пространственное моделирование, страница 131 - гдз по геометрии 10 класс учебник Латотин, Чеботаревский

Геометрия, 10 класс Учебник, авторы: Латотин Леонид Александрович, Чеботаревский Борис Дмитриевич, Горбунова Ирина Владимировна, издательство Адукацыя i выхаванне, Минск, 2020, белого цвета

Авторы: Латотин Л. А., Чеботаревский Б. Д., Горбунова И. В.

Тип: Учебник

Издательство: Адукацыя i выхаванне

Год издания: 2020 - 2025

Уровень обучения: базовый и повышенный

Цвет обложки: белый в клеточку

Допущено Министерством образования Республики Беларусь

Популярные ГДЗ в 10 классе

Раздел 3. Перпендикулярность прямых и плоскостей. Параграф 10. Перпендикулярность плоскостей. Задания - страница 131.

пространственное моделирование (с. 131)
Условие. пространственное моделирование (с. 131)
скриншот условия
Геометрия, 10 класс Учебник, авторы: Латотин Леонид Александрович, Чеботаревский Борис Дмитриевич, Горбунова Ирина Владимировна, издательство Адукацыя i выхаванне, Минск, 2020, белого цвета, страница 131, Условие

Пространственное моделирование

Отдельным видом параллельного проектирования, применяемого в геометрии для изображения пространственных фигур, является ортогональное проектирование.

Ортогональной проекцией точки на плоскость $\alpha$ называется точка пересечения с этой плоскостью прямой, проходящей через данную точку перпендикулярно $\alpha$.

Ортогональной проекцией фигуры на плоскость называется множество ортогональных проекций всех точек этой фигуры на плоскость.

а) Найдите площадь ортогональной проекции треугольника с площадью $S$ на плоскость $\alpha$, учитывая, что одна из его сторон лежит в плоскости $\alpha$, а угол наклона плоскости треугольника к плоскости $\alpha$ равен $\beta$ ($0^{\circ} < \beta < 90^{\circ}$) (рис. 328).

б) Решите предыдущую задачу, учитывая, что треугольник не имеет с плоскостью $\alpha$ общих точек и одна из сторон треугольника параллельна плоскости $\alpha$ (рис. 329).

в*) Найдите площадь ортогональной проекции многоугольника с площадью $S$ на плоскость $\alpha$, учитывая, что угол наклона плоскости многоугольника к плоскости $\alpha$ равен $\beta$ ($0^{\circ} < \beta < 90^{\circ}$).

г*) Используя результаты решения задач а–в, докажите пространственную теорему Пифагора: «Если все плоские углы при одной вершине тетраэдра прямые, то квадрат площади грани, противоположной этой вершине, равен сумме квадратов площадей остальных граней» (рис. 330).

Если $AJIK$ — треугольная пирамида, $AJ \perp IJ, AJ \perp JK$ и $JI \perp KJ$, то

$S_{AIK}^2 = S_{AIJ}^2 + S_{AKJ}^2 + S_{IJK}^2$

Рис. 328

Рис. 329

Рис. 330

Решение 2. пространственное моделирование (с. 131)
Геометрия, 10 класс Учебник, авторы: Латотин Леонид Александрович, Чеботаревский Борис Дмитриевич, Горбунова Ирина Владимировна, издательство Адукацыя i выхаванне, Минск, 2020, белого цвета, страница 131, Решение 2
Решение 3. пространственное моделирование (с. 131)

