Номер 1.477, страница 148 - гдз по алгебре 10 класс учебник Арефьева, Пирютко

Алгебра, 10 класс Учебник, авторы: Арефьева Ирина Глебовна, Пирютко Ольга Николаевна, издательство Народная асвета, Минск, 2019, голубого цвета

Авторы: Арефьева И. Г., Пирютко О. Н.

Тип: Учебник

Издательство: Народная асвета

Год издания: 2019 - 2025

Цвет обложки: голубой с графиком

Допущено Министерством образования Республики Беларусь

Популярные ГДЗ в 10 классе

Глава 1. Тригонометрия. Параграф 11. Формулы двойного аргумента - номер 1.477, страница 148.

№1.477 (с. 148)
Условие. №1.477 (с. 148)
скриншот условия
Алгебра, 10 класс Учебник, авторы: Арефьева Ирина Глебовна, Пирютко Ольга Николаевна, издательство Народная асвета, Минск, 2019, голубого цвета, страница 148, номер 1.477, Условие

1.477. Используйте формулы двойных углов и решите уравнение:

а) $4 \sin x \cos x = -\sqrt{3}$;

б) $\sin^2 x - \cos^2 x = \frac{\sqrt{2}}{2}$;

в) $\left(\sin \frac{x}{2} - \cos \frac{x}{2}\right)^2 = 1,5$;

г) $\cos^2 \left(\frac{\pi}{2} + x\right) - \cos^2 (x - \pi) = \frac{\sqrt{3}}{2}$;

д) $\sin 2x = \sin x$;

е) $\sqrt{2} \sin^2 x + 1 = \sqrt{2} \cos^2 x$.

Решение. №1.477 (с. 148)
Алгебра, 10 класс Учебник, авторы: Арефьева Ирина Глебовна, Пирютко Ольга Николаевна, издательство Народная асвета, Минск, 2019, голубого цвета, страница 148, номер 1.477, Решение Алгебра, 10 класс Учебник, авторы: Арефьева Ирина Глебовна, Пирютко Ольга Николаевна, издательство Народная асвета, Минск, 2019, голубого цвета, страница 148, номер 1.477, Решение (продолжение 2)
Решение 2. №1.477 (с. 148)

а) Исходное уравнение: $4\sin x \cos x = -\sqrt{3}$.
Мы можем переписать левую часть как $2 \cdot (2\sin x \cos x)$. Используя формулу синуса двойного угла $\sin(2\alpha) = 2\sin\alpha\cos\alpha$, получаем:
$2\sin(2x) = -\sqrt{3}$
$\sin(2x) = -\frac{\sqrt{3}}{2}$
Решения этого простейшего тригонометрического уравнения можно представить в виде двух серий. Углы, для которых синус равен $-\frac{\sqrt{3}}{2}$, на единичной окружности в пределах от $0$ до $2\pi$ — это $\frac{4\pi}{3}$ и $\frac{5\pi}{3}$.
1) $2x = \frac{4\pi}{3} + 2\pi k, \quad k \in \mathbb{Z}$
$x = \frac{2\pi}{3} + \pi k, \quad k \in \mathbb{Z}$
2) $2x = \frac{5\pi}{3} + 2\pi k, \quad k \in \mathbb{Z}$
$x = \frac{5\pi}{6} + \pi k, \quad k \in \mathbb{Z}$
Ответ: $x = \frac{2\pi}{3} + \pi k, \quad x = \frac{5\pi}{6} + \pi k, \quad k \in \mathbb{Z}$.

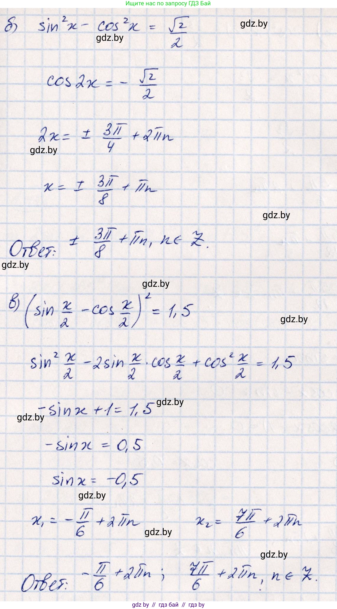
б) Исходное уравнение: $\sin^2 x - \cos^2 x = \frac{\sqrt{2}}{2}$.
Вынесем минус за скобки в левой части: $-(\cos^2 x - \sin^2 x) = \frac{\sqrt{2}}{2}$.
Используя формулу косинуса двойного угла $\cos(2\alpha) = \cos^2\alpha - \sin^2\alpha$, получаем:
$-\cos(2x) = \frac{\sqrt{2}}{2}$
$\cos(2x) = -\frac{\sqrt{2}}{2}$
Общее решение для уравнения $\cos y = a$ имеет вид $y = \pm\arccos(a) + 2\pi k$.
$2x = \pm\arccos\left(-\frac{\sqrt{2}}{2}\right) + 2\pi k, \quad k \in \mathbb{Z}$
$2x = \pm\frac{3\pi}{4} + 2\pi k, \quad k \in \mathbb{Z}$
Делим обе части на 2:
$x = \pm\frac{3\pi}{8} + \pi k, \quad k \in \mathbb{Z}$
Ответ: $x = \pm\frac{3\pi}{8} + \pi k, \quad k \in \mathbb{Z}$.

