Номер 271, страница 107 - гдз по геометрии 10 класс учебник Латотин, Чеботаревский

Геометрия, 10 класс Учебник, авторы: Латотин Леонид Александрович, Чеботаревский Борис Дмитриевич, Горбунова Ирина Владимировна, издательство Адукацыя i выхаванне, Минск, 2020, белого цвета

Авторы: Латотин Л. А., Чеботаревский Б. Д., Горбунова И. В.

Тип: Учебник

Издательство: Адукацыя i выхаванне

Год издания: 2020 - 2025

Уровень обучения: базовый и повышенный

Цвет обложки: белый в клеточку

Допущено Министерством образования Республики Беларусь

Популярные ГДЗ в 10 классе

Раздел 3. Перпендикулярность прямых и плоскостей. Параграф 8. Расстояния. Задания - номер 271, страница 107.

№271 (с. 107)
Условие. №271 (с. 107)
скриншот условия
Геометрия, 10 класс Учебник, авторы: Латотин Леонид Александрович, Чеботаревский Борис Дмитриевич, Горбунова Ирина Владимировна, издательство Адукацыя i выхаванне, Минск, 2020, белого цвета, страница 107, номер 271, Условие

271. Дана треугольная пирамида $PABC$, у которой $PA = PB = PC = 2$, $AC = 3$ и $AB = 2$. Начертите её и найдите расстояние от вершины до основания пирамиды, учитывая, что ребро $BC$ равно:

а) 2;

б) 3;

в) $\sqrt{5}$.

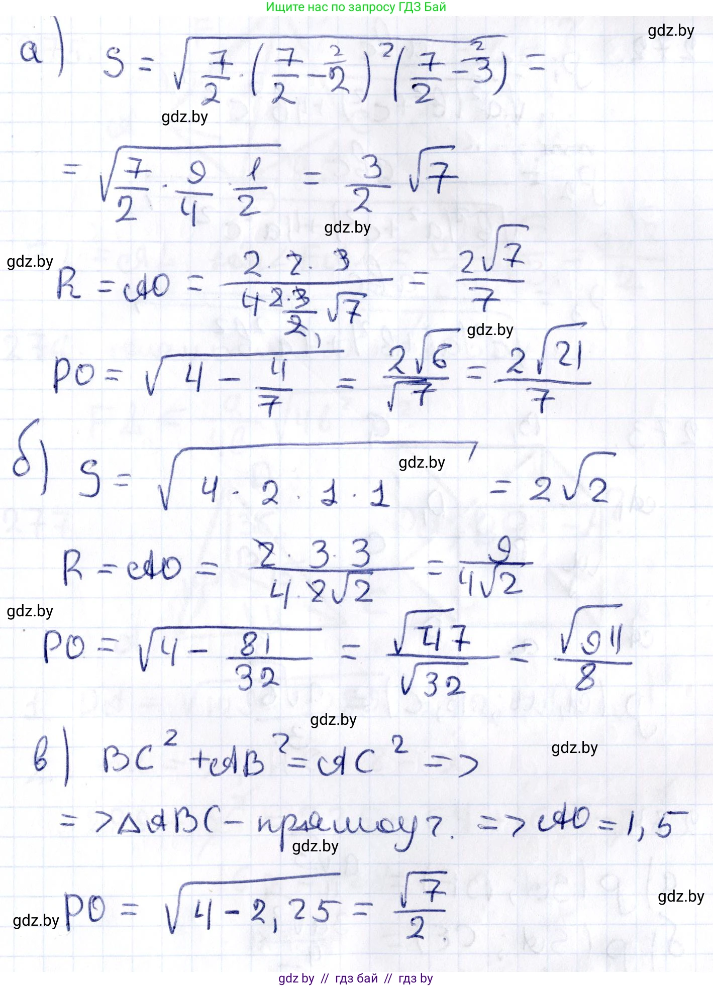
Решение 2. №271 (с. 107)
Геометрия, 10 класс Учебник, авторы: Латотин Леонид Александрович, Чеботаревский Борис Дмитриевич, Горбунова Ирина Владимировна, издательство Адукацыя i выхаванне, Минск, 2020, белого цвета, страница 107, номер 271, Решение 2 Геометрия, 10 класс Учебник, авторы: Латотин Леонид Александрович, Чеботаревский Борис Дмитриевич, Горбунова Ирина Владимировна, издательство Адукацыя i выхаванне, Минск, 2020, белого цвета, страница 107, номер 271, Решение 2 (продолжение 2)
Решение 3. №271 (с. 107)

Поскольку все боковые ребра пирамиды равны ($PA = PB = PC = 2$), ее вершина $P$ проецируется в центр $O$ окружности, описанной около основания $ABC$. Расстояние от вершины до основания — это высота пирамиды $PO$. Обозначим ее $h$.

Чтобы начертить пирамиду, сначала строится треугольник-основание $ABC$ с заданными сторонами. Затем находится центр $O$ описанной около него окружности. Из точки $O$ восстанавливается перпендикуляр $PO$ к плоскости основания. Длина этого перпендикуляра и есть искомое расстояние. Наконец, точка $P$ соединяется с вершинами $A, B, C$.

Рассмотрим прямоугольный треугольник $POA$. В нем гипотенуза — это боковое ребро $PA=2$, один катет — это радиус $R$ описанной окружности основания ($OA=R$), а второй катет — это высота пирамиды $h=PO$.