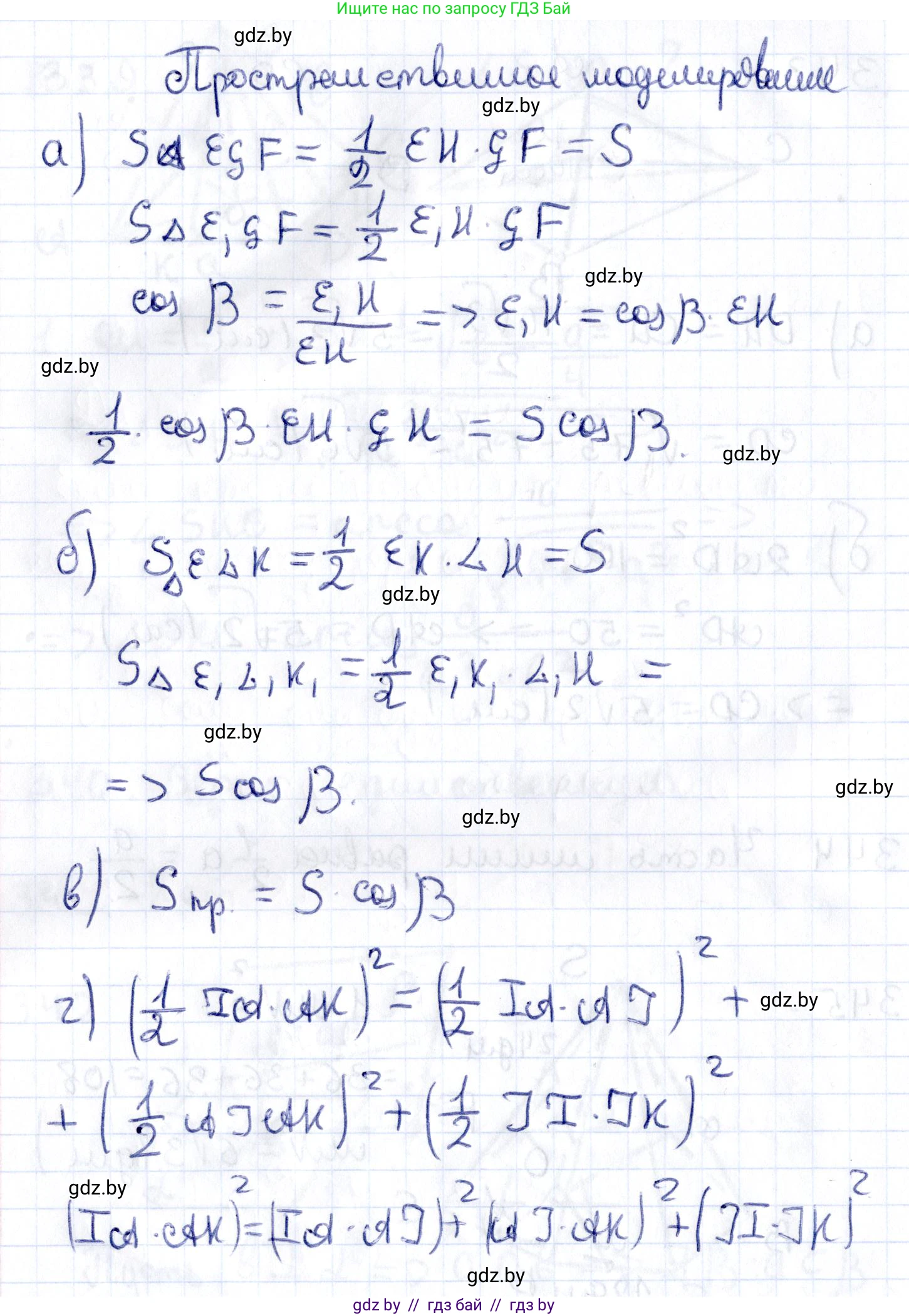
а) Пусть дан треугольник $EFG$ с площадью $S$, сторона $FG$ которого лежит в плоскости проекции $\alpha$, а угол наклона плоскости треугольника к плоскости $\alpha$ равен $\beta$ (рис. 328). Ортогональной проекцией треугольника $EFG$ на плоскость $\alpha$ является треугольник $E_1FG$, где $E_1$ — ортогональная проекция точки $E$ на плоскость $\alpha$.

Площадь исходного треугольника $S$ можно найти через основание $FG$ и высоту $EH$, проведенную к этому основанию: $S = \frac{1}{2} FG \cdot EH$.

Высотой в проекции, треугольнике $E_1FG$, является отрезок $E_1H$. Это следует из теоремы о трех перпендикулярах: так как $EE_1 \perp \alpha$ (по определению проекции) и наклонная $EH \perp FG$, то и ее проекция $E_1H \perp FG$.

Площадь проекции $S_{пр}$ равна $S_{пр} = S_{E_1FG} = \frac{1}{2} FG \cdot E_1H$.

Угол $\beta$ между плоскостью треугольника $EFG$ и плоскостью $\alpha$ — это двугранный угол при ребре $FG$. Его линейной мерой является угол $\angle EHE_1$, так как $EH \perp FG$ и $E_1H \perp FG$. Итак, $\angle EHE_1 = \beta$.

