Номер 160, страница 77 - гдз по геометрии 10 класс учебник Латотин, Чеботаревский

Геометрия, 10 класс Учебник, авторы: Латотин Леонид Александрович, Чеботаревский Борис Дмитриевич, Горбунова Ирина Владимировна, издательство Адукацыя i выхаванне, Минск, 2020, белого цвета

Авторы: Латотин Л. А., Чеботаревский Б. Д., Горбунова И. В.

Тип: Учебник

Издательство: Адукацыя i выхаванне

Год издания: 2020 - 2025

Уровень обучения: базовый и повышенный

Цвет обложки: белый в клеточку

Допущено Министерством образования Республики Беларусь

Популярные ГДЗ в 10 классе

Раздел 2. Параллельность прямых и плоскостей. Параграф 6. Взаимное расположение плоскостей в пространстве. Задания - номер 160, страница 77.

№160 (с. 77)
Условие. №160 (с. 77)
скриншот условия
Геометрия, 10 класс Учебник, авторы: Латотин Леонид Александрович, Чеботаревский Борис Дмитриевич, Горбунова Ирина Владимировна, издательство Адукацыя i выхаванне, Минск, 2020, белого цвета, страница 77, номер 160, Условие

160. Параллельные плоскости $\alpha$ и $\beta$ пересекают сторону $CB$ угла $BCD$ в точках $B_1$ и $B_2$, а сторону $CD$ — в точках $D_1$ и $D_2$ соответственно. Найдите:

Рис. 200

а) $CB_2$ и $CD_2$, учитывая, что $B_2D_2 = 3B_1D_1$, $B_1B_2 = 12$ см, $CD_1 = 5$ см;

б) $B_2D_2$ и $CB_2$, учитывая, что $B_1D_1 = 18$ см, $CB_1 = 24$ см, $CB_2 = \frac{3}{2} B_1B_2$.

