Номер 1.389, страница 126 - гдз по алгебре 10 класс учебник Арефьева, Пирютко

Алгебра, 10 класс Учебник, авторы: Арефьева Ирина Глебовна, Пирютко Ольга Николаевна, издательство Народная асвета, Минск, 2019, голубого цвета

Авторы: Арефьева И. Г., Пирютко О. Н.

Тип: Учебник

Издательство: Народная асвета

Год издания: 2019 - 2025

Цвет обложки: голубой с графиком

Допущено Министерством образования Республики Беларусь

Популярные ГДЗ в 10 классе

Глава 1. Тригонометрия. Параграф 9. Формулы приведения - номер 1.389, страница 126.

№1.389 (с. 126)
Условие. №1.389 (с. 126)
скриншот условия
Алгебра, 10 класс Учебник, авторы: Арефьева Ирина Глебовна, Пирютко Ольга Николаевна, издательство Народная асвета, Минск, 2019, голубого цвета, страница 126, номер 1.389, Условие Алгебра, 10 класс Учебник, авторы: Арефьева Ирина Глебовна, Пирютко Ольга Николаевна, издательство Народная асвета, Минск, 2019, голубого цвета, страница 126, номер 1.389, Условие (продолжение 2)

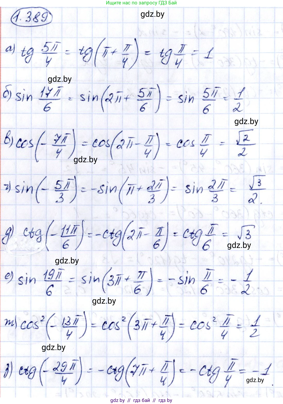
1.389. Найдите значение выражения:

а) $tg \frac{5\pi}{4}$;

б) $sin \frac{17\pi}{6}$;

в) $cos \left(-\frac{7\pi}{4}\right)$;

г) $sin \left(-\frac{5\pi}{3}\right)$;

д) $ctg \left(-\frac{11\pi}{6}\right)$;

е) $sin \frac{19\pi}{6}$;

ж) $cos^2 \left(-\frac{13\pi}{4}\right)$;

з) $ctg \left(-\frac{29\pi}{4}\right)$.

Решение. №1.389 (с. 126)
Алгебра, 10 класс Учебник, авторы: Арефьева Ирина Глебовна, Пирютко Ольга Николаевна, издательство Народная асвета, Минск, 2019, голубого цвета, страница 126, номер 1.389, Решение
Решение 2. №1.389 (с. 126)

а) $tg\frac{5\pi}{4}$
Чтобы найти значение выражения, преобразуем аргумент. Выделим целую часть из дроби $\frac{5}{4}$: $\frac{5}{4} = 1\frac{1}{4}$.
Таким образом, $\frac{5\pi}{4} = \pi + \frac{\pi}{4}$.
Используем свойство периодичности тангенса (период равен $\pi$): $tg(\pi + \alpha) = tg(\alpha)$.
$tg\frac{5\pi}{4} = tg(\pi + \frac{\pi}{4}) = tg(\frac{\pi}{4}) = 1$.
Ответ: 1.

б) $sin\frac{17\pi}{6}$
Выделим целую часть из дроби $\frac{17}{6}$: $\frac{17}{6} = 2\frac{5}{6}$.
Таким образом, $\frac{17\pi}{6} = 2\pi + \frac{5\pi}{6}$.
Используем свойство периодичности синуса (период равен $2\pi$): $sin(2\pi + \alpha) = sin(\alpha)$.
$sin\frac{17\pi}{6} = sin(2\pi + \frac{5\pi}{6}) = sin(\frac{5\pi}{6})$.
Применяя формулу приведения $sin(\pi - \alpha) = sin(\alpha)$:
$sin(\frac{5\pi}{6}) = sin(\pi - \frac{\pi}{6}) = sin(\frac{\pi}{6}) = \frac{1}{2}$.
Ответ: $\frac{1}{2}$.

в) $cos(-\frac{7\pi}{4})$
Косинус является четной функцией, поэтому $cos(-\alpha) = cos(\alpha)$.
$cos(-\frac{7\pi}{4}) = cos(\frac{7\pi}{4})$.
Выделим целую часть из дроби $\frac{7}{4}$: $\frac{7}{4} = 1\frac{3}{4}$. Можно представить угол как $2\pi - \frac{\pi}{4}$.
Используем периодичность косинуса: $cos(2\pi - \alpha) = cos(\alpha)$.
$cos(\frac{7\pi}{4}) = cos(2\pi - \frac{\pi}{4}) = cos(\frac{\pi}{4}) = \frac{\sqrt{2}}{2}$.
Ответ: $\frac{\sqrt{2}}{2}$.

