Номер 1.475, страница 147 - гдз по алгебре 10 класс учебник Арефьева, Пирютко

Алгебра, 10 класс Учебник, авторы: Арефьева Ирина Глебовна, Пирютко Ольга Николаевна, издательство Народная асвета, Минск, 2019, голубого цвета

Авторы: Арефьева И. Г., Пирютко О. Н.

Тип: Учебник

Издательство: Народная асвета

Год издания: 2019 - 2025

Цвет обложки: голубой с графиком

Допущено Министерством образования Республики Беларусь

Популярные ГДЗ в 10 классе

Глава 1. Тригонометрия. Параграф 11. Формулы двойного аргумента - номер 1.475, страница 147.

№1.475 (с. 147)
Условие. №1.475 (с. 147)
скриншот условия
Алгебра, 10 класс Учебник, авторы: Арефьева Ирина Глебовна, Пирютко Ольга Николаевна, издательство Народная асвета, Минск, 2019, голубого цвета, страница 147, номер 1.475, Условие

1.475. Найдите значение выражения, используя формулы двойных углов:

а) $2\sin \frac{\pi}{8}\cos \frac{\pi}{8};$

б) $6\sin 15^\circ \cos 15^\circ;$

в) $\cos^2 15^\circ - \sin^2 15^\circ;$

г) $\sin^2 \frac{\pi}{8} - \cos^2 \frac{\pi}{8};$

д) $\frac{2\operatorname{tg} \frac{\pi}{12}}{\operatorname{tg}^2 \frac{\pi}{12} - 1};$

е) $\frac{2\operatorname{tg} 165^\circ}{1 - \operatorname{tg}^2 165^\circ}.$

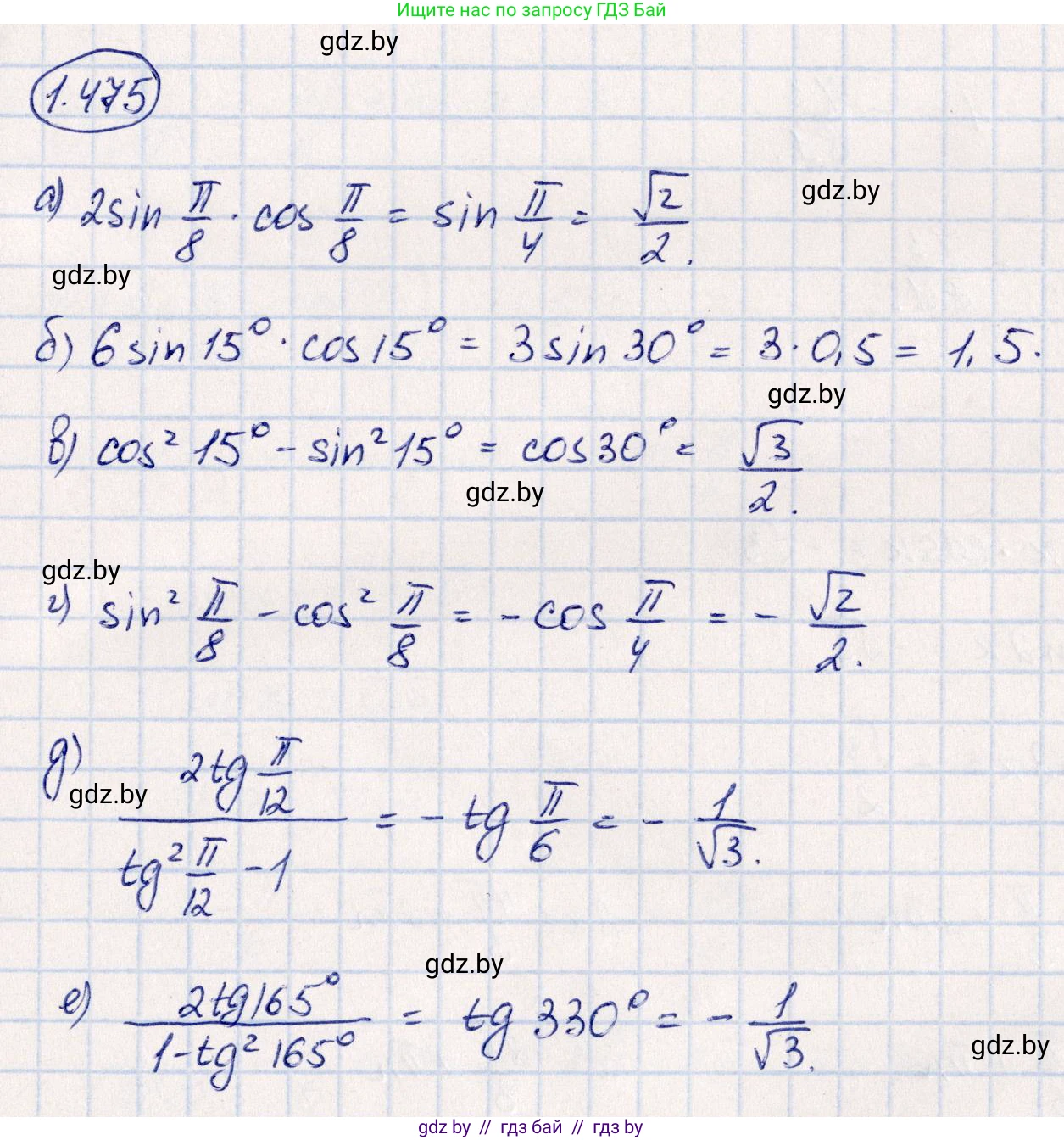
Решение. №1.475 (с. 147)
Алгебра, 10 класс Учебник, авторы: Арефьева Ирина Глебовна, Пирютко Ольга Николаевна, издательство Народная асвета, Минск, 2019, голубого цвета, страница 147, номер 1.475, Решение
Решение 2. №1.475 (с. 147)