в) Исходное уравнение: $(\sin\frac{x}{2} - \cos\frac{x}{2})^2 = 1,5$.
Раскроем квадрат разности в левой части:
$\sin^2\frac{x}{2} - 2\sin\frac{x}{2}\cos\frac{x}{2} + \cos^2\frac{x}{2} = 1,5$
Сгруппируем слагаемые, используя основное тригонометрическое тождество $\sin^2\alpha + \cos^2\alpha = 1$ и формулу синуса двойного угла $2\sin\alpha\cos\alpha = \sin(2\alpha)$:
$(\sin^2\frac{x}{2} + \cos^2\frac{x}{2}) - 2\sin\frac{x}{2}\cos\frac{x}{2} = 1,5$
$1 - \sin(2 \cdot \frac{x}{2}) = 1,5$
$1 - \sin x = \frac{3}{2}$
$\sin x = 1 - \frac{3}{2} = -\frac{1}{2}$
Решения этого уравнения можно представить в виде двух серий, используя углы из промежутка $[0, 2\pi)$:
1) $x = \frac{7\pi}{6} + 2\pi k, \quad k \in \mathbb{Z}$
2) $x = \frac{11\pi}{6} + 2\pi k, \quad k \in \mathbb{Z}$
Выделим целую часть в коэффициентах при $\pi$: $\frac{7}{6} = 1\frac{1}{6}$ и $\frac{11}{6} = 1\frac{5}{6}$.
Ответ: $x = 1\frac{1}{6}\pi + 2\pi k, \quad x = 1\frac{5}{6}\pi + 2\pi k, \quad k \in \mathbb{Z}$.

г) Исходное уравнение: $\cos^2(\frac{\pi}{2} + x) - \cos^2(x - \pi) = \frac{\sqrt{3}}{2}$.
Применим формулы приведения:
$\cos(\frac{\pi}{2} + x) = -\sin x$
$\cos(x - \pi) = \cos(\pi - x) = -\cos x$
Подставим эти выражения в уравнение:
$(-\sin x)^2 - (-\cos x)^2 = \frac{\sqrt{3}}{2}$
$\sin^2 x - \cos^2 x = \frac{\sqrt{3}}{2}$
$-(\cos^2 x - \sin^2 x) = \frac{\sqrt{3}}{2}$
Применяя формулу косинуса двойного угла, получаем:
$-\cos(2x) = \frac{\sqrt{3}}{2}$
$\cos(2x) = -\frac{\sqrt{3}}{2}$
$2x = \pm\arccos\left(-\frac{\sqrt{3}}{2}\right) + 2\pi k, \quad k \in \mathbb{Z}$
$2x = \pm\frac{5\pi}{6} + 2\pi k, \quad k \in \mathbb{Z}$
$x = \pm\frac{5\pi}{12} + \pi k, \quad k \in \mathbb{Z}$
Ответ: $x = \pm\frac{5\pi}{12} + \pi k, \quad k \in \mathbb{Z}$.

д) Исходное уравнение: $\sin(2x) = \sin x$.
Используем формулу синуса двойного угла:
$2\sin x \cos x = \sin x$
Перенесем все члены в левую часть и вынесем общий множитель:
$2\sin x \cos x - \sin x = 0$
$\sin x (2\cos x - 1) = 0$
Произведение равно нулю, если хотя бы один из множителей равен нулю.
1) $\sin x = 0 \implies x = \pi k, \quad k \in \mathbb{Z}$
2) $2\cos x - 1 = 0 \implies \cos x = \frac{1}{2} \implies x = \pm\frac{\pi}{3} + 2\pi n, \quad n \in \mathbb{Z}$
Ответ: $x = \pi k, \quad x = \pm\frac{\pi}{3} + 2\pi n, \quad k, n \in \mathbb{Z}$.

е) Исходное уравнение: $\sqrt{2} \sin^2 x + 1 = \sqrt{2} \cos^2 x$.
Перегруппируем члены уравнения:
$1 = \sqrt{2} \cos^2 x - \sqrt{2} \sin^2 x$
$1 = \sqrt{2}(\cos^2 x - \sin^2 x)$
Применим формулу косинуса двойного угла:
$1 = \sqrt{2}\cos(2x)$
$\cos(2x) = \frac{1}{\sqrt{2}} = \frac{\sqrt{2}}{2}$
$2x = \pm\arccos\left(\frac{\sqrt{2}}{2}\right) + 2\pi k, \quad k \in \mathbb{Z}$
$2x = \pm\frac{\pi}{4} + 2\pi k, \quad k \in \mathbb{Z}$
$x = \pm\frac{\pi}{8} + \pi k, \quad k \in \mathbb{Z}$
Ответ: $x = \pm\frac{\pi}{8} + \pi k, \quad k \in \mathbb{Z}$.

Помогло решение? Оставьте отзыв в комментариях ниже.

Присоединяйтесь к Телеграм-группе @gdz_by_belarus

Присоединиться

Мы подготовили для вас ответ c подробным объяснением домашего задания по алгебре за 10 класс, для упражнения номер 1.477 расположенного на странице 148 к учебнику 2019 года издания для учащихся школ и гимназий.

Теперь на нашем сайте ГДЗ.ТОП вы всегда легко и бесплатно найдёте условие с правильным ответом на вопрос «Как решить ДЗ» и «Как сделать» задание по алгебре к упражнению №1.477 (с. 148), авторов: Арефьева (Ирина Глебовна), Пирютко (Ольга Николаевна), учебного пособия издательства Народная асвета.