Номер 1.393, страница 127 - гдз по алгебре 10 класс учебник Арефьева, Пирютко

Алгебра, 10 класс Учебник, авторы: Арефьева Ирина Глебовна, Пирютко Ольга Николаевна, издательство Народная асвета, Минск, 2019, голубого цвета

Авторы: Арефьева И. Г., Пирютко О. Н.

Тип: Учебник

Издательство: Народная асвета

Год издания: 2019 - 2025

Цвет обложки: голубой с графиком

Допущено Министерством образования Республики Беларусь

Популярные ГДЗ в 10 классе

Глава 1. Тригонометрия. Параграф 9. Формулы приведения - номер 1.393, страница 127.

№1.393 (с. 127)
Условие. №1.393 (с. 127)
скриншот условия
Алгебра, 10 класс Учебник, авторы: Арефьева Ирина Глебовна, Пирютко Ольга Николаевна, издательство Народная асвета, Минск, 2019, голубого цвета, страница 127, номер 1.393, Условие

1.393. Используйте формулы приведения и решите уравнение:

a) $2\cos(\pi + x) = \sqrt{3}$;

б) $2\sin\left(\frac{3\pi}{2} - x\right) + 1 = 0$;

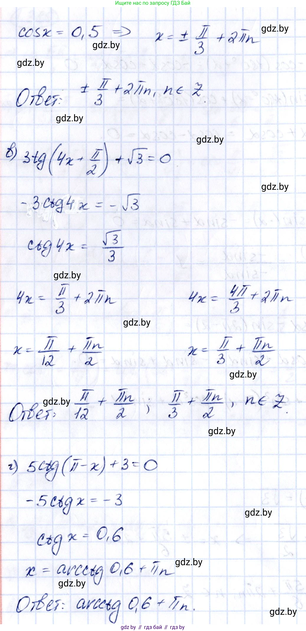
в) $3\text{tg}\left(4x + \frac{\pi}{2}\right) + \sqrt{3} = 0$;

г) $5\text{ctg}(\pi - x) + 3 = 0$.

Решение. №1.393 (с. 127)
Алгебра, 10 класс Учебник, авторы: Арефьева Ирина Глебовна, Пирютко Ольга Николаевна, издательство Народная асвета, Минск, 2019, голубого цвета, страница 127, номер 1.393, Решение Алгебра, 10 класс Учебник, авторы: Арефьева Ирина Глебовна, Пирютко Ольга Николаевна, издательство Народная асвета, Минск, 2019, голубого цвета, страница 127, номер 1.393, Решение (продолжение 2)
Решение 2. №1.393 (с. 127)

а) $2\cos(\pi + x) = \sqrt{3}$

Применим формулу приведения для косинуса. Угол $(\pi + x)$ находится в третьей четверти, где косинус отрицателен. Так как к аргументу прибавляется $\pi$, наименование функции не меняется.

$\cos(\pi + x) = -\cos(x)$

Подставим это выражение в исходное уравнение:

$2(-\cos(x)) = \sqrt{3}$

$-2\cos(x) = \sqrt{3}$

$\cos(x) = -\frac{\sqrt{3}}{2}$

Это простейшее тригонометрическое уравнение. Его общее решение находится по формуле $x = \pm \arccos(a) + 2\pi n$, где $a = -\frac{\sqrt{3}}{2}$ и $n \in \mathbb{Z}$.

$x = \pm \arccos\left(-\frac{\sqrt{3}}{2}\right) + 2\pi n$

Так как $\arccos\left(-\frac{\sqrt{3}}{2}\right) = \pi - \arccos\left(\frac{\sqrt{3}}{2}\right) = \pi - \frac{\pi}{6} = \frac{5\pi}{6}$, получаем:

$x = \pm \frac{5\pi}{6} + 2\pi n, \quad n \in \mathbb{Z}$

Ответ: $x = \pm \frac{5\pi}{6} + 2\pi n, \quad n \in \mathbb{Z}$.