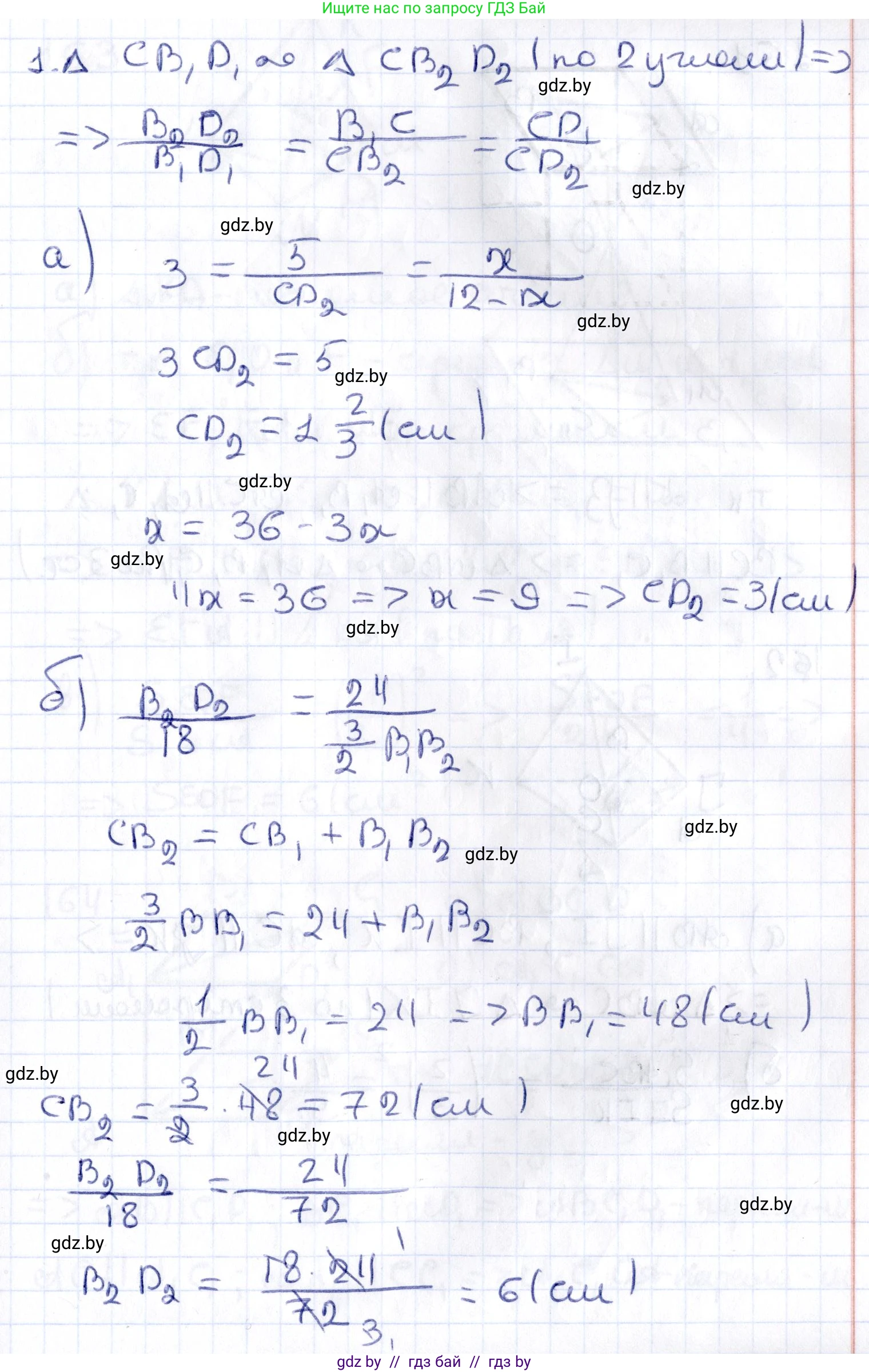
Решение 1. №160 (с. 77)
Геометрия, 10 класс Учебник, авторы: Латотин Леонид Александрович, Чеботаревский Борис Дмитриевич, Горбунова Ирина Владимировна, издательство Адукацыя i выхаванне, Минск, 2020, белого цвета, страница 77, номер 160, Решение 1 Геометрия, 10 класс Учебник, авторы: Латотин Леонид Александрович, Чеботаревский Борис Дмитриевич, Горбунова Ирина Владимировна, издательство Адукацыя i выхаванне, Минск, 2020, белого цвета, страница 77, номер 160, Решение 1 (продолжение 2)
Решение 2. №160 (с. 77)
Геометрия, 10 класс Учебник, авторы: Латотин Леонид Александрович, Чеботаревский Борис Дмитриевич, Горбунова Ирина Владимировна, издательство Адукацыя i выхаванне, Минск, 2020, белого цвета, страница 77, номер 160, Решение 2 Геометрия, 10 класс Учебник, авторы: Латотин Леонид Александрович, Чеботаревский Борис Дмитриевич, Горбунова Ирина Владимировна, издательство Адукацыя i выхаванне, Минск, 2020, белого цвета, страница 77, номер 160, Решение 2 (продолжение 2)
Решение 3. №160 (с. 77)

Поскольку параллельные плоскости $\alpha$ и $\beta$ пересекают стороны угла $BCD$, то согласно обобщенной теореме Фалеса, прямые $B_1D_1$ и $B_2D_2$, по которым эти плоскости пересекают плоскость угла, параллельны. Следовательно, треугольники $\triangle CB_1D_1$ и $\triangle CB_2D_2$ подобны по двум углам (угол $C$ общий, а углы $\angle CB_1D_1$ и $\angle CB_2D_2$ равны как соответственные при параллельных прямых $B_1D_1$ и $B_2D_2$ и секущей $CB$).