г) $sin(-\frac{5\pi}{3})$
Синус является нечетной функцией, поэтому $sin(-\alpha) = -sin(\alpha)$.
$sin(-\frac{5\pi}{3}) = -sin(\frac{5\pi}{3})$.
Представим угол $\frac{5\pi}{3}$ как $2\pi - \frac{\pi}{3}$.
Используя формулу приведения $sin(2\pi - \alpha) = -sin(\alpha)$:
$-sin(\frac{5\pi}{3}) = -sin(2\pi - \frac{\pi}{3}) = -(-sin(\frac{\pi}{3})) = sin(\frac{\pi}{3}) = \frac{\sqrt{3}}{2}$.
Ответ: $\frac{\sqrt{3}}{2}$.

д) $ctg(-\frac{11\pi}{6})$
Котангенс является нечетной функцией, поэтому $ctg(-\alpha) = -ctg(\alpha)$.
$ctg(-\frac{11\pi}{6}) = -ctg(\frac{11\pi}{6})$.
Выделим целую часть из дроби $\frac{11}{6}$: $\frac{11}{6} = 1\frac{5}{6}$. Представим угол как $2\pi - \frac{\pi}{6}$.
Используя формулу приведения $ctg(2\pi - \alpha) = -ctg(\alpha)$:
$-ctg(\frac{11\pi}{6}) = -ctg(2\pi - \frac{\pi}{6}) = -(-ctg(\frac{\pi}{6})) = ctg(\frac{\pi}{6}) = \sqrt{3}$.
Ответ: $\sqrt{3}$.

е) $sin\frac{19\pi}{6}$
Выделим целую часть из дроби $\frac{19}{6}$: $\frac{19}{6} = 3\frac{1}{6}$.
$\frac{19\pi}{6} = 3\pi + \frac{\pi}{6} = 2\pi + \pi + \frac{\pi}{6}$.
Используя периодичность синуса и формулу приведения $sin(\pi + \alpha) = -sin(\alpha)$:
$sin(\frac{19\pi}{6}) = sin(2\pi + \pi + \frac{\pi}{6}) = sin(\pi + \frac{\pi}{6}) = -sin(\frac{\pi}{6}) = -\frac{1}{2}$.
Ответ: $-\frac{1}{2}$.

ж) $cos^2(-\frac{13\pi}{4})$
Так как $cos^2(\alpha) = (cos(\alpha))^2$ и косинус - четная функция, то $cos^2(-\alpha) = cos^2(\alpha)$.
$cos^2(-\frac{13\pi}{4}) = cos^2(\frac{13\pi}{4})$.
Выделим целую часть из дроби $\frac{13}{4}$: $\frac{13}{4} = 3\frac{1}{4}$.
$\frac{13\pi}{4} = 3\pi + \frac{\pi}{4} = 2\pi + \pi + \frac{\pi}{4}$.
$cos(\frac{13\pi}{4}) = cos(\pi + \frac{\pi}{4}) = -cos(\frac{\pi}{4}) = -\frac{\sqrt{2}}{2}$.
$cos^2(\frac{13\pi}{4}) = (-\frac{\sqrt{2}}{2})^2 = \frac{2}{4} = \frac{1}{2}$.
Ответ: $\frac{1}{2}$.

з) $ctg(-\frac{29\pi}{4})$
Котангенс - нечетная функция: $ctg(-\frac{29\pi}{4}) = -ctg(\frac{29\pi}{4})$.
Выделим целую часть из дроби $\frac{29}{4}$: $\frac{29}{4} = 7\frac{1}{4}$.
$\frac{29\pi}{4} = 7\pi + \frac{\pi}{4}$.
Период котангенса равен $\pi$, поэтому $ctg(n\pi + \alpha) = ctg(\alpha)$, где $n$ - целое число.
$-ctg(\frac{29\pi}{4}) = -ctg(7\pi + \frac{\pi}{4}) = -ctg(\frac{\pi}{4}) = -1$.
Ответ: -1.

Помогло решение? Оставьте отзыв в комментариях ниже.

Присоединяйтесь к Телеграм-группе @gdz_by_belarus

Присоединиться

Мы подготовили для вас ответ c подробным объяснением домашего задания по алгебре за 10 класс, для упражнения номер 1.389 расположенного на странице 126 к учебнику 2019 года издания для учащихся школ и гимназий.

Теперь на нашем сайте ГДЗ.ТОП вы всегда легко и бесплатно найдёте условие с правильным ответом на вопрос «Как решить ДЗ» и «Как сделать» задание по алгебре к упражнению №1.389 (с. 126), авторов: Арефьева (Ирина Глебовна), Пирютко (Ольга Николаевна), учебного пособия издательства Народная асвета.