В прямоугольном треугольнике $EHE_1$ (с прямым углом $\angle EE_1H$) катет $E_1H$ связан с гипотенузой $EH$ соотношением: $E_1H = EH \cdot \cos(\angle EHE_1) = EH \cdot \cos \beta$.

Подставим это выражение в формулу для площади проекции:

$S_{пр} = \frac{1}{2} FG \cdot (EH \cdot \cos \beta) = \left(\frac{1}{2} FG \cdot EH\right) \cdot \cos \beta = S \cdot \cos \beta$.

Ответ: Площадь ортогональной проекции треугольника равна $S_{пр} = S \cdot \cos \beta$.

б) Рассмотрим треугольник $ELK$ (рис. 329) с площадью $S$, у которого одна из сторон ($EL$) параллельна плоскости проекции $\alpha$, а плоскость треугольника наклонена к плоскости $\alpha$ под углом $\beta$.

Поскольку сторона $EL$ параллельна плоскости $\alpha$, мы можем выполнить параллельный перенос всей системы (треугольника и плоскости) в направлении, перпендикулярном плоскости $\alpha$, так, чтобы сторона $EL$ оказалась в плоскости $\alpha$. Такой перенос является движением (изометрией), поэтому он сохраняет все расстояния, углы и площади. В частности, площадь треугольника $S$ и площадь его проекции $S_{пр}$ не изменятся.

После такого переноса мы получаем ситуацию, полностью аналогичную задаче а): треугольник с площадью $S$, одна из сторон которого лежит в плоскости проекции, а угол наклона его плоскости равен $\beta$.

Следовательно, для нахождения площади проекции можно использовать ту же формулу, что и в предыдущей задаче.

Ответ: Площадь ортогональной проекции треугольника равна $S_{пр} = S \cdot \cos \beta$.

в*) Пусть дан многоугольник с площадью $S$, лежащий в плоскости, которая наклонена к плоскости проекции $\alpha$ под углом $\beta$. Требуется найти площадь его ортогональной проекции $S_{пр}$.

Любой многоугольник можно разбить на конечное число непересекающихся треугольников $T_1, T_2, \dots, T_n$. Площадь многоугольника равна сумме площадей этих треугольников: $S = S(T_1) + S(T_2) + \dots + S(T_n)$.

Ортогональная проекция многоугольника является объединением ортогональных проекций составляющих его треугольников $T'_1, T'_2, \dots, T'_n$. Так как исходные треугольники не пересекаются (кроме как по границам), их проекции также не будут пересекаться. Поэтому площадь проекции многоугольника равна сумме площадей проекций треугольников: $S_{пр} = S(T'_1) + S(T'_2) + \dots + S(T'_n)$.

Все треугольники $T_1, T_2, \dots, T_n$ лежат в одной плоскости, образующей угол $\beta$ с плоскостью $\alpha$. Как было установлено в задачах а) и б), площадь ортогональной проекции любого треугольника вычисляется по формуле $S_{пр \triangle} = S_{\triangle} \cdot \cos \beta$. Применим эту формулу для каждого треугольника $T_i$:

$S(T'_i) = S(T_i) \cdot \cos \beta$.

Тогда площадь проекции многоугольника равна:

$S_{пр} = S(T_1)\cos\beta + S(T_2)\cos\beta + \dots + S(T_n)\cos\beta$.

Вынесем общий множитель $\cos \beta$ за скобки:

$S_{пр} = (S(T_1) + S(T_2) + \dots + S(T_n)) \cdot \cos \beta$.

Сумма в скобках равна площади исходного многоугольника $S$. Таким образом, мы получаем общую формулу:

$S_{пр} = S \cdot \cos \beta$.

Ответ: Площадь ортогональной проекции многоугольника равна $S_{пр} = S \cdot \cos \beta$.

г*) Докажем пространственную теорему Пифагора для тетраэдра $AJIK$, у которого все плоские углы при вершине $J$ прямые. Это означает, что ребра $AJ, IJ, KJ$ попарно перпендикулярны. Теорема утверждает: $S_{AIK}^2 = S_{AIJ}^2 + S_{AKJ}^2 + S_{IJK}^2$.