Для решения данных задач воспользуемся формулами двойных углов:

  • Формула синуса двойного угла: $\sin(2\alpha) = 2\sin\alpha\cos\alpha$
  • Формула косинуса двойного угла: $\cos(2\alpha) = \cos^2\alpha - \sin^2\alpha$
  • Формула тангенса двойного угла: $\tg(2\alpha) = \frac{2\tg\alpha}{1 - \tg^2\alpha}$

а) Данное выражение $2\sin\frac{\pi}{8}\cos\frac{\pi}{8}$ является правой частью формулы синуса двойного угла, где угол $\alpha = \frac{\pi}{8}$.
Применим формулу:$2\sin\frac{\pi}{8}\cos\frac{\pi}{8} = \sin(2 \cdot \frac{\pi}{8}) = \sin(\frac{2\pi}{8}) = \sin(\frac{\pi}{4})$.
Значение $\sin(\frac{\pi}{4})$ является табличным и равно $\frac{\sqrt{2}}{2}$.
Ответ: $\frac{\sqrt{2}}{2}$.

б) Преобразуем выражение $6\sin15^\circ\cos15^\circ$ для использования формулы синуса двойного угла:$6\sin15^\circ\cos15^\circ = 3 \cdot (2\sin15^\circ\cos15^\circ)$.
Выражение в скобках соответствует формуле синуса двойного угла, где $\alpha = 15^\circ$:$3 \cdot (2\sin15^\circ\cos15^\circ) = 3 \cdot \sin(2 \cdot 15^\circ) = 3 \cdot \sin(30^\circ)$.
Табличное значение $\sin(30^\circ) = \frac{1}{2}$.
Вычисляем результат:$3 \cdot \frac{1}{2} = \frac{3}{2}$.
Так как это неправильная дробь, выделим целую часть: $\frac{3}{2} = 1\frac{1}{2}$.
Ответ: $1\frac{1}{2}$.

в) Выражение $\cos^2 15^\circ - \sin^2 15^\circ$ полностью соответствует формуле косинуса двойного угла, где $\alpha = 15^\circ$.
Применяем формулу:$\cos^2 15^\circ - \sin^2 15^\circ = \cos(2 \cdot 15^\circ) = \cos(30^\circ)$.
Табличное значение $\cos(30^\circ) = \frac{\sqrt{3}}{2}$.
Ответ: $\frac{\sqrt{3}}{2}$.

