Номер 1.399, страница 128 - гдз по алгебре 10 класс учебник Арефьева, Пирютко

Алгебра, 10 класс Учебник, авторы: Арефьева Ирина Глебовна, Пирютко Ольга Николаевна, издательство Народная асвета, Минск, 2019, голубого цвета

Авторы: Арефьева И. Г., Пирютко О. Н.

Тип: Учебник

Издательство: Народная асвета

Год издания: 2019 - 2025

Цвет обложки: голубой с графиком

Допущено Министерством образования Республики Беларусь

Популярные ГДЗ в 10 классе

Глава 1. Тригонометрия. Параграф 9. Формулы приведения - номер 1.399, страница 128.

№1.399 (с. 128)
Условие. №1.399 (с. 128)
скриншот условия
Алгебра, 10 класс Учебник, авторы: Арефьева Ирина Глебовна, Пирютко Ольга Николаевна, издательство Народная асвета, Минск, 2019, голубого цвета, страница 128, номер 1.399, Условие

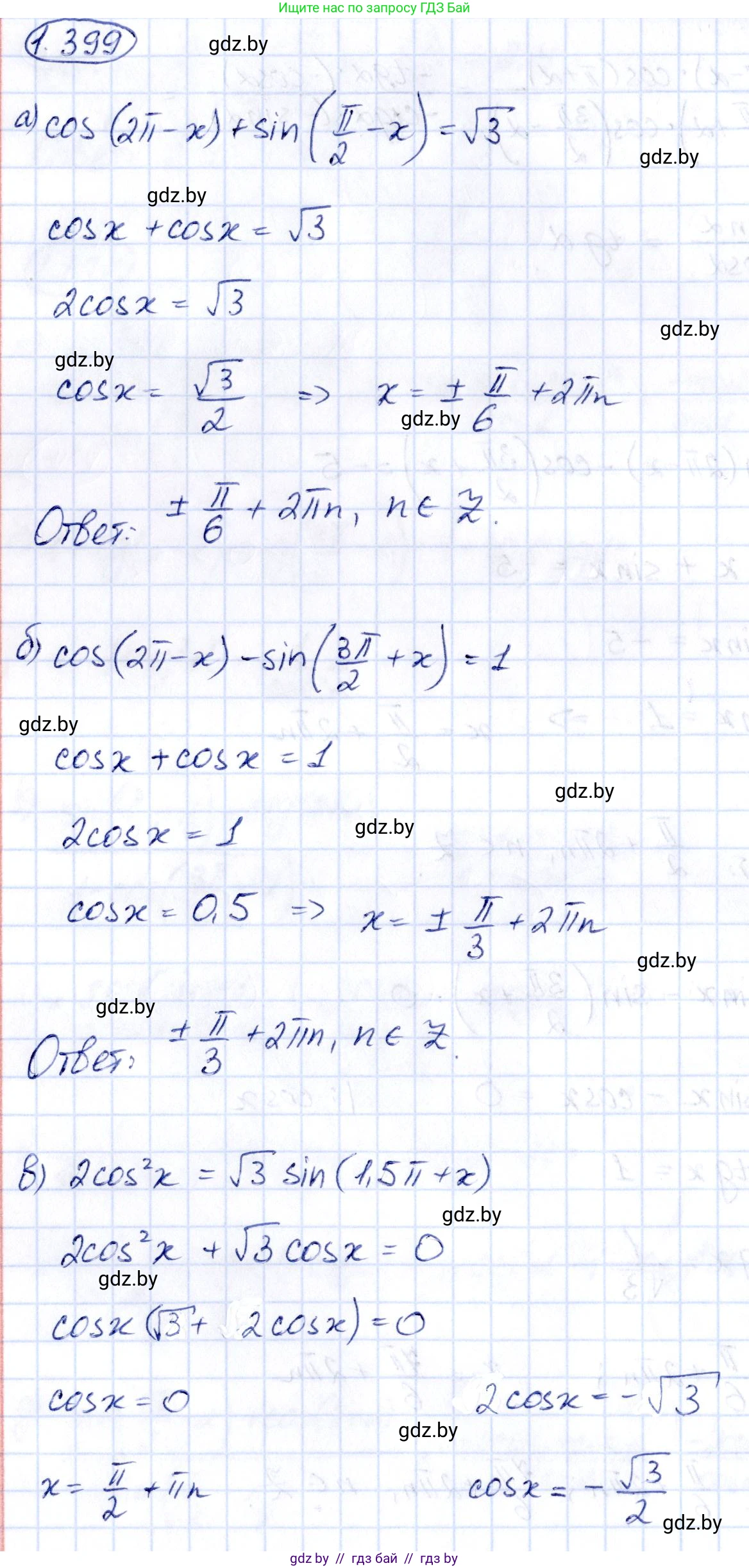
1.399. Найдите все корни уравнения:

а) $ \cos(2\pi - x) + \sin\left(\frac{\pi}{2} - x\right) = \sqrt{3}; $

б) $ \cos(2\pi - x) - \sin\left(\frac{3\pi}{2} + x\right) = 1; $

В) $ 2\cos^2 x = \sqrt{3} \sin(1,5\pi + x). $

Решение. №1.399 (с. 128)
Алгебра, 10 класс Учебник, авторы: Арефьева Ирина Глебовна, Пирютко Ольга Николаевна, издательство Народная асвета, Минск, 2019, голубого цвета, страница 128, номер 1.399, Решение Алгебра, 10 класс Учебник, авторы: Арефьева Ирина Глебовна, Пирютко Ольга Николаевна, издательство Народная асвета, Минск, 2019, голубого цвета, страница 128, номер 1.399, Решение (продолжение 2)
Решение 2. №1.399 (с. 128)

а) $cos(2\pi - x) + sin(\frac{\pi}{2} - x) = \sqrt{3}$

Для решения данного уравнения воспользуемся формулами приведения:

  • $cos(2\pi - x) = cos(x)$
  • $sin(\frac{\pi}{2} - x) = cos(x)$

Подставим преобразованные выражения в исходное уравнение:

$cos(x) + cos(x) = \sqrt{3}$

$2cos(x) = \sqrt{3}$

$cos(x) = \frac{\sqrt{3}}{2}$

Найдём все корни этого простейшего тригонометрического уравнения:

$x = \pm arccos(\frac{\sqrt{3}}{2}) + 2\pi k$, где $k \in \mathbb{Z}$

$x = \pm \frac{\pi}{6} + 2\pi k$, где $k \in \mathbb{Z}$

Ответ: $x = \pm\frac{\pi}{6} + 2\pi k, k \in \mathbb{Z}$.


б) $cos(2\pi - x) - sin(\frac{3\pi}{2} + x) = 1$

Применим формулы приведения:

  • $cos(2\pi - x) = cos(x)$
  • $sin(\frac{3\pi}{2} + x) = -cos(x)$ (угол $\frac{3\pi}{2} + x$ находится в IV четверти, где синус отрицателен, и функция меняется на кофункцию)

Подставим преобразованные выражения в уравнение:

$cos(x) - (-cos(x)) = 1$

$cos(x) + cos(x) = 1$

$2cos(x) = 1$

$cos(x) = \frac{1}{2}$

Корни этого уравнения:

$x = \pm arccos(\frac{1}{2}) + 2\pi k$, где $k \in \mathbb{Z}$

$x = \pm \frac{\pi}{3} + 2\pi k$, где $k \in \mathbb{Z}$

Ответ: $x = \pm\frac{\pi}{3} + 2\pi k, k \in \mathbb{Z}$.


в) $2cos^2 x = \sqrt{3}sin(1,5\pi + x)$

Сначала преобразуем аргумент синуса: $1,5\pi = \frac{3\pi}{2}$.

$2cos^2 x = \sqrt{3}sin(\frac{3\pi}{2} + x)$

Применим формулу приведения $sin(\frac{3\pi}{2} + x) = -cos(x)$:

$2cos^2 x = \sqrt{3}(-cos(x))$

Перенесём все члены в левую часть и приравняем к нулю:

$2cos^2 x + \sqrt{3}cos(x) = 0$

Вынесем общий множитель $cos(x)$ за скобки:

$cos(x)(2cos(x) + \sqrt{3}) = 0$

Произведение равно нулю, если хотя бы один из множителей равен нулю. Получаем два уравнения:

1) $cos(x) = 0$

$x = \frac{\pi}{2} + \pi k$, где $k \in \mathbb{Z}$

2) $2cos(x) + \sqrt{3} = 0$

$2cos(x) = -\sqrt{3}$

$cos(x) = -\frac{\sqrt{3}}{2}$

$x = \pm arccos(-\frac{\sqrt{3}}{2}) + 2\pi n$, где $n \in \mathbb{Z}$

$x = \pm (\pi - \frac{\pi}{6}) + 2\pi n$, где $n \in \mathbb{Z}$

$x = \pm \frac{5\pi}{6} + 2\pi n$, где $n \in \mathbb{Z}$

Объединяем решения из обоих случаев.

Ответ: $x = \frac{\pi}{2} + \pi k; \quad x = \pm\frac{5\pi}{6} + 2\pi n, \quad k, n \in \mathbb{Z}$.

Помогло решение? Оставьте отзыв в комментариях ниже.

Присоединяйтесь к Телеграм-группе @gdz_by_belarus

Присоединиться

Мы подготовили для вас ответ c подробным объяснением домашего задания по алгебре за 10 класс, для упражнения номер 1.399 расположенного на странице 128 к учебнику 2019 года издания для учащихся школ и гимназий.

Теперь на нашем сайте ГДЗ.ТОП вы всегда легко и бесплатно найдёте условие с правильным ответом на вопрос «Как решить ДЗ» и «Как сделать» задание по алгебре к упражнению №1.399 (с. 128), авторов: Арефьева (Ирина Глебовна), Пирютко (Ольга Николаевна), учебного пособия издательства Народная асвета.