Номер 1.397, страница 127 - гдз по алгебре 10 класс учебник Арефьева, Пирютко

Алгебра, 10 класс Учебник, авторы: Арефьева Ирина Глебовна, Пирютко Ольга Николаевна, издательство Народная асвета, Минск, 2019, голубого цвета

Авторы: Арефьева И. Г., Пирютко О. Н.

Тип: Учебник

Издательство: Народная асвета

Год издания: 2019 - 2025

Цвет обложки: голубой с графиком

Допущено Министерством образования Республики Беларусь

Популярные ГДЗ в 10 классе

Глава 1. Тригонометрия. Параграф 9. Формулы приведения - номер 1.397, страница 127.

№1.397 (с. 127)
Условие. №1.397 (с. 127)
скриншот условия
Алгебра, 10 класс Учебник, авторы: Арефьева Ирина Глебовна, Пирютко Ольга Николаевна, издательство Народная асвета, Минск, 2019, голубого цвета, страница 127, номер 1.397, Условие

1.397. Упростите выражение:

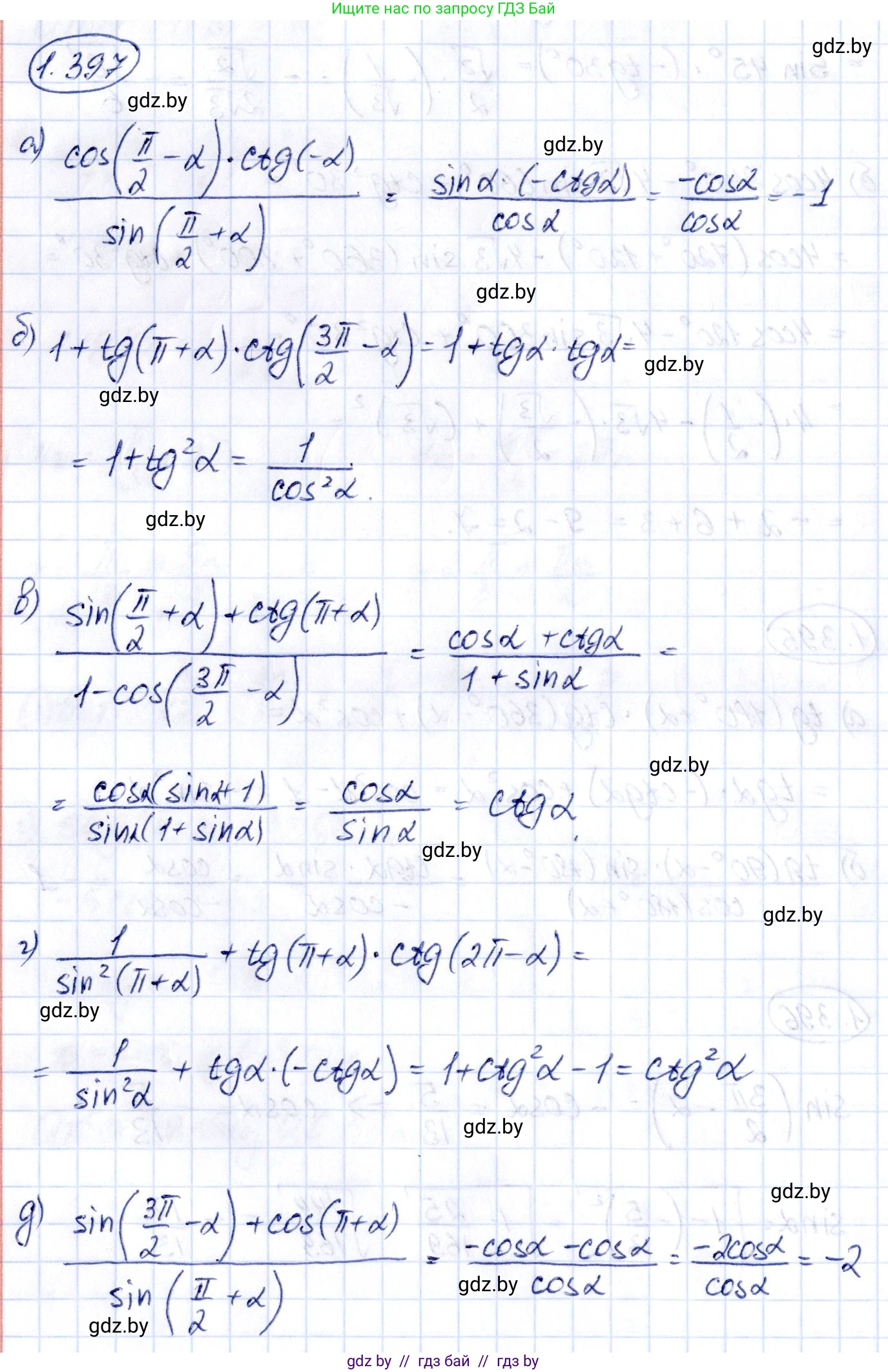
a) $\frac{\cos(\frac{\pi}{2} - \alpha)\text{ctg}(-\alpha)}{\sin(\frac{\pi}{2} + \alpha)};$

