, авторы: Арефьева Ирина Глебовна, Пирютко Ольга Николаевна, издательство Народная асвета, Минск, 2019, голубого цвета

Авторы: Арефьева И. Г., Пирютко О. Н.

Тип: Учебник

Издательство: Народная асвета

Год издания: 2019 - 2025

Цвет обложки: голубой с графиком

Допущено Министерством образования Республики Беларусь

Популярные ГДЗ в 10 классе

Глава 1. Тригонометрия. Параграф 9. Формулы приведения - номер 1.388, страница 126.

№1.388 (с. 126)
Условие. №1.388 (с. 126)
скриншот условия
Алгебра, 10 класс Учебник, авторы: Арефьева Ирина Глебовна, Пирютко Ольга Николаевна, издательство Народная асвета, Минск, 2019, голубого цвета, страница 126, номер 1.388, Условие

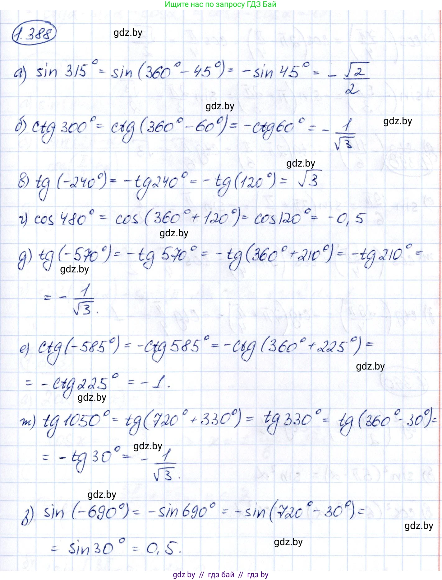
1.388. Найдите значение выражения, используя периодичность тригонометрических функций и формулы приведения:

а) $\sin 315^\circ$;

б) $\ctg 300^\circ$;

в) $\operatorname{tg} (-240^\circ)$;

г) $\cos 480^\circ$;

д) $\operatorname{tg} (-570^\circ)$;

е) $\ctg (-585^\circ)$;

ж) $\operatorname{tg} 1050^\circ$;

з) $\sin (-690^\circ)$.

Решение. №1.388 (с. 126)
Алгебра, 10 класс Учебник, авторы: Арефьева Ирина Глебовна, Пирютко Ольга Николаевна, издательство Народная асвета, Минск, 2019, голубого цвета, страница 126, номер 1.388, Решение
Решение 2. №1.388 (с. 126)

Для решения задачи воспользуемся свойствами периодичности тригонометрических функций и формулами приведения.

  • Период функций синус и косинус равен $360^\circ$ ($2\pi$ радиан). $f(x) = f(x + 360^\circ \cdot n)$, где $n$ - целое число.
  • Период функций тангенс и котангенс равен $180^\circ$ ($\pi$ радиан). $f(x) = f(x + 180^\circ \cdot n)$, где $n$ - целое число.
  • Формулы приведения позволяют свести вычисление значения функции от произвольного угла к вычислению значения от угла в первой четверти ($0^\circ..90^\circ$).
  • Свойства четности/нечетности: $\cos(-\alpha) = \cos(\alpha)$ (четная), $\sin(-\alpha) = -\sin(\alpha)$, $\text{tg}(-\alpha) = -\text{tg}(\alpha)$, $\text{ctg}(-\alpha) = -\text{ctg}(\alpha)$ (нечетные).
а) $\sin 315^\circ$

Угол $315^\circ$ находится в IV четверти. Используем формулу приведения, представив $315^\circ$ как $360^\circ - 45^\circ$.

$\sin(315^\circ) = \sin(360^\circ - 45^\circ)$

По формуле приведения $\sin(360^\circ - \alpha) = -\sin(\alpha)$, так как синус в IV четверти отрицателен.

$\sin(360^\circ - 45^\circ) = -\sin(45^\circ) = -\frac{\sqrt{2}}{2}$

Ответ: $-\frac{\sqrt{2}}{2}$

б) $\text{ctg } 300^\circ$

Угол $300^\circ$ находится в IV четверти. Используем формулу приведения, представив $300^\circ$ как $360^\circ - 60^\circ$.

$\text{ctg}(300^\circ) = \text{ctg}(360^\circ - 60^\circ)$

По формуле приведения $\text{ctg}(360^\circ - \alpha) = -\text{ctg}(\alpha)$, так как котангенс в IV четверти отрицателен.

$\text{ctg}(360^\circ - 60^\circ) = -\text{ctg}(60^\circ) = -\frac{1}{\sqrt{3}} = -\frac{\sqrt{3}}{3}$

Ответ: $-\frac{\sqrt{3}}{3}$

в) $\text{tg}(-240^\circ)$

Тангенс - нечетная функция, поэтому $\text{tg}(-\alpha) = -\text{tg}(\alpha)$.