б) $2\sin\left(\frac{3\pi}{2} - x\right) + 1 = 0$

Применим формулу приведения для синуса. Угол $(\frac{3\pi}{2} - x)$ находится в третьей четверти, где синус отрицателен. Так как в аргументе есть $\frac{3\pi}{2}$ (нечетное число $\frac{\pi}{2}$), наименование функции меняется на кофункцию (синус на косинус).

$\sin\left(\frac{3\pi}{2} - x\right) = -\cos(x)$

Подставим в уравнение:

$2(-\cos(x)) + 1 = 0$

$-2\cos(x) = -1$

$\cos(x) = \frac{1}{2}$

Общее решение этого уравнения:

$x = \pm \arccos\left(\frac{1}{2}\right) + 2\pi n$

$x = \pm \frac{\pi}{3} + 2\pi n, \quad n \in \mathbb{Z}$

Ответ: $x = \pm \frac{\pi}{3} + 2\pi n, \quad n \in \mathbb{Z}$.

в) $3\tg\left(4x + \frac{\pi}{2}\right) + \sqrt{3} = 0$

Применим формулу приведения. Аргумент тангенса можно записать как $(\frac{\pi}{2} + 4x)$. Этот угол находится во второй четверти (при малом положительном $x$), где тангенс отрицателен. Наименование функции меняется на котангенс, так как в аргументе есть $\frac{\pi}{2}$.

$\tg\left(\frac{\pi}{2} + 4x\right) = -\text{ctg}(4x)$

Подставим в уравнение:

$3(-\text{ctg}(4x)) + \sqrt{3} = 0$

$-3\text{ctg}(4x) = -\sqrt{3}$

$\text{ctg}(4x) = \frac{\sqrt{3}}{3}$

Общее решение для котангенса находится по формуле $z = \text{arcctg}(a) + \pi n$, где $z=4x$, $a = \frac{\sqrt{3}}{3}$ и $n \in \mathbb{Z}$.

$4x = \text{arcctg}\left(\frac{\sqrt{3}}{3}\right) + \pi n$

$4x = \frac{\pi}{3} + \pi n$

Теперь найдем $x$, разделив обе части на 4:

$x = \frac{\pi}{12} + \frac{\pi n}{4}, \quad n \in \mathbb{Z}$

Ответ: $x = \frac{\pi}{12} + \frac{\pi n}{4}, \quad n \in \mathbb{Z}$.

г) $5\text{ctg}(\pi - x) + 3 = 0$

Применим формулу приведения для котангенса. Угол $(\pi - x)$ находится во второй четверти, где котангенс отрицателен. Наименование функции не меняется.

$\text{ctg}(\pi - x) = -\text{ctg}(x)$

Подставим в уравнение:

$5(-\text{ctg}(x)) + 3 = 0$

$-5\text{ctg}(x) = -3$

$\text{ctg}(x) = \frac{3}{5}$

Общее решение этого уравнения:

$x = \text{arcctg}\left(\frac{3}{5}\right) + \pi n, \quad n \in \mathbb{Z}$

Ответ: $x = \text{arcctg}\left(\frac{3}{5}\right) + \pi n, \quad n \in \mathbb{Z}$.

Помогло решение? Оставьте отзыв в комментариях ниже.

Присоединяйтесь к Телеграм-группе @gdz_by_belarus

Присоединиться

Мы подготовили для вас ответ c подробным объяснением домашего задания по алгебре за 10 класс, для упражнения номер 1.393 расположенного на странице 127 к учебнику 2019 года издания для учащихся школ и гимназий.

Теперь на нашем сайте ГДЗ.ТОП вы всегда легко и бесплатно найдёте условие с правильным ответом на вопрос «Как решить ДЗ» и «Как сделать» задание по алгебре к упражнению №1.393 (с. 127), авторов: Арефьева (Ирина Глебовна), Пирютко (Ольга Николаевна), учебного пособия издательства Народная асвета.