б) $1 + \text{tg}(\pi + \alpha)\text{ctg}(\frac{3\pi}{2} - \alpha);$

В) $\frac{\sin(\frac{\pi}{2} + \alpha) + \text{ctg}(\pi + \alpha)}{1 - \cos(\frac{3\pi}{2} - \alpha)};$

Г) $\frac{1}{\sin^2(\pi + \alpha)} + \text{tg}(\pi + \alpha)\text{ctg}(2\pi - \alpha);$

Д) $\frac{\sin(\frac{3\pi}{2} - \alpha) + \cos(\pi + \alpha)}{\sin(\frac{\pi}{2} + \alpha)};$

е) $\frac{\text{tg}(\pi - \alpha)\cos(\pi + \alpha)}{\text{tg}(\frac{3\pi}{2} + \alpha)\cos(\frac{3\pi}{2} - \alpha)}.$

Решение. №1.397 (с. 127)
Алгебра, 10 класс Учебник, авторы: Арефьева Ирина Глебовна, Пирютко Ольга Николаевна, издательство Народная асвета, Минск, 2019, голубого цвета, страница 127, номер 1.397, Решение Алгебра, 10 класс Учебник, авторы: Арефьева Ирина Глебовна, Пирютко Ольга Николаевна, издательство Народная асвета, Минск, 2019, голубого цвета, страница 127, номер 1.397, Решение (продолжение 2)
Решение 2. №1.397 (с. 127)

a) Для упрощения выражения $\frac{\cos(\frac{\pi}{2} - \alpha) \text{ctg}(-\alpha)}{\sin(\frac{\pi}{2} + \alpha)}$ воспользуемся формулами приведения и свойствами четности/нечетности тригонометрических функций.

Вспомним следующие тождества:

  • Формула приведения для косинуса: $\cos(\frac{\pi}{2} - \alpha) = \sin(\alpha)$
  • Свойство нечетности котангенса: $\text{ctg}(-\alpha) = -\text{ctg}(\alpha)$
  • Формула приведения для синуса: $\sin(\frac{\pi}{2} + \alpha) = \cos(\alpha)$

Подставим эти преобразования в исходное выражение:
$\frac{\sin(\alpha) \cdot (-\text{ctg}(\alpha))}{\cos(\alpha)}$

Теперь заменим котангенс отношением косинуса к синусу $\text{ctg}(\alpha) = \frac{\cos(\alpha)}{\sin(\alpha)}$:
$\frac{\sin(\alpha) \cdot (-\frac{\cos(\alpha)}{\sin(\alpha)})}{\cos(\alpha)} = \frac{-\cos(\alpha)}{\cos(\alpha)} = -1$

Ответ: -1

б) Рассмотрим выражение $1 + \text{tg}(\pi + \alpha) \text{ctg}(\frac{3\pi}{2} - \alpha)$.

Применим формулы приведения:

  • Периодичность тангенса: $\text{tg}(\pi + \alpha) = \text{tg}(\alpha)$
  • Формула приведения для котангенса: $\text{ctg}(\frac{3\pi}{2} - \alpha) = \text{tg}(\alpha)$ (угол $\frac{3\pi}{2} - \alpha$ находится в III четверти, где котангенс положителен, а т.к. в формуле есть $\frac{3\pi}{2}$, функция меняется на кофункцию).

Подставим упрощенные функции в выражение:
$1 + \text{tg}(\alpha) \cdot \text{tg}(\alpha) = 1 + \text{tg}^2(\alpha)$

Согласно основному тригонометрическому тождеству, $1 + \text{tg}^2(\alpha) = \frac{1}{\cos^2(\alpha)}$.

Ответ: $\frac{1}{\cos^2(\alpha)}$

в) Упростим выражение $\frac{\sin(\frac{\pi}{2} + \alpha) + \text{ctg}(\pi + \alpha)}{1 - \cos(\frac{3\pi}{2} - \alpha)}$.

Применим формулы приведения к каждой функции:

  • $\sin(\frac{\pi}{2} + \alpha) = \cos(\alpha)$ (II четверть, синус положителен)
  • $\text{ctg}(\pi + \alpha) = \text{ctg}(\alpha)$ (III четверть, котангенс положителен)
  • $\cos(\frac{3\pi}{2} - \alpha) = -\sin(\alpha)$ (III четверть, косинус отрицателен, функция меняется)

Подставим полученные выражения в дробь:
$\frac{\cos(\alpha) + \text{ctg}(\alpha)}{1 - (-\sin(\alpha))} = \frac{\cos(\alpha) + \text{ctg}(\alpha)}{1 + \sin(\alpha)}$

Заменим $\text{ctg}(\alpha)$ на $\frac{\cos(\alpha)}{\sin(\alpha)}$ и приведем числитель к общему знаменателю:
$\frac{\cos(\alpha) + \frac{\cos(\alpha)}{\sin(\alpha)}}{1 + \sin(\alpha)} = \frac{\frac{\cos(\alpha)\sin(\alpha) + \cos(\alpha)}{\sin(\alpha)}}{1 + \sin(\alpha)} = \frac{\cos(\alpha)(\sin(\alpha) + 1)}{\sin(\alpha)(1 + \sin(\alpha))}$

Сократим дробь на общий множитель $(1 + \sin(\alpha))$:
$\frac{\cos(\alpha)}{\sin(\alpha)} = \text{ctg}(\alpha)$

Ответ: $\text{ctg}(\alpha)$

г) Упростим выражение $\frac{1}{\sin^2(\pi + \alpha)} + \text{tg}(\pi + \alpha) \text{ctg}(2\pi - \alpha)$.

