Номер 2, страница 8 - гдз по алгебре 11 класс сборник задач Арефьева, Пирютко

Алгебра, 11 класс Сборник задач, авторы: Арефьева Ирина Глебовна, Пирютко Ольга Николаевна, издательство Народная асвета, Минск, 2020, белого цвета

Авторы: Арефьева И. Г., Пирютко О. Н.

Тип: Сборник задач

Издательство: Народная асвета

Год издания: 2020 - 2025

Уровень обучения: базовый и повышенный

Цвет обложки: белый с графиком

Допущено Министерством образования Республики Беларусь

Популярные ГДЗ в 11 классе

Глава 1. Обобщение понятия степени. Параграф 1. Степень с рациональным показателем. Степень с действительным показателем - номер 2, страница 8.

№2 (с. 8)
Условие. №2 (с. 8)
скриншот условия
Алгебра, 11 класс Сборник задач, авторы: Арефьева Ирина Глебовна, Пирютко Ольга Николаевна, издательство Народная асвета, Минск, 2020, белого цвета, страница 8, номер 2, Условие

1.2. Найдите значение выражения:

а) $(2 - 15^{\frac{1}{4}})(2 + 15^{\frac{1}{4}}) : (3^{\frac{1}{2}} - 5^{\frac{1}{2}})^2;$

б) $(16^{-0.25} - 3^{-\frac{1}{2}}) \cdot ((3\sqrt{3})^{-\frac{1}{3}} + 4^{-0.5}).$

Решение. №2 (с. 8)
Алгебра, 11 класс Сборник задач, авторы: Арефьева Ирина Глебовна, Пирютко Ольга Николаевна, издательство Народная асвета, Минск, 2020, белого цвета, страница 8, номер 2, Решение
Решение 2. №2 (с. 8)

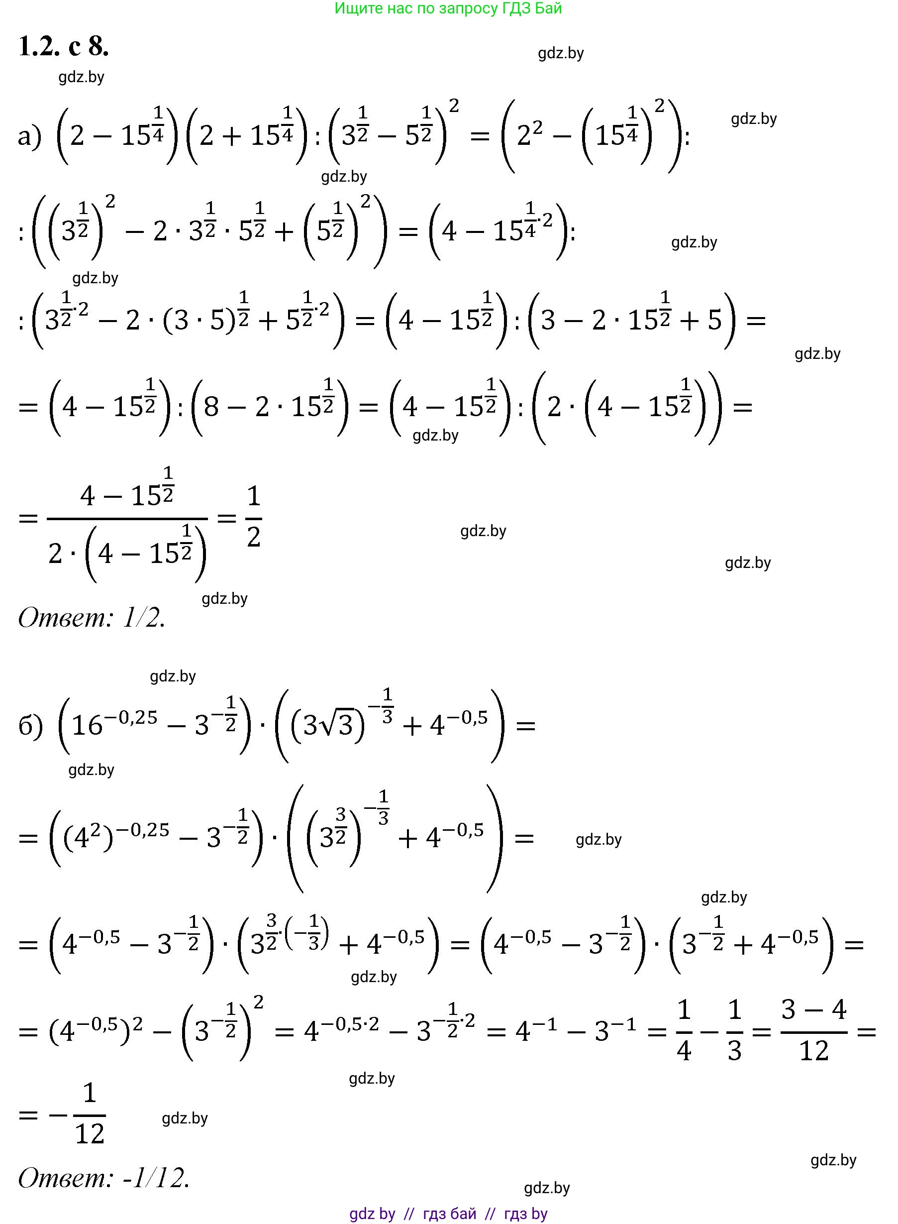
а) $(2 - 15^{\frac{1}{4}})(2 + 15^{\frac{1}{4}}) : (3^{\frac{1}{2}} - 5^{\frac{1}{2}})^2$

Данное выражение можно решить, упрощая каждую его часть по отдельности.

