Номер 1.473, страница 147 - гдз по алгебре 10 класс учебник Арефьева, Пирютко

Алгебра, 10 класс Учебник, авторы: Арефьева Ирина Глебовна, Пирютко Ольга Николаевна, издательство Народная асвета, Минск, 2019, голубого цвета

Авторы: Арефьева И. Г., Пирютко О. Н.

Тип: Учебник

Издательство: Народная асвета

Год издания: 2019 - 2025

Цвет обложки: голубой с графиком

Допущено Министерством образования Республики Беларусь

Популярные ГДЗ в 10 классе

Глава 1. Тригонометрия. Параграф 11. Формулы двойного аргумента - номер 1.473, страница 147.

№1.473 (с. 147)
Условие. №1.473 (с. 147)
скриншот условия
Алгебра, 10 класс Учебник, авторы: Арефьева Ирина Глебовна, Пирютко Ольга Николаевна, издательство Народная асвета, Минск, 2019, голубого цвета, страница 147, номер 1.473, Условие

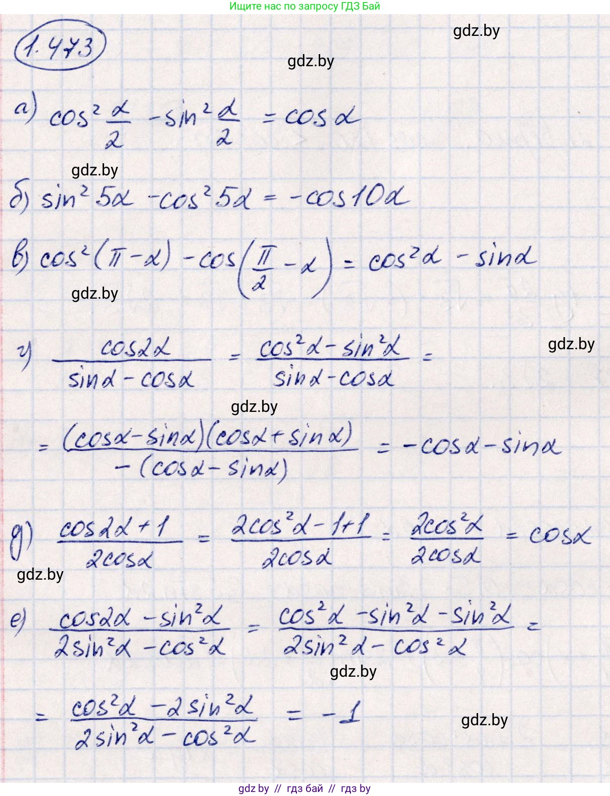
1.473. С помощью формулы косинуса двойного угла упростите выражение:

a) $\cos^2 \frac{\alpha}{2} - \sin^2 \frac{\alpha}{2}$;

б) $\sin^2 5\alpha - \cos^2 5\alpha$;

в) $\cos^2 (\pi - \alpha) - \cos\left(\frac{\pi}{2} - \alpha\right)$;

г) $\frac{\cos 2\alpha}{\sin \alpha - \cos \alpha}$;

д) $\frac{\cos 2\alpha + 1}{2\cos \alpha}$;

е) $\frac{\cos 2\alpha - \sin^2 \alpha}{2\sin^2 \alpha - \cos^2 \alpha}$.

Решение. №1.473 (с. 147)
Алгебра, 10 класс Учебник, авторы: Арефьева Ирина Глебовна, Пирютко Ольга Николаевна, издательство Народная асвета, Минск, 2019, голубого цвета, страница 147, номер 1.473, Решение
Решение 2. №1.473 (с. 147)

а) Используем основную формулу косинуса двойного угла: $ \cos(2x) = \cos^2 x - \sin^2 x $. В данном выражении $ x $ соответствует $ \frac{\alpha}{2} $.

$ \cos^2 \frac{\alpha}{2} - \sin^2 \frac{\alpha}{2} = \cos\left(2 \cdot \frac{\alpha}{2}\right) = \cos \alpha $.

Ответ: $ \cos \alpha $.

б) Вынесем знак минус за скобки, чтобы получить стандартный вид формулы косинуса двойного угла:

$ \sin^2 5\alpha - \cos^2 5\alpha = -(\cos^2 5\alpha - \sin^2 5\alpha) $.

Теперь применим формулу $ \cos(2x) = \cos^2 x - \sin^2 x $, где $ x = 5\alpha $:

$ -(\cos^2 5\alpha - \sin^2 5\alpha) = -\cos(2 \cdot 5\alpha) = -\cos(10\alpha) $.