Воспользуемся формулами приведения:

  • $\sin(\pi + \alpha) = -\sin(\alpha)$, тогда $\sin^2(\pi + \alpha) = (-\sin\alpha)^2 = \sin^2\alpha$
  • $\text{tg}(\pi + \alpha) = \text{tg}(\alpha)$
  • $\text{ctg}(2\pi - \alpha) = \text{ctg}(-\alpha) = -\text{ctg}(\alpha)$ (IV четверть, котангенс отрицателен)

Подставим упрощенные функции:
$\frac{1}{\sin^2(\alpha)} + \text{tg}(\alpha) \cdot (-\text{ctg}(\alpha))$

Используя тождество $\text{tg}(\alpha) \cdot \text{ctg}(\alpha) = 1$, получаем:
$\frac{1}{\sin^2(\alpha)} - 1$

Приведем к общему знаменателю и используем основное тригонометрическое тождество $1 - \sin^2(\alpha) = \cos^2(\alpha)$:
$\frac{1 - \sin^2(\alpha)}{\sin^2(\alpha)} = \frac{\cos^2(\alpha)}{\sin^2(\alpha)} = \text{ctg}^2(\alpha)$

Ответ: $\text{ctg}^2(\alpha)$

д) Рассмотрим выражение $\frac{\sin(\frac{3\pi}{2} - \alpha) + \cos(\pi + \alpha)}{\sin(\frac{\pi}{2} + \alpha)}$.

Применим формулы приведения для числителя и знаменателя:

  • $\sin(\frac{3\pi}{2} - \alpha) = -\cos(\alpha)$ (III четверть, синус отрицателен, функция меняется)
  • $\cos(\pi + \alpha) = -\cos(\alpha)$ (III четверть, косинус отрицателен)
  • $\sin(\frac{\pi}{2} + \alpha) = \cos(\alpha)$ (II четверть, синус положителен)

Подставляем в выражение:
$\frac{-\cos(\alpha) - \cos(\alpha)}{\cos(\alpha)} = \frac{-2\cos(\alpha)}{\cos(\alpha)}$

Сокращаем на $\cos(\alpha)$ (при условии $\cos(\alpha) \neq 0$):
$-2$

Ответ: -2

е) Упростим выражение $\frac{\text{tg}(\pi - \alpha) \cos(\pi + \alpha)}{\text{tg}(\frac{3\pi}{2} + \alpha) \cos(\frac{3\pi}{2} - \alpha)}$.

Применим формулы приведения для каждой функции:

  • $\text{tg}(\pi - \alpha) = -\text{tg}(\alpha)$ (II четверть, тангенс отрицателен)
  • $\cos(\pi + \alpha) = -\cos(\alpha)$ (III четверть, косинус отрицателен)
  • $\text{tg}(\frac{3\pi}{2} + \alpha) = -\text{ctg}(\alpha)$ (IV четверть, тангенс отрицателен, функция меняется)
  • $\cos(\frac{3\pi}{2} - \alpha) = -\sin(\alpha)$ (III четверть, косинус отрицателен, функция меняется)

Подставим результаты в дробь:
$\frac{(-\text{tg}(\alpha)) \cdot (-\cos(\alpha))}{(-\text{ctg}(\alpha)) \cdot (-\sin(\alpha))} = \frac{\text{tg}(\alpha) \cos(\alpha)}{\text{ctg}(\alpha) \sin(\alpha)}$

Заменим тангенс и котангенс через синус и косинус:
$\frac{(\frac{\sin(\alpha)}{\cos(\alpha)}) \cdot \cos(\alpha)}{(\frac{\cos(\alpha)}{\sin(\alpha)}) \cdot \sin(\alpha)} = \frac{\sin(\alpha)}{\cos(\alpha)}$

Полученное отношение равно тангенсу:
$\text{tg}(\alpha)$

Ответ: $\text{tg}(\alpha)$

Помогло решение? Оставьте отзыв в комментариях ниже.

Присоединяйтесь к Телеграм-группе @gdz_by_belarus

Присоединиться

Мы подготовили для вас ответ c подробным объяснением домашего задания по алгебре за 10 класс, для упражнения номер 1.397 расположенного на странице 127 к учебнику 2019 года издания для учащихся школ и гимназий.

Теперь на нашем сайте ГДЗ.ТОП вы всегда легко и бесплатно найдёте условие с правильным ответом на вопрос «Как решить ДЗ» и «Как сделать» задание по алгебре к упражнению №1.397 (с. 127), авторов: Арефьева (Ирина Глебовна), Пирютко (Ольга Николаевна), учебного пособия издательства Народная асвета.