$\text{tg}(-240^\circ) = -\text{tg}(240^\circ)$

Упростим $\text{tg}(240^\circ)$. Угол $240^\circ$ находится в III четверти. Представим $240^\circ$ как $180^\circ + 60^\circ$.

$\text{tg}(240^\circ) = \text{tg}(180^\circ + 60^\circ)$

По формуле приведения $\text{tg}(180^\circ + \alpha) = \text{tg}(\alpha)$, так как тангенс в III четверти положителен.

$\text{tg}(180^\circ + 60^\circ) = \text{tg}(60^\circ) = \sqrt{3}$

Следовательно: $\text{tg}(-240^\circ) = -\text{tg}(240^\circ) = -\sqrt{3}$

Ответ: $-\sqrt{3}$

г) $\cos 480^\circ$

Воспользуемся периодичностью функции косинус. Период косинуса равен $360^\circ$.

$\cos(480^\circ) = \cos(360^\circ + 120^\circ) = \cos(120^\circ)$

Угол $120^\circ$ находится во II четверти. Используем формулу приведения, представив $120^\circ$ как $180^\circ - 60^\circ$.

$\cos(120^\circ) = \cos(180^\circ - 60^\circ)$

По формуле приведения $\cos(180^\circ - \alpha) = -\cos(\alpha)$, так как косинус во II четверти отрицателен.

$\cos(180^\circ - 60^\circ) = -\cos(60^\circ) = -\frac{1}{2}$

Ответ: $-\frac{1}{2}$

д) $\text{tg}(-570^\circ)$

Воспользуемся периодичностью тангенса (период $180^\circ$). Добавим к аргументу кратное $180^\circ$ число, чтобы получить положительный угол.

$4 \cdot 180^\circ = 720^\circ$

$\text{tg}(-570^\circ) = \text{tg}(-570^\circ + 720^\circ) = \text{tg}(150^\circ)$

Угол $150^\circ$ находится во II четверти. По формуле приведения $\text{tg}(180^\circ - \alpha) = -\text{tg}(\alpha)$.

$\text{tg}(150^\circ) = \text{tg}(180^\circ - 30^\circ) = -\text{tg}(30^\circ) = -\frac{1}{\sqrt{3}} = -\frac{\sqrt{3}}{3}$

Ответ: $-\frac{\sqrt{3}}{3}$

е) $\text{ctg}(-585^\circ)$

Воспользуемся периодичностью котангенса (период $180^\circ$).

$4 \cdot 180^\circ = 720^\circ$

$\text{ctg}(-585^\circ) = \text{ctg}(-585^\circ + 720^\circ) = \text{ctg}(135^\circ)$

Угол $135^\circ$ находится во II четверти. По формуле приведения $\text{ctg}(180^\circ - \alpha) = -\text{ctg}(\alpha)$.

$\text{ctg}(135^\circ) = \text{ctg}(180^\circ - 45^\circ) = -\text{ctg}(45^\circ) = -1$

Ответ: $-1$

ж) $\text{tg } 1050^\circ$

Воспользуемся периодичностью тангенса (период $180^\circ$). Вычтем из аргумента несколько периодов.

$1050^\circ = 5 \cdot 180^\circ + 150^\circ = 900^\circ + 150^\circ$

$\text{tg}(1050^\circ) = \text{tg}(5 \cdot 180^\circ + 150^\circ) = \text{tg}(150^\circ)$

Угол $150^\circ$ находится во II четверти. По формуле приведения $\text{tg}(180^\circ - \alpha) = -\text{tg}(\alpha)$.

$\text{tg}(150^\circ) = \text{tg}(180^\circ - 30^\circ) = -\text{tg}(30^\circ) = -\frac{\sqrt{3}}{3}$

Ответ: $-\frac{\sqrt{3}}{3}$

з) $\sin(-690^\circ)$

Воспользуемся периодичностью синуса (период $360^\circ$). Добавим к аргументу два периода.

$2 \cdot 360^\circ = 720^\circ$

$\sin(-690^\circ) = \sin(-690^\circ + 720^\circ) = \sin(30^\circ)$

Значение синуса для угла $30^\circ$ является табличным:

$\sin(30^\circ) = \frac{1}{2}$

Ответ: $\frac{1}{2}$

Помогло решение? Оставьте отзыв в комментариях ниже.

Присоединяйтесь к Телеграм-группе @gdz_by_belarus

Присоединиться

Мы подготовили для вас ответ c подробным объяснением домашего задания по алгебре за 10 класс, для упражнения номер 1.388 расположенного на странице 126 к учебнику 2019 года издания для учащихся школ и гимназий.

Теперь на нашем сайте ГДЗ.ТОП вы всегда легко и бесплатно найдёте условие с правильным ответом на вопрос «Как решить ДЗ» и «Как сделать» задание по алгебре к упражнению №1.388 (с. 126), авторов: Арефьева (Ирина Глебовна), Пирютко (Ольга Николаевна), учебного пособия издательства Народная асвета.