1. Рассмотрим произведение первых двух скобок: $(2 - 15^{\frac{1}{4}})(2 + 15^{\frac{1}{4}})$. Это формула разности квадратов $(a-b)(a+b) = a^2 - b^2$, где $a=2$ и $b=15^{\frac{1}{4}}$.

$(2 - 15^{\frac{1}{4}})(2 + 15^{\frac{1}{4}}) = 2^2 - (15^{\frac{1}{4}})^2 = 4 - 15^{\frac{2}{4}} = 4 - 15^{\frac{1}{2}} = 4 - \sqrt{15}$.

2. Теперь упростим выражение во второй части (делитель): $(3^{\frac{1}{2}} - 5^{\frac{1}{2}})^2$. Это формула квадрата разности $(a-b)^2 = a^2 - 2ab + b^2$, где $a=3^{\frac{1}{2}}$ и $b=5^{\frac{1}{2}}$.

$(3^{\frac{1}{2}} - 5^{\frac{1}{2}})^2 = (\sqrt{3} - \sqrt{5})^2 = (\sqrt{3})^2 - 2 \cdot \sqrt{3} \cdot \sqrt{5} + (\sqrt{5})^2 = 3 - 2\sqrt{15} + 5 = 8 - 2\sqrt{15}$.

3. Выполним деление полученных результатов:

$(4 - \sqrt{15}) : (8 - 2\sqrt{15}) = \frac{4 - \sqrt{15}}{8 - 2\sqrt{15}}$

Вынесем в знаменателе общий множитель 2 за скобки:

$\frac{4 - \sqrt{15}}{2(4 - \sqrt{15})}$

Сократим дробь на общий множитель $(4 - \sqrt{15})$:

$\frac{1}{2}$

Ответ: $\frac{1}{2}$.


б) $(16^{-0,25} - 3^{-\frac{1}{2}}) \cdot ((3\sqrt{3})^{-\frac{1}{3}} + 4^{-0,5})$

Упростим выражение в каждой из скобок.

1. Упростим первую скобку $(16^{-0,25} - 3^{-\frac{1}{2}})$:

$16^{-0,25} = 16^{-\frac{1}{4}} = (2^4)^{-\frac{1}{4}} = 2^{4 \cdot (-\frac{1}{4})} = 2^{-1} = \frac{1}{2}$.

$3^{-\frac{1}{2}} = \frac{1}{3^{\frac{1}{2}}} = \frac{1}{\sqrt{3}}$.

Таким образом, первая скобка равна $(\frac{1}{2} - \frac{1}{\sqrt{3}})$.

2. Упростим вторую скобку $((3\sqrt{3})^{-\frac{1}{3}} + 4^{-0,5})$:

Представим $3\sqrt{3}$ в виде степени: $3\sqrt{3} = 3^1 \cdot 3^{\frac{1}{2}} = 3^{1+\frac{1}{2}} = 3^{\frac{3}{2}}$.

Тогда $(3\sqrt{3})^{-\frac{1}{3}} = (3^{\frac{3}{2}})^{-\frac{1}{3}} = 3^{\frac{3}{2} \cdot (-\frac{1}{3})} = 3^{-\frac{1}{2}} = \frac{1}{\sqrt{3}}$.

$4^{-0,5} = 4^{-\frac{1}{2}} = \frac{1}{4^{\frac{1}{2}}} = \frac{1}{\sqrt{4}} = \frac{1}{2}$.

Таким образом, вторая скобка равна $(\frac{1}{\sqrt{3}} + \frac{1}{2})$.

3. Теперь перемножим полученные выражения. Заметим, что второй множитель можно записать как $(\frac{1}{2} + \frac{1}{\sqrt{3}})$. Получаем произведение вида $(a-b)(a+b)$, что равно разности квадратов $a^2 - b^2$:

$(\frac{1}{2} - \frac{1}{\sqrt{3}}) \cdot (\frac{1}{2} + \frac{1}{\sqrt{3}}) = (\frac{1}{2})^2 - (\frac{1}{\sqrt{3}})^2 = \frac{1}{4} - \frac{1}{3}$.

Приведем дроби к общему знаменателю 12:

$\frac{1}{4} - \frac{1}{3} = \frac{3 \cdot 1}{12} - \frac{4 \cdot 1}{12} = \frac{3-4}{12} = -\frac{1}{12}$.

Ответ: $-\frac{1}{12}$.

Помогло решение? Оставьте отзыв в комментариях ниже.

Присоединяйтесь к Телеграм-группе @gdz_by_belarus

Присоединиться

Мы подготовили для вас ответ c подробным объяснением домашего задания по алгебре за 11 класс, для упражнения номер 2 расположенного на странице 8 к сборнику задач 2020 года издания для учащихся школ и гимназий.

Теперь на нашем сайте ГДЗ.ТОП вы всегда легко и бесплатно найдёте условие с правильным ответом на вопрос «Как решить ДЗ» и «Как сделать» задание по алгебре к упражнению №2 (с. 8), авторов: Арефьева (Ирина Глебовна), Пирютко (Ольга Николаевна), базовый и повышенный уровень обучения учебного пособия издательства Народная асвета.