Из подобия треугольников следует пропорциональность их сторон:

$\frac{CB_1}{CB_2} = \frac{CD_1}{CD_2} = \frac{B_1D_1}{B_2D_2}$

а)

Дано: $B_2D_2 = 3B_1D_1$, $B_1B_2 = 12$ см, $CD_1 = 5$ см. Найти $CB_2$ и $CD_2$.

Из условия $B_2D_2 = 3B_1D_1$ следует, что коэффициент подобия треугольников $\triangle CB_2D_2$ и $\triangle CB_1D_1$ равен $k = \frac{B_2D_2}{B_1D_1} = 3$.

Значит, $\frac{CB_2}{CB_1} = 3$ и $\frac{CD_2}{CD_1} = 3$.

Из соотношения $\frac{CB_2}{CB_1} = 3$ получаем $CB_2 = 3CB_1$.

Точка $B_1$ лежит между точками $C$ и $B_2$ (так как плоскости пересекают стороны угла), поэтому $CB_2 = CB_1 + B_1B_2$.

Подставим $CB_2 = 3CB_1$ в это равенство: $3CB_1 = CB_1 + B_1B_2$.

Отсюда $2CB_1 = B_1B_2$.

Так как $B_1B_2 = 12$ см, то $2CB_1 = 12$ см, и $CB_1 = 6$ см.

Теперь найдем $CB_2$: $CB_2 = CB_1 + B_1B_2 = 6 + 12 = 18$ см.

Для нахождения $CD_2$ воспользуемся соотношением $\frac{CD_2}{CD_1} = 3$, откуда $CD_2 = 3CD_1$.

Подставим известное значение $CD_1 = 5$ см: $CD_2 = 3 \cdot 5 = 15$ см.

Ответ: $CB_2 = 18$ см, $CD_2 = 15$ см.

б)

Дано: $B_1D_1 = 18$ см, $CB_1 = 24$ см, $CB_2 = \frac{3}{2} B_1B_2$. Найти $B_2D_2$ и $CB_2$.

Как и в предыдущем пункте, используем равенство $CB_2 = CB_1 + B_1B_2$.

Приравняем это выражение к данному в условии: $CB_1 + B_1B_2 = \frac{3}{2} B_1B_2$.

Выразим $CB_1$: $CB_1 = \frac{3}{2} B_1B_2 - B_1B_2 = (\frac{3}{2} - 1)B_1B_2 = \frac{1}{2} B_1B_2$.

Подставим известное значение $CB_1 = 24$ см: $24 = \frac{1}{2} B_1B_2$, откуда $B_1B_2 = 2 \cdot 24 = 48$ см.

Теперь найдем $CB_2$, используя любое из выражений. Например: $CB_2 = CB_1 + B_1B_2 = 24 + 48 = 72$ см.

Теперь, зная стороны $CB_1$ и $CB_2$, найдем коэффициент подобия $k$:

$k = \frac{CB_2}{CB_1} = \frac{72}{24} = 3$.

Из пропорции $\frac{B_2D_2}{B_1D_1} = k$ найдем $B_2D_2$:

$B_2D_2 = k \cdot B_1D_1 = 3 \cdot 18 = 54$ см.

Ответ: $B_2D_2 = 54$ см, $CB_2 = 72$ см.

Помогло решение? Оставьте отзыв в комментариях ниже.

Присоединяйтесь к Телеграм-группе @gdz_by_belarus

Присоединиться

Мы подготовили для вас ответ c подробным объяснением домашего задания по геометрии за 10 класс, для упражнения номер 160 расположенного на странице 77 к учебнику 2020 года издания для учащихся школ и гимназий.

Теперь на нашем сайте ГДЗ.ТОП вы всегда легко и бесплатно найдёте условие с правильным ответом на вопрос «Как решить ДЗ» и «Как сделать» задание по геометрии к упражнению №160 (с. 77), авторов: Латотин (Леонид Александрович), Чеботаревский (Борис Дмитриевич), Горбунова (Ирина Владимировна), базовый и повышенный уровень обучения учебного пособия издательства Адукацыя i выхаванне.