Ответ: $ -\cos(10\alpha) $.

в) В условии $ \cos^2(\pi - \alpha) - \cos(\frac{\pi}{2} - \alpha) $, вероятно, допущена опечатка. Для применения формулы косинуса двойного угла, как того требует задание, второй член, скорее всего, должен быть также в квадрате. Будем решать, исходя из предположения, что выражение имеет вид: $ \cos^2(\pi - \alpha) - \cos^2(\frac{\pi}{2} - \alpha) $.

Сначала воспользуемся формулами приведения:
$ \cos(\pi - \alpha) = -\cos\alpha $
$ \cos(\frac{\pi}{2} - \alpha) = \sin\alpha $

Подставим их в наше выражение:

$ \cos^2(\pi - \alpha) - \cos^2(\frac{\pi}{2} - \alpha) = (-\cos\alpha)^2 - (\sin\alpha)^2 = \cos^2\alpha - \sin^2\alpha $.

Полученное выражение является формулой косинуса двойного угла:

$ \cos^2\alpha - \sin^2\alpha = \cos(2\alpha) $.

Ответ: $ \cos(2\alpha) $.

г) В числителе применим формулу косинуса двойного угла $ \cos(2\alpha) = \cos^2\alpha - \sin^2\alpha $:

$ \frac{\cos 2\alpha}{\sin \alpha - \cos \alpha} = \frac{\cos^2\alpha - \sin^2\alpha}{\sin \alpha - \cos \alpha} $.

Разложим числитель по формуле разности квадратов $ a^2 - b^2 = (a-b)(a+b) $:

$ \frac{(\cos\alpha - \sin\alpha)(\cos\alpha + \sin\alpha)}{\sin \alpha - \cos \alpha} $.

Заметим, что $ \cos\alpha - \sin\alpha = -(\sin\alpha - \cos\alpha) $. Сократим дробь:

$ \frac{-(\sin\alpha - \cos\alpha)(\cos\alpha + \sin\alpha)}{\sin \alpha - \cos \alpha} = -(\cos\alpha + \sin\alpha) $.

Ответ: $ -(\sin\alpha + \cos\alpha) $.

д) В числителе используем другую формулу косинуса двойного угла: $ \cos(2\alpha) = 2\cos^2\alpha - 1 $. Эта форма удобна тем, что в выражении есть слагаемое $ +1 $, которое сократится.

$ \frac{\cos 2\alpha + 1}{2\cos\alpha} = \frac{(2\cos^2\alpha - 1) + 1}{2\cos\alpha} = \frac{2\cos^2\alpha}{2\cos\alpha} $.

Сократим дробь на $ 2\cos\alpha $ (при условии, что $ \cos\alpha \neq 0 $):

$ \cos\alpha $.

Ответ: $ \cos\alpha $.

е) Преобразуем числитель, используя формулу $ \cos(2\alpha) = \cos^2\alpha - \sin^2\alpha $:

$ \cos 2\alpha - \sin^2 \alpha = (\cos^2\alpha - \sin^2\alpha) - \sin^2\alpha = \cos^2\alpha - 2\sin^2\alpha $.

Теперь всё выражение выглядит так:

$ \frac{\cos^2\alpha - 2\sin^2\alpha}{2\sin^2\alpha - \cos^2\alpha} $.

Числитель и знаменатель являются противоположными выражениями. Вынесем $ -1 $ за скобку в числителе:

$ \frac{-(- \cos^2\alpha + 2\sin^2\alpha)}{2\sin^2\alpha - \cos^2\alpha} = \frac{-(2\sin^2\alpha - \cos^2\alpha)}{2\sin^2\alpha - \cos^2\alpha} $.

Сократив дробь, получаем:

$ -1 $.

Ответ: $ -1 $.

Помогло решение? Оставьте отзыв в комментариях ниже.

Присоединяйтесь к Телеграм-группе @gdz_by_belarus

Присоединиться

Мы подготовили для вас ответ c подробным объяснением домашего задания по алгебре за 10 класс, для упражнения номер 1.473 расположенного на странице 147 к учебнику 2019 года издания для учащихся школ и гимназий.

Теперь на нашем сайте ГДЗ.ТОП вы всегда легко и бесплатно найдёте условие с правильным ответом на вопрос «Как решить ДЗ» и «Как сделать» задание по алгебре к упражнению №1.473 (с. 147), авторов: Арефьева (Ирина Глебовна), Пирютко (Ольга Николаевна), учебного пособия издательства Народная асвета.