Воспользуемся результатами предыдущих задач. Поместим вершину $J$ в начало прямоугольной системы координат, а ребра $JI, JK, JA$ направим вдоль осей $Ox, Oy, Oz$ соответственно. В этом случае грани $IJK, AIJ, AKJ$ будут лежать в координатных плоскостях $Oxy, Oxz, Oyz$.

Рассмотрим грань $AIK$ ("гипотенузную" грань) и ее ортогональные проекции на три координатные плоскости:

  • Проекцией треугольника $AIK$ на плоскость $Oxy$ является треугольник $IJK$.
  • Проекцией треугольника $AIK$ на плоскость $Oyz$ является треугольник $AKJ$.
  • Проекцией треугольника $AIK$ на плоскость $Oxz$ является треугольник $AIJ$.

Согласно результату задачи в*), площадь проекции фигуры $S_{пр}$ связана с площадью самой фигуры $S$ соотношением $S_{пр} = S \cdot \cos \beta$, где $\beta$ — угол между плоскостью фигуры и плоскостью проекции.

Обозначим площадь треугольника $AIK$ как $S_{AIK}$. Пусть $\beta_{xy}, \beta_{yz}, \beta_{xz}$ — углы, которые плоскость треугольника $AIK$ образует с координатными плоскостями $Oxy, Oyz, Oxz$ соответственно.

Тогда площади граней-проекций можно выразить следующим образом:

$S_{IJK} = S_{AIK} \cdot \cos \beta_{xy}$

$S_{AKJ} = S_{AIK} \cdot \cos \beta_{yz}$

$S_{AIJ} = S_{AIK} \cdot \cos \beta_{xz}$

Для любой плоскости в пространстве сумма квадратов косинусов углов, которые она образует с тремя взаимно перпендикулярными плоскостями (в данном случае, с координатными плоскостями), равна 1. Это свойство следует из того, что эти косинусы являются направляющими косинусами нормали к плоскости.

$\cos^2 \beta_{xy} + \cos^2 \beta_{yz} + \cos^2 \beta_{xz} = 1$.

Возведем в квадрат выражения для площадей проекций:

$S_{IJK}^2 = S_{AIK}^2 \cdot \cos^2 \beta_{xy}$

$S_{AKJ}^2 = S_{AIK}^2 \cdot \cos^2 \beta_{yz}$

$S_{AIJ}^2 = S_{AIK}^2 \cdot \cos^2 \beta_{xz}$

Сложим эти три равенства:

$S_{IJK}^2 + S_{AKJ}^2 + S_{AIJ}^2 = S_{AIK}^2 \cdot \cos^2 \beta_{xy} + S_{AIK}^2 \cdot \cos^2 \beta_{yz} + S_{AIK}^2 \cdot \cos^2 \beta_{xz}$

Вынесем $S_{AIK}^2$ за скобки:

$S_{IJK}^2 + S_{AKJ}^2 + S_{AIJ}^2 = S_{AIK}^2 (\cos^2 \beta_{xy} + \cos^2 \beta_{yz} + \cos^2 \beta_{xz})$

Используя тождество для косинусов, получаем:

$S_{IJK}^2 + S_{AKJ}^2 + S_{AIJ}^2 = S_{AIK}^2 \cdot 1$

Переставляя части равенства, получаем искомое соотношение:

$S_{AIK}^2 = S_{AIJ}^2 + S_{AKJ}^2 + S_{IJK}^2$.

Таким образом, пространственная теорема Пифагора доказана.

Ответ: Теорема доказана.

Помогло решение? Оставьте отзыв в комментариях ниже.

Присоединяйтесь к Телеграм-группе @gdz_by_belarus

Присоединиться

Мы подготовили для вас ответ c подробным объяснением домашего задания по геометрии за 10 класс, для упражнения пространственное моделирование расположенного на странице 131 к учебнику 2020 года издания для учащихся школ и гимназий.

Теперь на нашем сайте ГДЗ.ТОП вы всегда легко и бесплатно найдёте условие с правильным ответом на вопрос «Как решить ДЗ» и «Как сделать» задание по геометрии к упражнению пространственное моделирование (с. 131), авторов: Латотин (Леонид Александрович), Чеботаревский (Борис Дмитриевич), Горбунова (Ирина Владимировна), базовый и повышенный уровень обучения учебного пособия издательства Адукацыя i выхаванне.