г) Выражение $\sin^2\frac{\pi}{8} - \cos^2\frac{\pi}{8}$ похоже на формулу косинуса двойного угла, но с обратными знаками. Вынесем минус за скобки:$\sin^2\frac{\pi}{8} - \cos^2\frac{\pi}{8} = -(\cos^2\frac{\pi}{8} - \sin^2\frac{\pi}{8})$.
Теперь выражение в скобках соответствует формуле косинуса двойного угла, где $\alpha = \frac{\pi}{8}$:$-(\cos^2\frac{\pi}{8} - \sin^2\frac{\pi}{8}) = -\cos(2 \cdot \frac{\pi}{8}) = -\cos(\frac{2\pi}{8}) = -\cos(\frac{\pi}{4})$.
Табличное значение $\cos(\frac{\pi}{4}) = \frac{\sqrt{2}}{2}$.
Таким образом, итоговый результат равен $-\frac{\sqrt{2}}{2}$.
Ответ: $-\frac{\sqrt{2}}{2}$.

д) Выражение $\frac{2\tg\frac{\pi}{12}}{\tg^2\frac{\pi}{12} - 1}$ очень похоже на формулу тангенса двойного угла. Отличие в знаменателе. Преобразуем его:$\frac{2\tg\frac{\pi}{12}}{\tg^2\frac{\pi}{12} - 1} = \frac{2\tg\frac{\pi}{12}}{-(1 - \tg^2\frac{\pi}{12})} = -\frac{2\tg\frac{\pi}{12}}{1 - \tg^2\frac{\pi}{12}}$.
Теперь выражение является формулой тангенса двойного угла со знаком минус, где $\alpha = \frac{\pi}{12}$:$-\frac{2\tg\frac{\pi}{12}}{1 - \tg^2\frac{\pi}{12}} = -\tg(2 \cdot \frac{\pi}{12}) = -\tg(\frac{2\pi}{12}) = -\tg(\frac{\pi}{6})$.
Табличное значение $\tg(\frac{\pi}{6}) = \frac{\sqrt{3}}{3}$.
Следовательно, результат равен $-\frac{\sqrt{3}}{3}$.
Ответ: $-\frac{\sqrt{3}}{3}$.

е) Выражение $\frac{2\tg165^\circ}{1 - \tg^2 165^\circ}$ полностью соответствует формуле тангенса двойного угла, где $\alpha = 165^\circ$.
Применим формулу:$\frac{2\tg165^\circ}{1 - \tg^2 165^\circ} = \tg(2 \cdot 165^\circ) = \tg(330^\circ)$.
Для вычисления значения используем формулы приведения:$\tg(330^\circ) = \tg(360^\circ - 30^\circ) = \tg(-30^\circ)$.
Тангенс является нечетной функцией, поэтому $\tg(-30^\circ) = -\tg(30^\circ)$.
Табличное значение $\tg(30^\circ) = \frac{\sqrt{3}}{3}$.
Таким образом, итоговый результат равен $-\frac{\sqrt{3}}{3}$.
Ответ: $-\frac{\sqrt{3}}{3}$.

Помогло решение? Оставьте отзыв в комментариях ниже.

Присоединяйтесь к Телеграм-группе @gdz_by_belarus

Присоединиться

Мы подготовили для вас ответ c подробным объяснением домашего задания по алгебре за 10 класс, для упражнения номер 1.475 расположенного на странице 147 к учебнику 2019 года издания для учащихся школ и гимназий.

Теперь на нашем сайте ГДЗ.ТОП вы всегда легко и бесплатно найдёте условие с правильным ответом на вопрос «Как решить ДЗ» и «Как сделать» задание по алгебре к упражнению №1.475 (с. 147), авторов: Арефьева (Ирина Глебовна), Пирютко (Ольга Николаевна), учебного пособия издательства Народная асвета.