По теореме Пифагора: $PA^2 = OA^2 + PO^2$, то есть $2^2 = R^2 + h^2$. Отсюда высоту можно найти по формуле: $h = \sqrt{4 - R^2}$.

Таким образом, для решения задачи в каждом случае необходимо найти радиус $R$ окружности, описанной около треугольника $ABC$.

а) $BC = 2$

В основании пирамиды лежит треугольник $ABC$ со сторонами $AB=2, AC=3, BC=2$. Это равнобедренный треугольник.

Найдем радиус $R$ описанной окружности по формуле $R = \frac{abc}{4S}$, где $a, b, c$ — стороны треугольника, а $S$ — его площадь. Для нахождения площади $S$ воспользуемся формулой Герона. Полупериметр $p$ равен:

$p = \frac{2+3+2}{2} = \frac{7}{2}$

Площадь $S$ равна:

$S = \sqrt{p(p-a)(p-b)(p-c)} = \sqrt{\frac{7}{2}(\frac{7}{2}-2)(\frac{7}{2}-3)(\frac{7}{2}-2)} = \sqrt{\frac{7}{2} \cdot \frac{3}{2} \cdot \frac{1}{2} \cdot \frac{3}{2}} = \sqrt{\frac{63}{16}} = \frac{3\sqrt{7}}{4}$

Теперь найдем радиус $R$:

$R = \frac{2 \cdot 3 \cdot 2}{4 \cdot \frac{3\sqrt{7}}{4}} = \frac{12}{3\sqrt{7}} = \frac{4}{\sqrt{7}}$

Наконец, вычислим высоту $h$:

$h = \sqrt{4-R^2} = \sqrt{4 - \left(\frac{4}{\sqrt{7}}\right)^2} = \sqrt{4 - \frac{16}{7}} = \sqrt{\frac{28-16}{7}} = \sqrt{\frac{12}{7}} = \frac{2\sqrt{3}}{\sqrt{7}} = \frac{2\sqrt{21}}{7}$

Ответ: $\frac{2\sqrt{21}}{7}$

б) $BC = 3$

В основании пирамиды лежит треугольник $ABC$ со сторонами $AB=2, AC=3, BC=3$. Это равнобедренный треугольник.

Найдем радиус $R$ описанной окружности. Сначала вычислим площадь $S$ по формуле Герона. Полупериметр $p$ равен:

$p = \frac{2+3+3}{2} = \frac{8}{2} = 4$

Площадь $S$ равна:

$S = \sqrt{p(p-a)(p-b)(p-c)} = \sqrt{4(4-2)(4-3)(4-3)} = \sqrt{4 \cdot 2 \cdot 1 \cdot 1} = \sqrt{8} = 2\sqrt{2}$

Теперь найдем радиус $R$:

$R = \frac{2 \cdot 3 \cdot 3}{4 \cdot 2\sqrt{2}} = \frac{18}{8\sqrt{2}} = \frac{9}{4\sqrt{2}} = \frac{9\sqrt{2}}{8}$

Вычислим высоту $h$:

$h = \sqrt{4-R^2} = \sqrt{4 - \left(\frac{9\sqrt{2}}{8}\right)^2} = \sqrt{4 - \frac{81 \cdot 2}{64}} = \sqrt{4 - \frac{81}{32}} = \sqrt{\frac{128-81}{32}} = \sqrt{\frac{47}{32}} = \frac{\sqrt{47}}{4\sqrt{2}} = \frac{\sqrt{94}}{8}$

Ответ: $\frac{\sqrt{94}}{8}$

в) $BC = \sqrt{5}$

В основании пирамиды лежит треугольник $ABC$ со сторонами $AB=2, AC=3, BC=\sqrt{5}$.

Проверим, не является ли треугольник прямоугольным, с помощью теоремы Пифагора:

$AB^2 + BC^2 = 2^2 + (\sqrt{5})^2 = 4 + 5 = 9$

$AC^2 = 3^2 = 9$

Поскольку $AB^2 + BC^2 = AC^2$, то по обратной теореме Пифагора треугольник $ABC$ является прямоугольным с гипотенузой $AC$ и прямым углом при вершине $B$.

Центр окружности, описанной около прямоугольного треугольника, находится на середине его гипотенузы. Поэтому радиус $R$ равен половине длины гипотенузы:

$R = \frac{AC}{2} = \frac{3}{2}$

Вычислим высоту $h$:

$h = \sqrt{4-R^2} = \sqrt{4 - \left(\frac{3}{2}\right)^2} = \sqrt{4 - \frac{9}{4}} = \sqrt{\frac{16-9}{4}} = \sqrt{\frac{7}{4}} = \frac{\sqrt{7}}{2}$

Ответ: $\frac{\sqrt{7}}{2}$

Помогло решение? Оставьте отзыв в комментариях ниже.

Присоединяйтесь к Телеграм-группе @gdz_by_belarus

Присоединиться

Мы подготовили для вас ответ c подробным объяснением домашего задания по геометрии за 10 класс, для упражнения номер 271 расположенного на странице 107 к учебнику 2020 года издания для учащихся школ и гимназий.

Теперь на нашем сайте ГДЗ.ТОП вы всегда легко и бесплатно найдёте условие с правильным ответом на вопрос «Как решить ДЗ» и «Как сделать» задание по геометрии к упражнению №271 (с. 107), авторов: Латотин (Леонид Александрович), Чеботаревский (Борис Дмитриевич), Горбунова (Ирина Владимировна), базовый и повышенный уровень обучения учебного пособия издательства Адукацыя i выхаванне.